TOP
|
特許
|
意匠
|
商標
特許ウォッチ
Twitter
他の特許を見る
10個以上の画像は省略されています。
公開番号
2025175116
公報種別
公開特許公報(A)
公開日
2025-11-28
出願番号
2025154629,2024077790
出願日
2025-09-18,2020-03-12
発明の名称
頭部装着装置、熱中症予防システム及び水分補給警告システム
出願人
公立大学法人公立諏訪東京理科大学
,
株式会社フジタ
代理人
弁理士法人酒井国際特許事務所
主分類
A61B
5/00 20060101AFI20251120BHJP(医学または獣医学;衛生学)
要約
【課題】熱中症になる可能性の推定に必要な、装着者の身体の状態をより高い精度で計測できる頭部装着装置、熱中症予防システム及び水分補給警告システムを提供すること。
【解決手段】頭部装着装置は、装着者の頭部を覆い、且つ通気性を有する帽子と、前記帽子の外部に配置され、頭部で生じる汗による水蒸気を含む空気が前記帽子の表面を通過して外部に排出されるように送風または又は吸引するファンと、前記帽子の外部において前記帽子の外部から帽子の表面を通過して前記帽子と頭部との間に入る吸入空気の絶対湿度を計測するための第1湿度センサと、前記帽子の外表面に位置し、前記帽子と頭部との間から帽子の表面を通過して前記帽子の外部へ出る排出空気の絶対湿度を計測するための第2湿度センサと、を備える。
【選択図】図4
特許請求の範囲
【請求項1】
装着者の頭部を覆い、且つ通気性を有し、装着者が汗をかくと内部には水蒸気が供給される帽子と、
前記帽子の外部に配置され、空気が前記帽子の表面を通過して前記帽子の内部に入るとともに、頭部で生じる汗による水蒸気を含む空気が前記帽子の表面を通過して外部に排出されるように送風又は吸引するファンと、
前記帽子の外部において前記帽子の外部から帽子の表面を通過して前記帽子と頭部との間に入る吸入空気の絶対湿度を計測するための第1湿度センサと、
前記帽子の外表面に位置し、前記帽子と頭部との間から帽子の表面を通過して前記帽子の外部へ出る排出空気の絶対湿度を計測するための第2湿度センサと、
を備える頭部装着装置。
続きを表示(約 1,000 文字)
【請求項2】
装着者の頭部を覆い、且つ通気性を有する帽子と、
該帽子の外表面に取り付けられ、空気を吸入する吸気口及び空気を送り出す送風口を有し、前記送風口が前記帽子の外表面側に開口する筐体と、
前記筐体の内部に配置され、空気が前記吸気口から前記筐体の内部に吸入され、前記送風口を介し前記帽子の表面を通過して前記帽子の内部に入るとともに、頭部で生じる汗による水蒸気を含む空気が前記帽子の表面を通過して外部に排出されるように送風又は吸引するファンと、
前記筐体の外側に設けられて前記吸気口に入る吸入空気の絶対湿度を計測するための第1湿度センサと、
前記筐体の外側に設けられて前記帽子から出る排出空気の絶対湿度を計測するための第2湿度センサと、
を備える頭部装着装置。
【請求項3】
前記筐体は、前記ファン、前記第1湿度センサ、及び前記第2湿度センサを支持し、
前記筐体、前記ファン、前記第1湿度センサ、及び前記第2湿度センサを有し、前記帽子に対して着脱可能なセンサユニットを備える、
請求項2に記載の頭部装着装置。
【請求項4】
