TOP
|
特許
|
意匠
|
商標
特許ウォッチ
Twitter
他の特許を見る
10個以上の画像は省略されています。
公開番号
2025168797
公報種別
公開特許公報(A)
公開日
2025-11-12
出願番号
2024073559
出願日
2024-04-30
発明の名称
プログラム及びデータ処理装置
出願人
富士通株式会社
代理人
弁理士法人扶桑国際特許事務所
主分類
G06N
99/00 20190101AFI20251105BHJP(計算;計数)
要約
【課題】組合せ最適化問題の局所解からの脱出を促進する。
【解決手段】処理部12aは、局所探索により組合せ最適化問題の解を、複数の状態変数による第1探索範囲で探索する。処理部12aは、第1探索範囲の探索において、複数の状態変数の値の組合せで表される現在状態が局所解に陥ったか否かを判定し、現在状態が局所解に陥ったと判定した場合、記憶部11に記憶された複数の解候補に基づいて、第1解候補を決定する。処理部12aは、複数の状態変数のうち、現在状態と第1解候補との間で相互に同じ値をもつ第1状態変数の値を固定した状態で、複数の状態変数のうち、現在状態と第1解候補との間で相互に異なる値をもつ第2状態変数による第2探索範囲で、局所探索を実行する。
【選択図】図1
特許請求の範囲
【請求項1】
局所探索により組合せ最適化問題の解を、複数の状態変数による第1探索範囲で探索し、
前記第1探索範囲の探索において、前記複数の状態変数の値の組合せで表される現在状態が局所解に陥ったか否かを判定し、
前記現在状態が前記局所解に陥ったと判定した場合、記憶部に記憶された複数の解候補に基づいて、第1解候補を決定し、
前記複数の状態変数のうち、前記現在状態と前記第1解候補との間で相互に同じ値をもつ第1状態変数の値を固定した状態で、前記複数の状態変数のうち、前記現在状態と前記第1解候補との間で相互に異なる値をもつ第2状態変数による第2探索範囲で、前記局所探索を実行する、
処理をコンピュータに実行させるプログラム。
続きを表示(約 1,400 文字)
【請求項2】
前記複数の解候補のそれぞれは、前記第1探索範囲の探索中に得られる前記組合せ最適化問題の評価関数の値のうち、最小値が更新されたときの、前記複数の状態変数の値の組合せで表される、請求項1に記載のプログラム。
【請求項3】
前記局所探索は、互いに異なる複数の計算条件で行われ、
前記複数の解候補は、前記複数の計算条件で行われる前記局所探索のそれぞれで得られた解候補を含む、
請求項2に記載のプログラム。
【請求項4】
前記第1解候補は、前記複数の解候補のうち、前記現在状態との間のハミング距離が閾値に最も近い解候補である、請求項1に記載のプログラム。
【請求項5】
前記第1解候補は、前記複数の解候補からランダムに選択される2つの解候補を用いて、パス再結合法により決定される、請求項1に記載のプログラム。
【請求項6】
前記第1探索範囲の探索中に得られる前記組合せ最適化問題の評価関数の値のうちの最小値が、所定期間更新されなかったときに、前記現在状態が前記局所解に陥ったと判定する、処理を前記コンピュータに実行させる請求項1に記載のプログラム。
【請求項7】
前記第2探索範囲の探索中に、前記現在状態が前記局所解から脱出したか否かを判定し、
前記現在状態が前記局所解から脱出したと判定したときに、前記第1状態変数の値の固定を解除し、前記第1探索範囲で、前記局所探索を実行する、
処理を前記コンピュータに実行させる請求項1に記載のプログラム。
【請求項8】
前記第2探索範囲の探索中に、所定期間内に前記現在状態が前記局所解から脱出しなかったと判定されたときに、前記複数の解候補に基づいて、前記第1解候補とは異なる第2解候補を決定し、
前記複数の状態変数のうち、前記現在状態と前記第2解候補との間で、相互に同じ値をもつ第3状態変数の値を固定し、
前記複数の状態変数のうち、前記現在状態と前記第2解候補との間で、相互に異なる値をもつ第4状態変数による第3探索範囲で、前記局所探索を実行する、
