TOP
|
特許
|
意匠
|
商標
特許ウォッチ
Twitter
他の特許を見る
公開番号
2025113041
公報種別
公開特許公報(A)
公開日
2025-08-01
出願番号
2024007663
出願日
2024-01-22
発明の名称
光硬化性樹脂組成物、硬化被膜付き基材およびその製造方法
出願人
中国塗料株式会社
代理人
個人
,
個人
,
個人
,
個人
主分類
C08F
290/06 20060101AFI20250725BHJP(有機高分子化合物;その製造または化学的加工;それに基づく組成物)
要約
【課題】塗膜外観、透明性、基材付着性、硬度、可視光透過性および赤外線吸収性に優れる硬化被膜を形成可能な光硬化性樹脂組成物の提供。
【解決手段】本発明による光硬化性樹脂組成物は、ウレタン(メタ)アクリレート(A)、(メタ)アクリレートモノマー(B)、光重合開始剤(C)、および赤外線吸収剤(D)を含有する光硬化性樹脂組成物であって、前記ウレタン(メタ)アクリレート(A)が、前記ウレタン(メタ)アクリレート(A)が、カーボネート骨格を有するウレタン(メタ)アクリレート(a1)と、(a1)成分を除く官能基数が6以上のウレタン(メタ)アクリレート(a2)と、を少なくとも含み、前記(メタ)アクリレートモノマー(B)が、官能基数が2の(メタ)アクリレートモノマー(b1)と、官能基数が5以上の(メタ)アクリレートモノマー(b2)と、を少なくとも含む。
【選択図】なし
特許請求の範囲
【請求項1】
ウレタン(メタ)アクリレート(A)、(メタ)アクリレートモノマー(B)、光重合開始剤(C)、および赤外線吸収剤(D)を含有する光硬化性樹脂組成物であって、
前記ウレタン(メタ)アクリレート(A)が、カーボネート骨格を有するウレタン(メタ)アクリレート(a1)と、(a1)成分を除く官能基数が6以上のウレタン(メタ)アクリレート(a2)と、を少なくとも含み、
前記ウレタン(メタ)アクリレート(A)の含有量が、前記光硬化性樹脂組成物の固形分100質量%に対して15質量%以上45質量%以下であり、前記カーボネート骨格を有するウレタン(メタ)アクリレート(a1)の含有量が、前記ウレタン(メタ)アクリレート(A)の総量に対して25質量%以上80質量%以下であり、
前記(メタ)アクリレートモノマー(B)が、官能基数が2の(メタ)アクリレートモノマー(b1)と、官能基数が5以上の(メタ)アクリレートモノマー(b2)と、を少なくとも含み、
前記(メタ)アクリレートモノマー(B)の含有量が、前記光硬化性樹脂組成物の固形分100質量%に対して30質量%以上65質量%以下であり、前記官能基数が5以上の(メタ)アクリレートモノマー(b2)の含有量が、前記(メタ)アクリレートモノマー(B)の総量に対して35質量%以上85質量%以下である、光硬化性樹脂組成物。
続きを表示(約 1,000 文字)
【請求項2】
前記(a1)成分を除く官能基数が6以上のウレタン(メタ)アクリレート(a2)の含有量が、前記ウレタン(メタ)アクリレート(A)の総量に対して20質量%以上75質量%以下である、請求項1に記載の光硬化性樹脂組成物。
【請求項3】
前記官能基数が2の(メタ)アクリレートモノマー(b1)の含有量が、前記(メタ)アクリレートモノマー(B)の総量に対して15質量%以上65質量%以下である、請求項1に記載の光硬化性樹脂組成物。
【請求項4】
赤外線吸収剤(D)が、一般式:M
x
W
y
O
z
(式中、Mは、H、He、アルカリ金属、アルカリ土類金属、希土類元素、Mg、Zr、Cr、Mn、Fe、Ru、Co、Rh、Ir、Ni、Pd、Pt、Cu、Ag、Au、Zn、Cd、Al、Ga、In、Tl、Si、Ge、Sn、Pb、Sb、B、F、P、S、Se、Br、Te、Ti、Nb、V、Mo、Ta、Re、Be、Hf、Os、Bi、I、Ybのうちから選択される1種類以上の元素、Wはタングステン、Oは酸素、0.001≦x/y≦1、2.0<z/y≦3.0)で表わされる複合タングステン酸化物である、請求項1に記載の光硬化性樹脂組成物。
