TOP
|
特許
|
意匠
|
商標
特許ウォッチ
Twitter
他の特許を見る
10個以上の画像は省略されています。
公開番号
2025174865
公報種別
公開特許公報(A)
公開日
2025-11-28
出願番号
2025060442,2025016805
出願日
2025-04-01,2024-05-15
発明の名称
頭部3次元モデル生成システム、プログラム及び頭部3次元モデル生成方法
出願人
株式会社Berry
代理人
個人
,
個人
主分類
A61B
5/107 20060101AFI20251120BHJP(医学または獣医学;衛生学)
要約
【課題】静止させた状態を保つことが難しい対象者の頭部の3次元モデルを生成する場合であっても、正確な3次元モデルを生成できる頭部3次元モデル生成システム、プログラム及び頭部3次元モデル生成方法を提供すること。
【解決手段】頭部3次元モデル生成システム1は、頭部41を撮影する撮影部21と、撮影された頭部41の画像を処理する処理部20と、を有する電子端末2と、サーバ3と、を備え、電子端末2の処理部20は、撮影部21によってそれぞれ異なる方向から撮影された頭部41の複数の画像を取得する端末側画像取得部201と、端末側画像取得部201によって取得された画像が所定の条件を満たす適合画像であるか否かを判定するフィルタリング処理部205と、を有し、サーバ3は、複数の適合画像に基づいて、頭部41の立体的な外形形状を示す3次元モデルを生成する3次元モデル生成部303と、を有する。
【選択図】図6
特許請求の範囲
【請求項1】
対象者の頭部を撮影する撮影部と、該撮影部によって撮影された前記頭部の画像を処理する処理部と、を有する電子端末と、前記電子端末と通信可能なサーバと、を備える頭部3次元モデル生成システムであって、
前記電子端末の前記処理部は、
前記撮影部によってそれぞれ異なる方向から撮影された前記頭部の複数の画像を取得する画像取得部と、
前記画像取得部によって取得された画像が所定の条件を満たす適合画像であるか否かを判定するフィルタリング処理部と、を有し、
前記サーバは、
前記フィルタリング処理部によって前記所定の条件を満たすと判定された複数の適合画像に基づいて、前記頭部の立体的な外形形状を示す3次元モデルを生成する3次元モデル生成部と、を有する頭部3次元モデル生成システム。
続きを表示(約 1,600 文字)
【請求項2】
前記所定の条件は、画像のボケの程度に関する条件を含む請求項1に記載の頭部3次元モデル生成システム。
【請求項3】
前記フィルタリング処理部は、
前記画像取得部によって取得された画像をフーリエ変換して変換データを取得し、
変換された前記変換データにおける低空間周波数成分を除外した空間周波数の平均値に基づいて、前記画像のボケの程度を特定する請求項2に記載の頭部3次元モデル生成システム。
【請求項4】
前記所定の条件は、前記撮影部による前記頭部の撮影時における前記撮影部と前記頭部との間の距離に関する条件を含む請求項1に記載の頭部3次元モデル生成システム。
【請求項5】
前記撮影部は、シートによって覆われた状態の前記頭部を撮影し、
前記シートにおける前記頭部を覆う部分の表面には、複数のマーカが間隔を空けて形成され、
前記画像取得部は、前記マーカが中心から所定の範囲である検出領域内に位置する前記画像を前記マーカに対応する画像として取得し、
前記フィルタリング処理部は、
前記マーカに対応する画像上での前記マーカの位置を示す位置情報と、前記撮影部に設定されている焦点距離及びイメージセンサのサイズを含むパラメータ情報と、に基づいて、前記撮影部と前記マーカとの間の距離を特定する請求項4に記載の頭部3次元モデル生成システム。
【請求項6】
前記所定の条件は、前記撮影部による前記頭部の撮影時における前記頭部に対する前記撮影部の向きに関する条件を含む請求項1に記載の頭部3次元モデル生成システム。
【請求項7】
前記撮影部は、シートによって覆われた状態の前記頭部を撮影し、
前記シートにおける前記頭部を覆う部分の表面には、複数のマーカが間隔を空けて形成され、