処理を前記コンピュータに実行させる請求項7に記載のプログラム。
【請求項9】
組合せ最適化問題の解を、第1評価関数を用いた局所探索により探索し、
前記第1評価関数を用いた探索において、前記第1評価関数に含まれる複数の状態変数の値の組合せで表される現在状態が局所解に陥ったか否かを判定し、
前記現在状態が前記局所解に陥ったと判定した場合、記憶部に記憶された複数の解候補に基づいて、第1解候補を決定し、
前記第1評価関数を、前記第1解候補と前記現在状態との間のハミング距離に比例する大きさをもつ第1制約項を前記第1評価関数に加えた第2評価関数に変更し、
前記第2評価関数を用いて、前記局所探索を実行する、
処理をコンピュータに実行させるプログラム。
【請求項10】
前記複数の解候補のそれぞれは、前記第1評価関数を用いた探索中に得られる前記第1評価関数の値のうち、最小値が更新されたときの、前記複数の状態変数の値の組合せで表される、請求項9に記載のプログラム。
(【請求項11】以降は省略されています)
発明の詳細な説明
【技術分野】
【0001】
本発明は、プログラム及びデータ処理装置に関する。
続きを表示(約 1,800 文字)
【背景技術】
【0002】
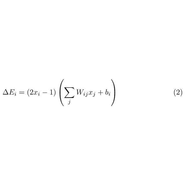
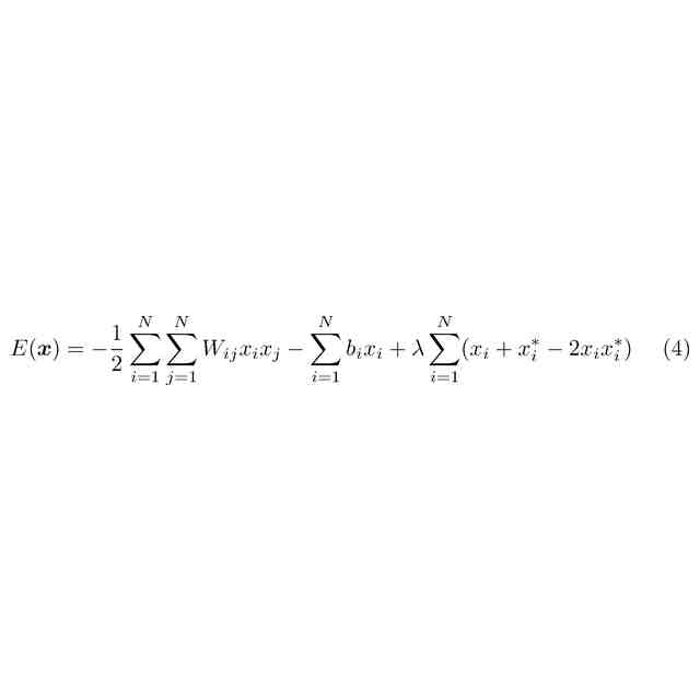
組合せ最適化問題の解を探索する際に、組合せ最適化問題を、磁性体のスピンの振る舞いを表すイジングモデルに変換する手法がある。イジングモデルは、組合せ最適化問題の解を評価するイジング型の評価関数で表される。イジング型の評価関数は、複数の状態変数と複数の重み値を含む。複数の状態変数の値の組合せにより、イジングモデルの状態が表される。イジング型の評価関数では、状態変数は、0か1(または-1か+1)の値を取る2値変数である。状態変数はビットと表記されてもよい。また、イジング型の評価関数はエネルギー関数、評価関数の値はイジングモデルのエネルギーということもできる。
【0003】
このようなイジング型の評価関数を用いて解探索を行う装置は、イジングマシンと呼ばれる。イジングマシンは、評価関数に含まれる状態変数の値の組合せのうち、たとえば、評価関数の値を最小化する組合せを探索する。この場合、評価関数の値を最小化する状態変数の値の組合せは、基底状態または最適解に相当する。
【0004】
実用的な時間で組合せ最適化問題の近似解を得る求解手法には、局所探索がある(たとえば、特許文献1~4参照)。局所探索を行う方法の例として、たとえば、MCMC(Markov Chain Monte Carlo)法の一種である疑似焼き鈍し法やレプリカ交換法(交換モンテカルロ法などとも呼ばれる)などがある。
【0005】
また、最適化問題には、評価関数に含まれる状態変数群のうち値が1となる状態変数の数を1つのみとする制約(1-hot制約)をもつものがある。従来、1-hot制約を満たす状態に絞って局所探索を行うことで、計算時間を短縮する最適化装置が提案されている(たとえば、特許文献5参照)。
【先行技術文献】
【特許文献】
【0006】
特開2003-223322号公報
特開2018-109950号公報
米国特許出願公開第2019/0251227号明細書
米国特許出願公開第2016/0203419号明細書
特開2020-064536号公報
【発明の概要】
【発明が解決しようとする課題】
【0007】
局所探索では、評価関数に含まれる状態変数の値の組合せで表される状態が、局所解に陥って脱出できなくなる場合がある。この場合、求解時間が長くなる可能性がある。
1つの側面では、組合せ最適化問題の局所解からの脱出を促進することを目的とする。
【課題を解決するための手段】
【0008】