【請求項5】
前記赤外線吸収剤(D)の含有量が、前記光硬化性樹脂組成物の固形分100質量%に対して1質量%以上30質量%以下である、請求項1に記載の光硬化性樹脂組成物。
【請求項6】
紫外線吸収剤(E)、光安定剤(F)、およびレベリング剤(G)からなる群から選択される少なくとも1種をさらに含む、請求項1に記載の光硬化性樹脂組成物。
【請求項7】
塗料として用いられる、請求項1に記載の光硬化性樹脂組成物。
【請求項8】
請求項1~7のいずれか一項に記載の光硬化性樹脂組成物から形成される硬化被膜。
【請求項9】
基材表面の少なくとも一部に、請求項1~7のいずれか一項に記載の光硬化性樹脂組成物から形成された硬化被膜を有する硬化被膜付き基材。
【請求項10】
請求項1~7のいずれか一項に記載の光硬化性樹脂組成物を基材の少なくとも一方の面に塗布する塗布工程と、
前記塗布工程の後、紫外線照射により前記光硬化性樹脂組成物を硬化させて硬化被膜を形成する硬化工程と、
を含む、硬化被膜付き基材の製造方法。
発明の詳細な説明
【技術分野】
【0001】
本発明は、光硬化性樹脂組成物に関する。また、本発明は、光硬化性樹脂組成物から形成される硬化被膜、該硬化被膜付き基材、および該硬化被膜付き基材の製造方法にも関する。
続きを表示(約 3,600 文字)
【背景技術】
【0002】
一般に、ポリカーボネート樹脂は、透明性、成型性、および耐衝撃性に優れているため、エンジニアリングプラスチックとして幅広く使用されている。例えば、車両用のヘッドランプレンズ、およびサイドカバーランプレンズ等に多く用いられている。しかし、ポリカーボネート樹脂は柔らかく、耐傷性が低いため、表面には保護膜としての硬化被膜が設けられる。硬化被膜は、コーティング剤を表面上に塗布し、硬化させることで形成される。
【0003】
従来、住宅や車両のウィンドウ表面、カーポートやテラス屋根材等には、居住性向上及び省エネルギーの観点から熱線遮蔽フィルムの貼り付けが行われている。また近年、自動車のフロントガラスに運転者向けの走行支援情報を画像表示するヘッドアップディスプレイの開発が行われている。ヘッドアップディスプレイでは、表示ユニットからフロントガラスに画像を反射投影させる形態が一般的である。この形態では、表示ユニットにフロントガラスからの太陽光が集光されるため、表示ユニットを構成するLCD素子などの画像表示デバイスが高温になりやすく、熱劣化しやすいという問題があり、そのため表示ユニットへの遮熱が求められている。また、画像表示デバイスから投影される画像データは、カバーフィルムを通じてフロントガラスに表示されるため、カバーフィルムには、赤外線吸収性能を有する組成物を塗布した赤外線カットフィルムを用いることが、遮熱対策として有用である。
【0004】
このような赤外線カットフィルムは、例えば、プラスチックフィルム基材と、プラスチックフィルム基材の片面または両面に設けられた近赤外線吸収層によって構成される。近赤外線吸収層は、例えば、近赤外線吸収性を有する光硬化性樹脂組成物(コーティング剤)を塗装し、硬化させることで形成される。
【0005】
そこで、可視光線透過率と赤外線吸収性能のバランスが取れ、またポリカーボネートフィルムとの耐熱密着性に優れる赤外線カットハードコート樹脂として、6官能以上の(メタ)アクリレートモノマーを含む多官能(メタ)アクリレートモノマー(A)と、赤外線吸収成分(B)と、少なくともオキシムエステル型を含む2種類の分子内開裂型光重合開始剤(C)と、を含み、前記(a1)の(A)に対する配合比率が35~80重量%であることを特徴とする赤外線カットハードコート樹脂組成物およびそれから形成された赤外線カットハードコートフィルムが提案されている(特許文献1参照)。また、遮熱フィルムの赤外線吸収層を形成するために、赤外吸収能を有する酸化物(A)と、フッ素を含有しないアクリル化合物(B)と、フッ素を含有するアクリル化合物(C)とを有する赤外線吸収性組成物が提案されている(特許文献2参照)。