前記画像取得部は、前記マーカが中心から所定の範囲である検出領域内に位置する画像を前記マーカに対応する画像として取得し、
前記フィルタリング処理部は、
前記マーカに対応する画像上での前記マーカの位置を示す位置情報と、前記撮影部に設定されている焦点距離及びイメージセンサのサイズを含むパラメータ情報と、に基づいて、前記頭部に対する前記撮影部の向きを特定する請求項6に記載の頭部3次元モデル生成システム。
【請求項8】
前記撮影部は、シートによって覆われた状態の前記頭部を撮影し、
前記シートにおける前記頭部を覆う部分の表面には、前記頭部における位置情報と関連付けられた複数の識別マーカが間隔を空けて形成されるとともに、複数の色柄が形成され、
前記画像取得部は、前記識別マーカが中心から所定の範囲である検出領域内に位置する前記画像を識別マーカに対応する画像として取得し、
前記フィルタリング処理部は、前記画像取得部によって取得された前記識別マーカに対応する画像が前記適合画像であるか否かを判定し、
前記3次元モデル生成部は、予め定められた全ての前記識別マーカに対応する画像の前記適合画像の前記識別マーカと関連付けられた前記位置情報と前記色柄とに基づいて、前記3次元モデルを生成する請求項1に記載の頭部3次元モデル生成システム。
【請求項9】
前記シートの表面に形成される全ての前記色柄は、それぞれ異なる請求項8に記載の頭部3次元モデル生成システム。
【請求項10】
前記所定の条件は、前記撮影部による前記頭部の撮影時における前記撮影部と前記頭部との間の距離に関する条件と、前記撮影部による前記頭部の撮影時における前記頭部に対する前記撮影部の向きに関する条件と、を含む請求項1に記載の頭部3次元モデル生成システム。
(【請求項11】以降は省略されています)
発明の詳細な説明
【技術分野】
【0001】
本発明は、頭部3次元モデル生成システム、プログラム及び頭部3次元モデル生成方法に関する。
続きを表示(約 2,000 文字)
【背景技術】
【0002】
従来、斜頭等の治療を要する頭蓋変形が生じた乳幼児等の対象者に対し、頭部の形状を矯正する頭蓋形状矯正ヘルメットが知られている。この種の頭蓋形状矯正ヘルメットが記載されるものとして例えば特許文献1がある。
【0003】
特許文献1には、乳児の頭部の外形に基づいて設計され、該頭部を押圧して頭蓋骨形状の矯正を行うための外装部材と、該外装部材の内面に設けられ、該外装部材による頭部への刺激を緩衝するための内装部材とを備える乳児用頭蓋骨矯正ヘルメットについて記載されている。
【先行技術文献】
【特許文献】
【0004】
特開2015-183330号公報
【発明の概要】
【発明が解決しようとする課題】
【0005】
ところで、頭蓋形状矯正ヘルメットは、例えば、対象者の頭部をそれぞれ異なる方向から撮影された複数の画像から頭部の立体的な外形形状を示す3次元モデルを生成し、生成された3次元モデルに基づいて製造される。この場合、正確な3次元モデルを生成するために画像から頭部の外形形状に関する正確な情報を読み取ることが重要である。しかし、被写体が乳幼児等である場合、画像の撮影時に乳幼児が動き、撮影した画像から頭部の外形形状に関する正確な情報を読み取ることが難しい場合がある。
【0006】
本発明は、静止させた状態を保つことが難しい対象者の頭部の3次元モデルを生成する場合であっても、正確な3次元モデルを生成できる頭部3次元モデル生成システム、プログラム及び頭部3次元モデル生成方法を提供することを目的とする。
【課題を解決するための手段】
【0007】
頭部3次元モデル生成システムは、対象者の頭部を撮影する撮影部と、該撮影部によって撮影された画像を処理する処理部と、を有する電子端末と、前記電子端末と通信可能なサーバと、を備える頭部3次元モデル生成システムであって、前記電子端末の前記処理部は、前記撮影部によってそれぞれ異なる方向から撮影された前記頭部の複数の画像を取得する画像取得部と、前記画像取得部によって取得された画像が所定の条件を満たす適合画像であるか否かを判定するフィルタリング処理部と、を有し、前記サーバは、前記フィルタリング処理部によって前記所定の条件を満たすと判定された複数の適合画像に基づいて、前記頭部の立体的な外形形状を示す3次元モデルを生成する3次元モデル生成部と、を有する。