1つの実施態様では、局所探索により組合せ最適化問題の解を、複数の状態変数による第1探索範囲で探索し、前記第1探索範囲の探索において、前記複数の状態変数の値の組合せで表される現在状態が局所解に陥ったか否かを判定し、前記現在状態が前記局所解に陥ったと判定した場合、記憶部に記憶された複数の解候補に基づいて、第1解候補を決定し、前記複数の状態変数のうち、前記現在状態と前記第1解候補との間で相互に同じ値をもつ第1状態変数の値を固定した状態で、前記複数の状態変数のうち、前記現在状態と前記第1解候補との間で相互に異なる値をもつ第2状態変数による第2探索範囲で、前記局所探索を実行する、処理をコンピュータに実行させるプログラムが提供される。
【0009】
また、1つの実施態様では、組合せ最適化問題の解を、第1評価関数を用いた局所探索により探索し、前記第1評価関数を用いた探索において、前記第1評価関数に含まれる複数の状態変数の値の組合せで表される現在状態が局所解に陥ったか否かを判定し、前記現在状態が前記局所解に陥ったと判定した場合、記憶部に記憶された複数の解候補に基づいて、第1解候補を決定し、前記第1評価関数を、前記第1解候補と前記現在状態との間のハミング距離に比例する大きさをもつ第1制約項を前記第1評価関数に加えた第2評価関数に変更し、前記第2評価関数を用いて、前記局所探索を実行する、処理をコンピュータに実行させるプログラムが提供される。
【0010】
また、1つの実施態様では、データ処理装置が提供される。
【発明の効果】
(【0011】以降は省略されています)
この特許をJ-PlatPat(特許庁公式サイト)で参照する
関連特許
富士通株式会社
半導体装置
1か月前
富士通株式会社
画像処理モデル
23日前
富士通株式会社
メッシュ微細化
1か月前
富士通株式会社
半導体デバイス
1か月前
富士通株式会社
演算器及び演算方法
1か月前
富士通株式会社
ポイントクラウド分類
1か月前
富士通株式会社
アレイアンテナモジュール
1か月前
富士通株式会社
OLT及びPONシステム
7日前
富士通株式会社
電子機器筐体及び電子機器
1か月前
富士通株式会社
光送信器及び光トランシーバ
1か月前
富士通株式会社
演算処理装置及び情報処理装置
17日前
富士通株式会社
基板及びこれを備えた電子装置
1か月前
富士通株式会社
プログラム及びデータ処理装置
1日前
富士通株式会社
波長変換装置および波長変換方法
20日前
富士通株式会社
テキスト案内される画像エディタ
1か月前
富士通株式会社
メモリ管理装置及びメモリ管理方法
29日前
富士通株式会社
ラックマウント装置及びラック装置
20日前
富士通株式会社
通知プログラム、通知方法および通知装置
6日前
富士通株式会社
受光デバイス及び受光デバイスの製造方法
6日前
富士通株式会社
コンパイルプログラムおよびコンパイル方法
1日前
富士通株式会社
プログラム、情報処理方法および情報処理装置
1か月前
富士通株式会社
生成プログラム、生成方法および情報処理装置
28日前
富士通株式会社
検出プログラム、検出方法および情報処理装置
20日前
富士通株式会社
プログラム、データ処理装置及びデータ処理方法
1か月前
富士通株式会社
キャッシュ装置およびキャッシュ装置の制御方法
1か月前
富士通株式会社
探索プログラム、探索方法、および情報処理装置
1か月前
富士通株式会社
ターゲット追跡のための方法、装置及び記憶媒体
17日前
富士通株式会社
半導体装置、半導体装置の製造方法及び電子装置
15日前
富士通株式会社
出張情報受付方法および出張情報受付プログラム
1か月前
富士通株式会社
データ処理装置、データ処理方法およびプログラム
14日前
富士通株式会社
並列コンピューティング・カテゴリー分けプロセス
1か月前
富士通株式会社
プログラム、データ処理方法およびデータ処理装置
28日前
富士通株式会社
情報出力プログラム、情報出力方法及び情報処理装置
1か月前
富士通株式会社
チェックプログラム、チェック方法及び情報処理装置
1か月前
富士通株式会社
情報出力プログラム、情報出力方法及び情報処理装置
21日前
富士通株式会社
凝縮グラフ分布(CGD)に基づいたグラフ連続学習
1か月前
続きを見る
他の特許を見る