【先行技術文献】
【特許文献】
【0006】
特開2021-1242号公報
国際公開第2021/045185号
【発明の概要】
【発明が解決しようとする課題】
【0007】
本発明者らは、塗膜外観、透明性、可視光透過性および赤外線吸収性に優れた樹脂フィルムの開発を行ってきた。樹脂フィルムを貼付する被着体(基材)としてポリカーボネート樹脂を使用する場合、ポリカーボネート樹脂は柔らかく、耐傷性が低いため、基材に対する付着性を維持しつつ、硬度を向上させる必要がある。しかし、一般的に、基材に対する付着性と硬度はトレードオフの関係にあり、両者を向上させることは困難であった。また、近赤外線吸収性の付与には当該ハードコート層に特定の近赤外線吸収剤を含有させることが有効であるが、可視光透過性、基材付着性等の物性が低下するという課題がある。
【0008】
本発明は上記の背景技術および課題に鑑みてなされたものであり、その目的は、塗膜外観、透明性、基材付着性、硬度、可視光透過性および赤外線吸収性に優れる硬化被膜を形成可能な光硬化性樹脂組成物を提供することにある。
【課題を解決するための手段】
【0009】
本発明者らは、上記課題を解決するため、鋭意検討した結果、特定のウレタン(メタ)アクリレート(A)、特定の(メタ)アクリレートモノマー(B)、光重合開始剤(C)、および赤外線吸収剤(D)を含有する光硬化性樹脂組成物を用いることにより、上記課題を解決できることを知見した。本発明は、かかる知見に基づいて完成されたものである。
【0010】
すなわち、本発明によれば、以下の発明が提供される。
[1] ウレタン(メタ)アクリレート(A)、(メタ)アクリレートモノマー(B)、光重合開始剤(C)、および赤外線吸収剤(D)を含有する光硬化性樹脂組成物であって、
前記ウレタン(メタ)アクリレート(A)が、カーボネート骨格を有するウレタン(メタ)アクリレート(a1)と、(a1)成分を除く官能基数が6以上のウレタン(メタ)アクリレート(a2)と、を少なくとも含み、
前記ウレタン(メタ)アクリレート(A)の含有量が、前記光硬化性樹脂組成物の固形分100質量%に対して15質量%以上45質量%以下であり、前記カーボネート骨格を有するウレタン(メタ)アクリレート(a1)の含有量が、前記ウレタン(メタ)アクリレート(A)の総量に対して25質量%以上80質量%以下であり、
前記(メタ)アクリレートモノマー(B)が、官能基数が2の(メタ)アクリレートモノマー(b1)と、官能基数が5以上の(メタ)アクリレートモノマー(b2)と、を少なくとも含み、
前記(メタ)アクリレートモノマー(B)の含有量が、前記光硬化性樹脂組成物の固形分100質量%に対して30質量%以上65質量%以下であり、前記官能基数が5以上の(メタ)アクリレートモノマー(b2)の含有量が、前記(メタ)アクリレートモノマー(B)の総量に対して35質量%以上85質量%以下である、光硬化性樹脂組成物。
[2] 前記(a1)成分を除く官能基数が6以上のウレタン(メタ)アクリレート(a2)の含有量が、前記ウレタン(メタ)アクリレート(A)の総量に対して20質量%以上75質量%以下である、[1]に記載の光硬化性樹脂組成物。
[3] 前記官能基数が2の(メタ)アクリレートモノマー(b1)の含有量が、前記(メタ)アクリレートモノマー(B)の総量に対して15質量%以上65質量%以下である、[1]または[2]に記載の光硬化性樹脂組成物。
[4] 赤外線吸収剤(D)が、一般式:M
x
W
y
O
z