前記装着者の頭部と前記帽子との間の隙間に設けられ、且つ貫通孔を有する中間被覆部材を備える
請求項1から3のいずれか1項に記載の頭部装着装置。
【請求項5】
前記第1湿度センサは、前記吸入空気の温度及び相対湿度を計測し、
前記第2湿度センサは、前記排出空気の温度及び相対湿度を計測する
請求項1から3のいずれか1項に記載の頭部装着装置。
【請求項6】
前記ファンは、前記排出空気の温度が前記排出空気の露点温度以上となる風量で送風する
請求項1から5のいずれか1項に記載の頭部装着装置。
【請求項7】
前記装着者の体温を計測する体温センサを備える
請求項1から6のいずれか1項に記載の頭部装着装置。
【請求項8】
前記体温センサは、深部体温を計測する
請求項7に記載の頭部装着装置。
【請求項9】
前記装着者の心拍数を計測する心拍センサを備える
請求項1から8のいずれか1項に記載の頭部装着装置。
【請求項10】
前記装着者の周辺の湿球温度及び黒球温度を計測する環境センサを備える
請求項1から9のいずれか1項に記載の頭部装着装置。
(【請求項11】以降は省略されています)
発明の詳細な説明
【技術分野】
【0001】
本開示は、頭部装着装置、熱中症予防システム及び水分補給警告システムに関する。
続きを表示(約 1,700 文字)
【背景技術】
【0002】
高温の環境下においては、熱中症を予防することが必要となる。従来から、工事現場等の作業に従事する作業者の熱中症を防ぐための、作業者に装着させる装置が知られている。例えば特許文献1には、温度センサ及び湿度センサを備えたヘルメットが記載されている。特許文献1のヘルメットによれば、管理者がヘルメット内の状況を把握できるので、異常発生時には作業者に連絡することが可能となる。非特許文献1には、熱へのばく露を止めることが必要とされている兆候が記載されている。非特許文献2には、熱中症の症状が記載されている。
【先行技術文献】
【特許文献】
【0003】
特開2017-115275号公報
【非特許文献】
【0004】
「熱中症を防ごう」、厚生労働省労働基準局、都道府県労働局、労働基準監督署、平成25年4月
「職場の「熱中症」を防ごう」、東京労働局労働基準部健康課、平成29年2月
【発明の概要】
【発明が解決しようとする課題】
【0005】
しかしながら、特許文献1のヘルメットは、単にヘルメット内の温度及び湿度を計測するだけである。このため、特に作業者の体内水分量の減少量等、熱中症になる可能性の推定に必要な、作業者である装着者の身体の状態を正確に検出するには限界がある。したがって、熱中症になる可能性の推定精度を向上させることが難しい。また、作業者に限定されず、屋外で活動及び運動等を行う一般人であっても、熱中症になる可能性がある。したがって、ヘルメットに限定されず、一般人にも装着可能であることが望ましい。
【0006】
本開示は、上記の課題に鑑みてなされたものであって、熱中症になる可能性の推定に必要な、装着者の身体の状態をより高い精度で計測できる頭部装着装置、熱中症予防システム及び水分補給警告システムを提供することを目的とする。
【課題を解決するための手段】
【0007】
