TOP
|
特許
|
意匠
|
商標
特許ウォッチ
Twitter
他の特許を見る
10個以上の画像は省略されています。
公開番号
2025121385
公報種別
公開特許公報(A)
公開日
2025-08-19
出願番号
2025002786
出願日
2025-01-08
発明の名称
化合物、硬化性樹脂組成物およびその硬化物ならびに化合物の製造方法
出願人
日本化薬株式会社
代理人
主分類
C08G
61/00 20060101AFI20250812BHJP(有機高分子化合物;その製造または化学的加工;それに基づく組成物)
要約
【課題】優れた低誘電特性を有する化合物、硬化性樹脂組成物及びその硬化物の提供。
【解決手段】下式(1)で表されるアリルエーテル変性フェニルアラルキル樹脂である。
<com:Image com:imageContentCategory="Drawing"> <com:ImageFormatCategory>TIFF</com:ImageFormatCategory> <com:FileName>2025121385000030.tif</com:FileName> <com:HeightMeasure com:measureUnitCode="Mm">53</com:HeightMeasure> <com:WidthMeasure com:measureUnitCode="Mm">170</com:WidthMeasure> </com:Image>
式(1)中、R
1
及びR
3
は炭素数1~5の炭化水素基を表す。R
2
は式(a)で表される炭化水素基を表す。pは0~4の整数を表す。qは繰り返し数の平均値であり、1<q≦20である。lは0~4の整数を表す。kは0~3の整数を表し、kの平均値k
ave
は0<k
ave
≦3である。nは繰り返し数の平均値であり0.05~20の数を表す。
<com:Image com:imageContentCategory="Drawing"> <com:ImageFormatCategory>TIFF</com:ImageFormatCategory> <com:FileName>2025121385000031.tif</com:FileName> <com:HeightMeasure com:measureUnitCode="Mm">11</com:HeightMeasure> <com:WidthMeasure com:measureUnitCode="Mm">170</com:WidthMeasure> </com:Image>
【選択図】なし
特許請求の範囲
【請求項1】
下記式(1)で表される化合物。
TIFF
2025121385000020.tif
53
170
上記式(1)中、複数存在するR
1
およびR
3
はそれぞれ独立して、炭素数1~5の炭化水素基を表す。複数存在するR
2
はそれぞれ独立して、下記式(a)で表される炭化水素基を表す。複数存在するpはそれぞれ独立して0~4の整数を表す。qは繰り返し数の平均値であり、1<q≦20である。複数存在するlはそれぞれ独立して0~4の整数を表す。複数存在するkはそれぞれ独立して0~3の整数を表し、kの平均値k
ave
は0<k
ave
≦3である。nは繰り返し数の平均値であり0.05~20の数を表す。
TIFF
2025121385000021.tif
11
170
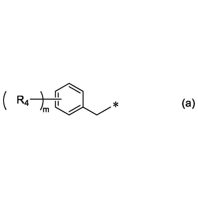
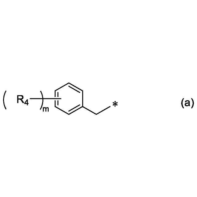
上記式(a)中、*は式(1)のフルオレン構造への結合位置を表す。複数存在するR
4
はそれぞれ独立して、炭素数1~5の炭化水素基を表す。mはそれぞれ独立して0~5の整数を表す。
続きを表示(約 2,200 文字)
【請求項2】
下記式(A)で表される化合物と下記式(B)で表される化合物とを反応して得られる化合物。
TIFF
2025121385000022.tif
34
170
上記式(A)中、複数存在するR
2
はそれぞれ独立して、下記式(a)で表される炭化水素基を表す。複数存在するR
3
はそれぞれ独立して、炭素数1~5の炭化水素基を表す。複数存在するpはそれぞれ独立して0~4の整数を表す。qは繰り返し数の平均値であり、1<q≦20である。複数存在するkはそれぞれ独立して0~3の整数を表し、kの平均値k
ave
は0<k
ave
≦3である。nは繰り返し数の平均値であり0.05~20の数を表す。
TIFF
2025121385000023.tif
11
170
上記式(a)中、*は式(A)のフルオレン構造への結合位置を表す。複数存在するR
4
はそれぞれ独立して、炭素数1~5の炭化水素基を表す。mはそれぞれ独立して0~5の整数を表す。
TIFF
2025121385000024.tif
19
170
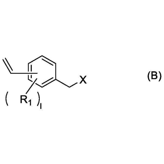