(式中、Mは、H、He、アルカリ金属、アルカリ土類金属、希土類元素、Mg、Zr、Cr、Mn、Fe、Ru、Co、Rh、Ir、Ni、Pd、Pt、Cu、Ag、Au、Zn、Cd、Al、Ga、In、Tl、Si、Ge、Sn、Pb、Sb、B、F、P、S、Se、Br、Te、Ti、Nb、V、Mo、Ta、Re、Be、Hf、Os、Bi、I、Ybのうちから選択される1種類以上の元素、Wはタングステン、Oは酸素、0.001≦x/y≦1、2.0<z/y≦3.0)で表わされる複合タングステン酸化物である、[1]~[3]のいずれかに記載の光硬化性樹脂組成物。
[5] 前記赤外線吸収剤(D)の含有量が、前記光硬化性樹脂組成物の固形分100質量%に対して1質量%以上30質量%以下である、[1]~[4]のいずれかに記載の光硬化性樹脂組成物。
[6] 紫外線吸収剤(E)、光安定剤(F)、およびレベリング剤(G)からなる群から選択される少なくとも1種をさらに含む、[1]~[5]のいずれかに記載の光硬化性樹脂組成物。
[7] 塗料として用いられる、[1]~[6]のいずれかに記載の光硬化性樹脂組成物。
[8] [1]~[7]のいずれかに記載の光硬化性樹脂組成物から形成される硬化被膜。
[9] 基材表面の少なくとも一部に、[1]~[7]のいずれかに記載の光硬化性樹脂組成物から形成された硬化被膜を有する硬化被膜付き基材。
[10] [1]~[7]のいずれかに記載の光硬化性樹脂組成物を基材の少なくとも一方の面に塗布する塗布工程と、
前記塗布工程の後、紫外線照射により前記光硬化性樹脂組成物を硬化させて硬化被膜を形成する硬化工程と、
を含む、硬化被膜付き基材の製造方法。
【発明の効果】
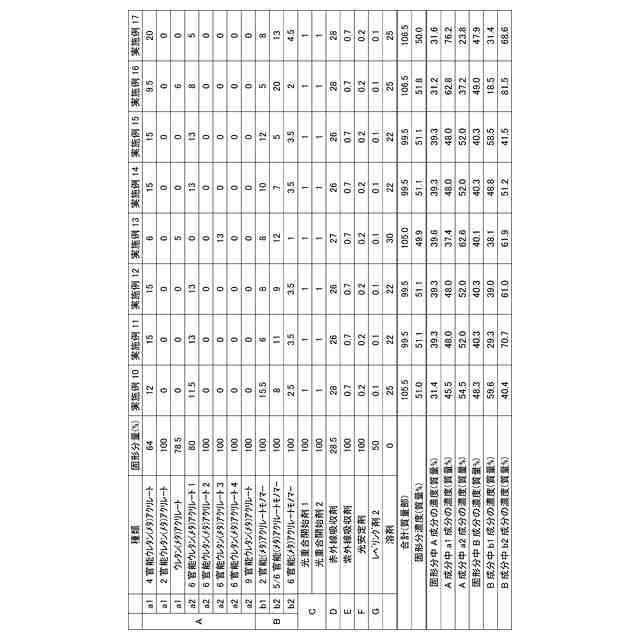
(【0011】以降は省略されています)
この特許をJ-PlatPat(特許庁公式サイト)で参照する
関連特許
中国塗料株式会社
塗料組成物
23日前
中国塗料株式会社
塗料組成物
23日前
中国塗料株式会社
スラブ式軌道用樹脂組成物
1か月前
中国塗料株式会社
水系塗料組成物、被膜および被膜付基材
1日前
中国塗料株式会社
光硬化性樹脂組成物、硬化被膜付き基材およびその製造方法
2か月前
中国塗料株式会社
光硬化性樹脂組成物、硬化被膜付き基材およびその製造方法
2か月前
中国塗料株式会社
防食塗料組成物の製造方法
2日前
株式会社YDKテクノロジーズ
付着防止装置、速度計及び水中装置
2か月前
東ソー株式会社
摺動部材
4か月前
東ソー株式会社
ゴム組成物
4か月前
東ソー株式会社
加飾フィルム
4か月前
株式会社カネカ
硬化性組成物
2か月前
ユニチカ株式会社
透明シート
4日前
東ソー株式会社
加飾フィルム
4か月前
ユニチカ株式会社
透明シート
1か月前
東ソー株式会社
加飾フィルム
4か月前
株式会社コバヤシ
成形体
1日前
ユニチカ株式会社
ビスマレイミド
4か月前
東レ株式会社
熱硬化性樹脂組成物
1か月前
東レ株式会社
ポリエステルフィルム
8日前
東レ株式会社
ポリエステルフィルム
3か月前
東レ株式会社
引抜成形品の製造方法
1か月前
丸住製紙株式会社
変性パルプ
4日前
住友精化株式会社
吸水剤の製造方法
14日前
東レ株式会社
ポリオレフィン微多孔膜
2か月前
東ソー株式会社
樹脂組成物および蓋材
22日前
花王株式会社
樹脂組成物
2か月前
愛知電機株式会社
加熱処理設備
3か月前
東ソー株式会社
樹脂組成物および蓋材
22日前
株式会社コバヤシ
光硬化性組成物
2か月前
アイカ工業株式会社
光硬化性樹脂組成物
4か月前
日本特殊陶業株式会社
樹脂成形体
14日前
UBE株式会社
衝撃吸収材
4日前
株式会社カネカ
硬化性組成物
1か月前
富士フイルム株式会社
組成物
3か月前
株式会社大阪ソーダ
熱可塑性材料用組成物
2か月前
続きを見る
他の特許を見る