TOP
|
特許
|
意匠
|
商標
特許ウォッチ
Twitter
他の特許を見る
10個以上の画像は省略されています。
公開番号
2025131543
公報種別
公開特許公報(A)
公開日
2025-09-09
出願番号
2025027761
出願日
2025-02-25
発明の名称
抗菌性アクリル系繊維およびその製造方法
出願人
東レ株式会社
代理人
主分類
D06M
13/463 20060101AFI20250902BHJP(繊維または類似のものの処理;洗濯;他に分類されない可とう性材料)
要約
【課題】高い抗菌性能と保持性能に優れた抗菌性アクリル系繊維を提供する。
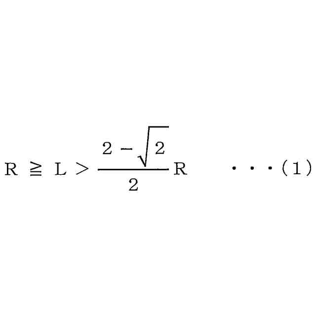
【解決手段】繊維断面の外周より長さLの領域に抗菌剤成分が分布しており、繊維横断面半径Rと繊維横断面外周からの長さLが式(1)の関係を満たす抗菌性アクリル系繊維。
<com:Image com:imageContentCategory="Drawing"> <com:ImageFormatCategory>TIFF</com:ImageFormatCategory> <com:FileName>2025131543000012.tif</com:FileName> <com:HeightMeasure com:measureUnitCode="Mm">19</com:HeightMeasure> <com:WidthMeasure com:measureUnitCode="Mm">152</com:WidthMeasure> </com:Image>
【選択図】図1
特許請求の範囲
【請求項1】
繊維断面の外周より長さLの領域に抗菌剤が分布しており、繊維横断面半径Rと繊維横断面外周からの長さLが次式(1)の関係を満たすことを特徴とする抗菌性アクリル系繊維。
TIFF
2025131543000011.tif
19
152
続きを表示(約 270 文字)
【請求項2】
抗菌剤が第四級アンモニウム塩であることを特徴とする請求項1に記載の抗菌性アクリル系繊維。
【請求項3】
アクリル系重合体を湿式紡糸法により紡糸し、その後に抗菌剤を付与する抗菌性アクリル系繊維の製造方法であって、水への拡散係数が4×10
-5
cm
2
/sec以上の有機溶媒を用いて紡糸することを特徴とする請求項1または2に記載の抗菌性アクリル系繊維の製造方法。
【請求項4】
請求項1または2に記載の抗菌性アクリル系繊維を少なくとも20wt%以上含んだ紡績糸。
発明の詳細な説明
【技術分野】
【0001】
本発明は高い抗菌性が持続する抗菌性アクリル系繊維とその製造方法に関するものである。
続きを表示(約 1,100 文字)
【背景技術】
【0002】
アクリル系繊維は、他の合成繊維に比べて最も羊毛に類似した柔軟な風合いを有し、衣料用素材あるいはインテリア製品用素材等の広範な分野に利用されている。中でもインナーや靴下用途などの衣料用製品に関しては、人間の汗により雑菌の増殖を抑制し、不快な異臭の発生を防止する目的で、抗菌性を付与した抗菌性繊維製品が広く流通している。これらの抗菌製品に求められる特性の1つとしては、抗菌成分が繊維から溶出あるいは脱落したりせずに抗菌性が持続されることがある。
【0003】
そのような要求に対し、これまでに様々な技術が提案されている。例えば、特許文献1で提案されている方法では、アクリル系繊維に対する抗菌剤の結合を強化し、抗菌性能の低下を抑え高い耐久性を発揮するとあるが、この提案の方法においても、繊維の染色、晒し、柔軟処理等の後加工や洗濯等の繊維製品が使用環境で受ける処理により抗菌性能の低下が生じることが課題としてある。また、特許文献2で提案されているキトサン粒子を担持させる方法においても同様に、紡績加工や後加工中に溶解または機械的脱落を伴い、満足する抗菌性の持続性が損なわれることが問題点である。したがって、抗菌性能自体の高さと同時に、その性能の保持性を兼ね揃えたアクリル系繊維が求められていた。
【先行技術文献】
【特許文献】
【0004】
特開2016-65327号公報
特開平10-140418号公報
【発明の概要】
【発明が解決しようとする課題】
【0005】
本発明は、かかる従来技術の背景に鑑み、持続性のある高い抗菌性を有する抗菌性アクリル系繊維およびその工業的に安定した製造方法を提供せんとするものである。
【課題を解決するための手段】
【0006】
本発明は、かかる課題を解決するために、次の構成を有するものである。
【0007】
すなわち、本発明の抗菌性アクリル系繊維およびその製造方法は、以下のとおりである。
【0008】
(1)繊維横断面の外周より長さLの領域に抗菌剤成分が分布しており、繊維横断面半径Rと繊維横断面外周からの長さLが次式(1)の関係を満たすことを特徴とする抗菌性アクリル系繊維。
【0009】
TIFF
2025131543000002.tif
18
144
【0010】
(2)請求項1の抗菌剤が第四級アンモニウム塩であることを特徴とする抗菌性アクリル系繊維。
(【0011】以降は省略されています)
この特許をJ-PlatPat(特許庁公式サイト)で参照する
関連特許
東レ株式会社
編地
3か月前
東レ株式会社
浄水器
15日前
東レ株式会社
複合半透膜
1か月前
東レ株式会社
積層多孔質膜
2か月前
東レ株式会社
積層フィルム
1か月前
東レ株式会社
風車ブレード
1か月前
東レ株式会社
積層フィルム
2か月前
東レ株式会社
黒色樹脂組成物
1日前
東レ株式会社
加飾用フィルム
1日前
東レ株式会社
多層積層フィルム
17日前
東レ株式会社
多孔質炭素シート
24日前
東レ株式会社
フィルムの製造方法
2か月前
東レ株式会社
合成繊維の巻取装置
2か月前
東レ株式会社
フィルムの製造方法
3か月前
東レ株式会社
サンドイッチ構造体
25日前
東レ株式会社
織物および繊維製品
2か月前
東レ株式会社
マルチフィラメント
2か月前
東レ株式会社
中空糸膜モジュール
1日前
東レ株式会社
熱硬化性樹脂組成物
1か月前
東レ株式会社
遮熱性アクリル繊維
2日前
東レ株式会社
溶融紡糸口金パック
2日前
東レ株式会社
繊維断面の検査方法
2日前
東レ株式会社
ガス拡散層の製造方法
24日前
東レ株式会社
ポリエステルフィルム
3か月前
東レ株式会社
圧電性材料の製造方法
3か月前
東レ株式会社
引抜成形品の製造方法
1か月前
東レ株式会社
フィルムの製造方法。
2か月前
東レ株式会社
ポリエステルフィルム
9日前
東レ株式会社
複合成形体の製造方法
15日前
東レ株式会社
プラスチック光ファイバ
25日前
東レ株式会社
織物およびシート表皮材
24日前
東レ株式会社
ポリオレフィン微多孔膜
2か月前
東レ株式会社
霧化状活性液体供給装置
1か月前
東レ株式会社
ポリプロピレンフィルム
1日前
東レ株式会社
ゴム補強用合成繊維コード
9日前
東レ株式会社
樹脂含浸繊維束の製造方法
2か月前
続きを見る
他の特許を見る