上記式(B)中、複数存在するR
1
はそれぞれ独立して、炭素数1~5の炭化水素基を表す。lは0~4の整数を表す。Xはハロゲン原子を表す。
【請求項3】
請求項1又は請求項2に記載の化合物を含有する硬化性樹脂組成物。
【請求項4】
さらに、硬化促進剤、重合開始剤、エポキシ樹脂、活性エステル化合物、フェノール樹脂、ポリフェニレンエーテル化合物、アミン樹脂、エチレン性不飽和結合を有する化合物、イソシアネート樹脂、ポリアミド樹脂、マレイミド化合物、シアネートエステル樹脂、ポリイミド樹脂、ポリブタジエンおよびこの変性物、ポリスチレンおよびこの変性物、ポリエチレンおよびこの変性物、ベンゾオキサジン化合物から選ばれる少なくとも1種以上を含有する、請求項3に記載の硬化性樹脂組成物。
【請求項5】
請求項1又は請求項2に記載の化合物を硬化して得られる硬化物。
【請求項6】
請求項3に記載の硬化性樹脂組成物を硬化して得られる硬化物。
【請求項7】
下記式(A)で表される化合物と、下記式(B)で表される化合物とを塩基性触媒の存在下、非プロトン性極性溶媒中で反応させて得られる下記式(1)で表される化合物の製造方法。
TIFF
2025121385000025.tif
34
170
上記式(A)中、複数存在するR
2
はそれぞれ独立して、下記式(a)で表される炭化水素基を表す。複数存在するR
3
はそれぞれ独立して、炭素数1~5の炭化水素基を表す。複数存在するpはそれぞれ独立して0~4の整数を表す。qは繰り返し数の平均値であり、1<q≦20である。複数存在するkはそれぞれ独立して0~3の整数を表し、kの平均値k
ave
は0<k
ave
≦3である。nは繰り返し数の平均値であり0.05~20の数を表す。
TIFF
2025121385000026.tif
11
170
上記式(a)中、*は式(A)のフルオレン構造への結合位置を表す。複数存在するR
4
はそれぞれ独立して、炭素数1~5の炭化水素基を表す。複数存在するmはそれぞれ独立して0~5の整数を表す。
TIFF
2025121385000027.tif
19
170
上記式(B)中、複数存在するR
1
はそれぞれ独立して、炭素数1~5の炭化水素基を表す。lは0~4の整数を表す。Xはハロゲン原子を表す。
TIFF
2025121385000028.tif
53
170
上記式(1)中、複数存在するR
1
およびR
3
はそれぞれ独立して、炭素数1~5の炭化水素基を表す。複数存在するR
2
はそれぞれ独立して、下記式(a)で表される炭化水素基を表す。複数存在するpはそれぞれ独立して0~4の整数を表す。qは繰り返し数の平均値であり、1<q≦20である。複数存在するlはそれぞれ独立して0~4の整数を表す。複数存在するkはそれぞれ独立して0~3の整数を表し、kの平均値k
ave
は0<k
ave
≦3である。nは繰り返し数の平均値であり0.05~20の数を表す。
TIFF
2025121385000029.tif
11
170
上記式(a)中、*は式(1)のフルオレン構造への結合位置を表す。複数存在するR
4
はそれぞれ独立して、炭素数1~5の炭化水素基を表す。複数存在するR
2
を表す式(a)中のmはそれぞれ独立して0~5の整数を表す。
発明の詳細な説明
【技術分野】
【0001】
本発明は、特定構造を有する化合物、硬化性樹脂組成物およびその硬化物ならびに化合物の製造方法に関するものであり、半導体封止材、プリント配線基板、ビルドアップ積層板、光導波路デバイスなどの電気・電子部品、炭素繊維強化プラスチック、ガラス繊維強化プラスチックなどの軽量高強度材料、3Dプリンティング用途に好適に使用される。
続きを表示(約 1,700 文字)
【背景技術】
【0002】
近年、電気・電子部品を搭載する積層板はその利用分野の拡大により、要求特性が広範かつ高度化している。従来の半導体チップは金属製のリードフレームに搭載することが主流であったが、中央処理装置(以下、CPUと表す。)などの処理能力の高い半導体チップは高分子材料で作られる積層板に搭載されることが多くなってきている。
【0003】
現在開発が加速している第5世代通信システム「5G」では、さらなる大容量化と高速通信が進むことが予想されている。5Gでは使用する周波数の高周波化が進むことになるが、高周波を利用した高速通信の実現には伝送損失の低減が重要であり、基板材料の更なる低誘電特性が求められることとなる。プリント基板上で発生する伝送損失は導体損失と誘電体損失に由来する。非特許文献1で述べられている通り、誘電損失α
D
は誘電体の比誘電率ε
r
の平方根および誘電正接tanδに比例するため、伝送損失低減には比誘電率ε
r
以上に寄与度の高い誘電正接tanδを改善することが効果的であると言える。低誘電材料としてはPTFE(ポリテトラフルオロエチレン)やLCP(液晶ポリマー)に代表される熱可塑性材料が挙げられるが、熱硬化性樹脂と比較し成形性に乏しい。これを踏まえ、低誘電特性に優れた熱硬化性樹脂の開発が望まれている。