【発明の効果】
【0008】
本発明によれば、静止させた状態を保つことが難しい対象者の頭部の3次元モデルを生成する場合であっても、正確な3次元モデルを生成できる。
【図面の簡単な説明】
【0009】
本発明の一実施形態に係る頭部3次元モデル生成システムを示す模式図である。
本発明の一実施形態に係る頭部3次元モデル生成システムにおけるサーバのハードウェアの構成を示すブロック図である。
本発明の一実施形態に係る頭部3次元モデル生成システムにおける電子端末のハードウェアの構成を示すブロック図である。
頭部の撮影時における電子端末の表示部を示す模式図である。
図4に示す状態で電子端末の撮影部によって撮影された画像の一例を示す模式図である。
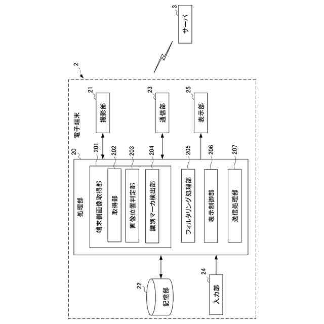
本発明の一実施形態に係る頭部3次元モデル生成システムにおける電子端末の機能ブロックの構成を示すブロック図である。
被写体が静止した状態であり、ピントが合っている画像を示す図である。
図7Aに示す画像をフーリエ変換して得られた変換データを示す図である。
被写体が静止した状態であるが、ピントが合っていない画像を示す図である。
図8Aに示す画像をフーリエ変換して得られた変換データを示す図である。
被写体が動いている状態で撮影された画像を示す図である。
図9Aに示す画像をフーリエ変換して得られた変換データを示す図である。
頭部と撮影部との距離及び角度に関する条件についての説明図である。
頭部と撮影部との距離に関する条件に付いての説明図である。
本発明の一実施形態に係る頭部3次元モデル生成システムにおけるサーバの機能ブロックの構成を示すブロック図である。
本発明の一実施形態に係る電子端末によって実行される3次元モデル生成処理の一例を示すフローチャートである。
本発明の一実施形態に係るサーバによって実行される3次元モデル生成処理の一例を示すフローチャートである。
【発明を実施するための形態】
【0010】
以下、本発明の実施形態について、図面を参照しながら説明する。図1は、本実施形態の頭部3次元モデル生成システム1と乳幼児4を示す模式図である。
(【0011】以降は省略されています)
この特許をJ-PlatPat(特許庁公式サイト)で参照する
関連特許
株式会社Berry
頭部3次元モデル生成システム、プログラム及び頭部3次元モデル生成方法
3日前
株式会社Berry
頭部3次元モデル生成システム、プログラム及び頭部3次元モデル生成方法
3日前
株式会社Berry
頭部3次元モデル生成システム、プログラム及び頭部3次元モデル生成方法
3日前
個人
貼付剤
1か月前
個人
簡易担架
17日前
個人
健康器具
9か月前
個人
短下肢装具
4か月前
個人
足踏み器具
24日前
個人
鼾防止用具
9か月前
個人
腋臭防止剤
17日前
個人
脈波測定方法
9か月前
個人
排尿補助器具
1か月前
個人
嚥下鍛錬装置
4か月前
個人
前腕誘導装置
4か月前
個人
白内障治療法
8か月前
個人
洗井間専家。
8か月前
個人
ウォート指圧法
1か月前
個人
汚れ防止シート
2か月前
個人
矯正椅子
6か月前
個人
胸骨圧迫補助具
2か月前
個人
アイマスク装置
3か月前
個人
腰ベルト
1か月前
個人
歯の修復用材料
5か月前
個人
バッグ式オムツ
5か月前
個人
ホバーアイロン
7か月前
個人
陣痛緩和具
4か月前
個人
湿布連続貼り機。
3か月前
個人
歯の保護用シール
6か月前
個人
哺乳瓶冷まし容器
4か月前
三生医薬株式会社
錠剤
8か月前
個人
美容セット
26日前
個人
シャンプー
7か月前
個人
車椅子持ち上げ器
8か月前
個人
排尿排便補助器具
19日前
株式会社コーセー
化粧料
1か月前
株式会社大野
骨壷
5か月前
続きを見る
他の特許を見る