上記の目的を達成するため、本開示の一態様の頭部装着装置は、装着者の頭部を覆い、且つ通気性を有する帽子と、前記帽子の外部に配置され、空気が前記帽子の表面を通過して前記帽子の内部に入るとともに、頭部で生じる汗による水蒸気を含む空気が前記帽子の表面を通過して外部に排出されるように送風または又は吸引するファンと、前記帽子の外部において前記帽子の外部から帽子の表面を通過して前記帽子と頭部との間に入る吸入空気の絶対湿度を計測するための第1湿度センサと、前記帽子の外表面に位置し、前記帽子と頭部との間から帽子の表面を通過して前記帽子の外部へ出る排出空気の絶対湿度を計測するための第2湿度センサと、を備える。
【0008】
また、本開示の一態様の頭部装着装置は、装着者の頭部を覆い、且つ通気性を有する帽子と、該帽子の外表面に取り付けられ、空気を吸入する吸気口および空気を送り出す送風口を有し、前記送風口が前記帽子の外表面側に開口する筐体と、前記筐体の内部に配置され、空気が前記吸気口から前記筐体の内部に吸入され、前記送風口を介し前記帽子の表面を通過して前記帽子の内部に入るとともに、頭部で生じる汗による水蒸気を含む空気が前記帽子の表面を通過して外部に排出されるように送風又は吸引するファンと、前記筐体の外側に設けられて前記吸気口に入る吸入空気の絶対湿度を計測するための第1湿度センサと、前記筐体の外側に設けられて前記帽子から出る排出空気の絶対湿度を計測するための第2湿度センサと、を備える。
【0009】
頭部装着装置の望ましい態様として、前記筐体は、前記ファン、前記第1湿度センサ、及び前記第2湿度センサを支持し、前記筐体、前記ファン、前記第1湿度センサ、及び前記第2湿度センサを有し、前記帽子に対して着脱可能なセンサユニットを備える。
【0010】
頭部装着装置の望ましい態様として、前記装着者の頭部と前記帽子との間の隙間に設けられ、且つ貫通孔を有する中間被覆部材を備える。
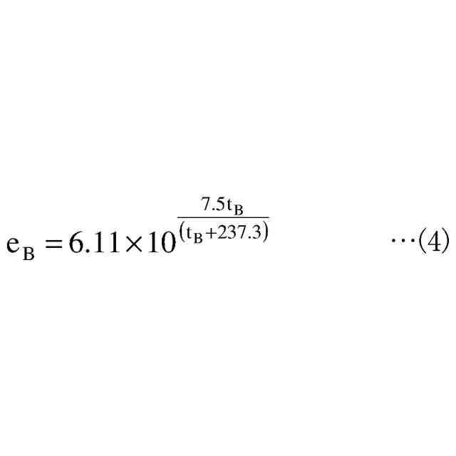
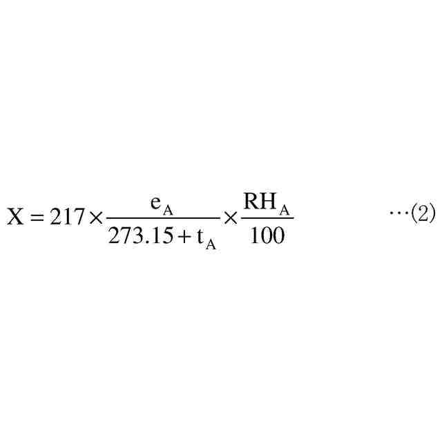
(【0011】以降は省略されています)
この特許をJ-PlatPat(特許庁公式サイト)で参照する
関連特許
個人
貼付剤
1か月前
個人
簡易担架
14日前
個人
足踏み器具
21日前
個人
短下肢装具
4か月前
個人
腋臭防止剤
14日前
個人
前腕誘導装置
4か月前
個人
排尿補助器具
1か月前
個人
嚥下鍛錬装置
4か月前
個人
胸骨圧迫補助具
2か月前
個人
腰ベルト
1か月前
個人
矯正椅子
6か月前
個人
アイマスク装置
3か月前
個人
ウォート指圧法
1か月前
個人
歯の修復用材料
5か月前
個人
バッグ式オムツ
5か月前
個人
汚れ防止シート
2か月前
個人
排尿排便補助器具
16日前
個人
シャンプー
7か月前
個人
陣痛緩和具
4か月前
個人
歯の保護用シール
6か月前
個人
哺乳瓶冷まし容器
4か月前
個人
美容セット
23日前
個人
湿布連続貼り機。
3か月前
個人
治療用酸化防御装置
2か月前
株式会社コーセー
化粧料
1か月前
個人
性行為補助具
3か月前
株式会社大野
骨壷
4か月前
株式会社八光
剥離吸引管
5か月前
個人
エア誘導コルセット
2か月前
個人
手指運動ツール
3か月前
株式会社ニデック
検眼装置
4か月前
株式会社GSユアサ
歩行器
6か月前
株式会社ニデック
眼科装置
1か月前
株式会社ニデック
眼科装置
2か月前
株式会社ダリヤ
毛髪化粧料
2か月前
株式会社ニデック
眼科装置
2か月前
続きを見る
他の特許を見る