【0004】
このような背景を受けて、低誘電特性に優れる高分子材料が検討されている。例えば、特許文献1ではマレイミド基を有するイミド化合物と脂肪族不飽和結合を有するフェノールアラルキル樹脂を含む熱可塑性樹脂組成物が提案されている。しかしながら、一方で硬化反応時に反応に関与しないフェノール性水酸基が残存するため、電気特性が十分とは言えない。また特許文献2ではフェノール性水酸基とともにアリル基を付加したアリルエーテル変性ビフェニルアラルキルノボラック樹脂が開示されている。しかしながら、アリルエーテル変性ビフェニルアラルキルノボラック樹脂は190℃においてクライゼン転位が起こることが示されており、一般的な基板の成型温度である200℃においては、硬化反応に寄与しないフェノール性水酸基が生成することから電気特性を満足できるものではない。
【先行技術文献】
【非特許文献】
【0005】
「プリント基板上高速信号伝送における信号損失要因」、第29回エレクトロニクス実装学会春季講演大会、セッションID:16P1-17、2015年
【特許文献】
【0006】
日本国特開平04-359911号公報
国際公開2016/002704号
【発明の概要】
【発明が解決しようとする課題】
【0007】
本発明は、このような状況を鑑みてなされたものであり、優れた低誘電特性を有する化合物、硬化性樹脂組成物及びその硬化物を提供することを目的とする。
【課題を解決するための手段】
【0008】
すなわち本発明は、下記[1]~[6]に関する。なお、本発明において「(数値1)~(数値2)」は上下限値を含むことを示す。
[1]
下記式(1)で表される化合物。
【0009】
TIFF
2025121385000001.tif
53
170
【0010】
上記式(1)中、複数存在するR
1
およびR
3
はそれぞれ独立して、炭素数1~5の炭化水素基を表す。複数存在するR
2
はそれぞれ独立して、下記式(a)で表される炭化水素基を表す。複数存在するpはそれぞれ独立して0~4の整数を表す。qは繰り返し数の平均値であり、1<q≦20である。複数存在するlはそれぞれ独立して0~4の整数を表す。複数存在するkはそれぞれ独立して0~3の整数を表し、kの平均値k
ave
は0<k
ave
≦3である。nは繰り返し数の平均値であり0.05~20の数を表す。
(【0011】以降は省略されています)
この特許をJ-PlatPat(特許庁公式サイト)で参照する
関連特許
日本化薬株式会社
インク
12日前
日本化薬株式会社
ガス発生器
1日前
日本化薬株式会社
ガス発生器
27日前
日本化薬株式会社
ガス発生器
21日前
日本化薬株式会社
防護システム
9日前
日本化薬株式会社
インク組成物
12日前
日本化薬株式会社
メタノール改質触媒
20日前
日本化薬株式会社
ガス発生器およびその製造方法
7日前
日本化薬株式会社
ガス発生器及びエアバッグ装置
29日前
日本化薬株式会社
プリテンショナー用ガス発生装置
5日前
日本化薬株式会社
ガス発生器およびガス発生器の製造方法
1か月前
日本化薬株式会社
インクジェットインク印刷物の製造方法。
12日前
日本化薬株式会社
安全装置、および、安全装置を備えた飛行体
1か月前
日本化薬株式会社
インクジェット記録装置用水系顔料インクセット
20日前
日本化薬株式会社
アントラキノン化合物を含有する液晶組成物及び調光素子
13日前
日本化薬株式会社
アントラキノン化合物を含有する液晶組成物及び調光素子
28日前
日本化薬株式会社
アントラキノン化合物を含有する液晶組成物及び調光素子
28日前
日本化薬株式会社
アントラキノン化合物を含有する液晶組成物及び調光素子
28日前
日本化薬株式会社
アントラキノン化合物を含有する液晶組成物及び調光素子
28日前
日本化薬株式会社
アントラキノン化合物を含有する液晶組成物及び調光素子
13日前
日本化薬株式会社
アントラキノン化合物を含有する液晶組成物及び調光素子
今日
日本化薬株式会社
ガス発生器
9日前
日本化薬株式会社
硬化性高分子化合物、該化合物を含む樹脂組成物、及び硬化物
29日前
日本化薬株式会社
水系インク組成物、水系インクセット及びインクジェット記録方法
19日前
日本化薬株式会社
トリアジン構造を有する化合物、該化合物を含有する組成物、及び半導体素子。
28日前
日本化薬株式会社
エポキシ樹脂、硬化性樹脂組成物、およびこれらの硬化物、ならびにフェノール樹脂
29日前
株式会社カネカ
硬化性組成物
3か月前
ユニチカ株式会社
透明シート
9日前
ユニチカ株式会社
透明シート
1か月前
株式会社コバヤシ
成形体
6日前
東レ株式会社
熱硬化性樹脂組成物
1か月前
丸住製紙株式会社
変性パルプ
9日前
東レ株式会社
ポリエステルフィルム
3か月前
東レ株式会社
引抜成形品の製造方法
1か月前
東レ株式会社
ポリエステルフィルム
13日前
住友精化株式会社
吸水剤の製造方法
19日前
続きを見る
他の特許を見る