TOP
|
特許
|
意匠
|
商標
特許ウォッチ
Twitter
他の特許を見る
10個以上の画像は省略されています。
公開番号
2025176999
公報種別
公開特許公報(A)
公開日
2025-12-05
出願番号
2024083455
出願日
2024-05-22
発明の名称
学習プログラム、学習方法、および情報処理装置
出願人
富士通株式会社
代理人
弁理士法人片山特許事務所
主分類
G06N
20/00 20190101AFI20251128BHJP(計算;計数)
要約
【課題】 複雑な確率分布を学習することができる学習プログラム、学習方法、および情報処理装置を提供する。
【解決手段】 コンピュータに、目的確率分布よりもピークが少ない確率分布を学習することで確率分布モデルを生成する第1処理と、学習済みの前記確率分布よりも前記目的確率分布に近い確率分布に対して、生成済みの前記確率分布モデルのパラメータを用いて学習することで新たな確率分布モデルを生成する第2処理と、を実行させる。
【選択図】 図4
特許請求の範囲
【請求項1】
コンピュータに、
目的確率分布よりもピークが少ない確率分布を学習することで確率分布モデルを生成する第1処理と、
学習済みの前記確率分布よりも前記目的確率分布に近い確率分布に対して、生成済みの前記確率分布モデルのパラメータを用いて学習することで新たな確率分布モデルを生成する第2処理と、を実行させることを特徴とする学習プログラム。
続きを表示(約 1,100 文字)
【請求項2】
前記目的確率分布を表すP(x)に対して、0<γ≦1、P(x;γ)≡Pγ(x)/Z(γ)、Z(γ)=∫dxP
γ
(x)となる分布を用意し、前記第1処理の際のγの値より、前記第2処理の際のγの値の方を大きくすることを特徴とする請求項1に記載の学習プログラム。
【請求項3】
前記コンピュータに、前記第2処理を2回以上繰り返し実行させることを特徴とする請求項1に記載の学習プログラム。
【請求項4】
前記目的確率分布を表すP(x)に対して、0<γ≦1、P(x;γ)≡P
γ
(x)/Z(γ)、Z(γ)=∫dxP
γ
(x)となる分布を用意し、前記第1処理の際のγの値より、前記第2処理の際のγの値の方を大きくし、前記第2処理を繰り返す際にγの値を大きくしていくことを特徴とする請求項3に記載の学習プログラム。
【請求項5】
前記目的確率分布を表すP(x)に対して、0<γ≦1、P(x;γ)≡Pγ(x)S
1-γ
(x)/Z(γ)、Z(γ)=∫dxP
γ
(x)S
1-γ
(x)となる分布を用意し、前記第1処理の際のγの値より、前記第2処理の際のγの値の方を大きくすることを特徴とする請求項1に記載の学習プログラム。
【請求項6】
前記コンピュータに、前記第2処理を2回以上繰り返し実行させ、
前記目的確率分布を表すP(x)に対して、0<γ≦1、P(x;γ)≡P
γ
(x)/Z(γ)、Z(γ)=∫dxP
γ
(x)S
1-γ
(x)となる分布を用意し、前記第1処理の際のγの値より、前記第2処理の際のγの値の方を大きくし、前記第2処理を繰り返す際にγの値を大きくしていくことを特徴とする請求項1に記載の学習プログラム。
【請求項7】
コンピュータが、
目的確率分布よりもピークが少ない確率分布を学習することで確率分布モデルを生成する第1処理と、
学習済みの前記確率分布よりも前記目的確率分布に近い確率分布に対して、生成済みの前記確率分布モデルのパラメータを用いて学習することで新たな確率分布モデルを生成する第2処理と、を実行することを特徴とする学習方法。
【請求項8】
目的確率分布よりもピークが少ない確率分布を学習することで確率分布モデルを生成する第1処理を実行し、学習済みの前記確率分布よりも前記目的確率分布に近い確率分布に対して、生成済みの前記確率分布モデルのパラメータを用いて学習することで新たな確率分布モデルを生成する第2処理、を実行する学習部を備えることを特徴とする情報処理装置。
発明の詳細な説明
【技術分野】
【0001】
本件は、学習プログラム、学習方法、および情報処理装置に関する。
続きを表示(約 1,300 文字)
【背景技術】
【0002】
モデルを学習する技術が開示されている(例えば、特許文献1~4参照)。
【先行技術文献】
【特許文献】
【0003】
特開2019-95600号公報
特開2023-129309号公報
米国特許公開第2022/8358373号
米国特許公開第2019/0347570号
【発明の概要】
【発明が解決しようとする課題】
【0004】
しかしながら、複雑な確率分布を機械学習によってモデリングしようとしても、高い精度でモデルを生成するのは困難である。
【0005】
1つの側面では、本発明は、複雑な確率分布を学習することができる学習プログラム、学習方法、および情報処理装置を提供することを目的とする。
【課題を解決するための手段】
【0006】
1つの態様では、学習プログラムは、コンピュータに、目的確率分布よりも単純な分布を有する確率分布を学習することで確率分布モデルを生成する第1処理と、学習済みの前記確率分布よりも前記目的確率分布に近い確率分布に対して、生成済みの前記確率分布モデルのパラメータを用いて学習することで新たな確率分布モデルを生成する第2処理と、を実行させる。
【発明の効果】
【0007】
複雑な確率分布を学習することができる。
【図面の簡単な説明】
【0008】
(a)は単純確率分布を例示する図であり、(b)は複雑確率分布を例示する図である。
(a)は情報処理装置の全体構成を表す機能ブロック図であり、(b)は情報処理装置のハードウェア構成図である。
情報処理装置の動作の一例を表すフローチャートである。
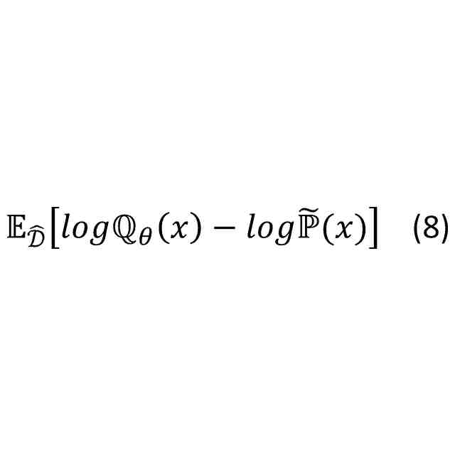
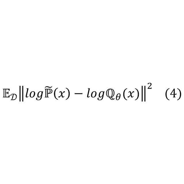
学習結果を示す図である。
【発明を実施するための形態】
【0009】
機械学習の分野では、未知の複雑な確率分布を機械学習によりモデリングする技術(生成モデル)が発展している。特に、パラメータθで特徴付けられる生成モデルQ
θ
(x)が主流として発展している。例えば、生成モデルQ
θ
(x)として、RBM:Restricted Boltzman Machine、VAE:Variational Autoencoder、GAN:Generative Adversarial Networkなどが挙げられる。
【0010】
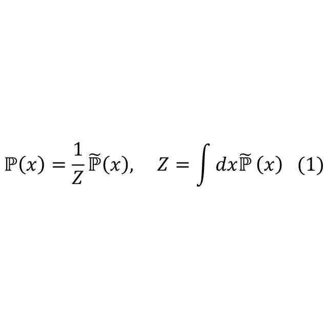
統計学の分野では、確率分布の規格化定数以外の関数形が与えられる状況下で、当該確率分布からサンプリングを行う技術が提案されてきている。例えば、タンパク質、ベイズ統計モデリングにおいて、確率分布からサンプリングを行う技術が提案されてきている。具体的には、下記式(1)のように、規格化定数以外の関数形が与えられているものとする。なお、下記式(1)において、Zは規格化定数であるため、Zの値の評価が困難となっている。
TIFF
2025176999000002.tif
23
168
(【0011】以降は省略されています)
この特許をJ-PlatPat(特許庁公式サイト)で参照する
関連特許
富士通株式会社
半導体装置
1か月前
富士通株式会社
行列演算回路
2か月前
富士通株式会社
周波数変換器
2か月前
富士通株式会社
画像処理モデル
1か月前
富士通株式会社
メッシュ微細化
1か月前
富士通株式会社
半導体デバイス
1か月前
富士通株式会社
演算器及び演算方法
1か月前
富士通株式会社
ダウンサンプリング
10日前
富士通株式会社
ポイントクラウド分類
1か月前
富士通株式会社
冷却装置及び電子機器
2か月前
富士通株式会社
光受信装置及び光受信方法
10日前
富士通株式会社
アレイアンテナモジュール
2か月前
富士通株式会社
電子機器筐体及び電子機器
1か月前
富士通株式会社
OLT及びPONシステム
1か月前
富士通株式会社
光送信器及び光トランシーバ
1か月前
富士通株式会社
プログラム及びデータ処理装置
24日前
富士通株式会社
通信制御装置及び移動中継装置
2か月前
富士通株式会社
基板及びこれを備えた電子装置
2か月前
富士通株式会社
演算処理装置及び情報処理装置
1か月前
富士通株式会社
情報処理装置及び情報処理方法
16日前
富士通株式会社
演算処理装置及び演算処理方法
2か月前
富士通株式会社
テキスト案内される画像エディタ
1か月前
富士通株式会社
情報処理装置および情報処理方法
10日前
富士通株式会社
波長変換装置および波長変換方法
1か月前
富士通株式会社
動的多次元メディアコンテンツ投影
2か月前
富士通株式会社
メモリ管理装置及びメモリ管理方法
1か月前
富士通株式会社
書き込みアシスト回路及びSRAM
8日前
富士通株式会社
ラックマウント装置及びラック装置
1か月前
富士通株式会社
不正検知プログラム、方法、及び装置
16日前
富士通株式会社
画像生成プログラム、方法、及び装置
1日前
富士通株式会社
異常予測方法および異常予測プログラム
2か月前
富士通株式会社
推定システム、情報処理装置及び推定方法
3日前
富士通株式会社
受光デバイス及び受光デバイスの製造方法
29日前
富士通株式会社
データ処理方法及び装置、並びに記憶媒体
3日前
富士通株式会社
通知プログラム、通知方法および通知装置
29日前
富士通株式会社
測定装置、測定方法、および測定プログラム
1日前
続きを見る
他の特許を見る