TOP
|
特許
|
意匠
|
商標
特許ウォッチ
Twitter
他の特許を見る
10個以上の画像は省略されています。
公開番号
2025173297
公報種別
公開特許公報(A)
公開日
2025-11-27
出願番号
2024078815
出願日
2024-05-14
発明の名称
広告支援装置および広告支援方法
出願人
株式会社日立製作所
代理人
弁理士法人第一国際特許事務所
主分類
G06Q
30/0242 20230101AFI20251119BHJP(計算;計数)
要約
【課題】施設事業者が保有する売上等のデータと、来訪者の行動データとを用いて相関を分析し、その結果をもとに広告配置に対する投資対効果を算出して広告戦略を支援する。
【解決手段】生活者の人流データから移動データを自動作成する移動データ作成部と、移動データまたは交通データから施設の来訪者滞在データを自動作成する滞在データ作成部と、来訪者滞在データと広告元施設の施設データを用いて広告元施設における販促ターゲット属性の重要度(販促ターゲット重要度)を決定する販促ターゲット重要度算出部と、販促ターゲット重要度、広告先滞在データ、および広告先候補データを用い広告の投資対効果を算出する広告投資対効果算出部と、投資対効果をもとに広告予算を配分する予算配分算出部と、予算配分の算出結果を、端末装置に表示する表示画面作成部と、を備える広告支援装置を提供する。
【選択図】図2
特許請求の範囲
【請求項1】
生活者の人流データから移動データを自動作成する移動データ作成部と、
移動データまたは交通データから施設の来訪者滞在データを自動作成する滞在データ作成部と、
来訪者滞在データと広告元施設の施設データを用いて前記広告元施設における販促ターゲット属性の重要度(販促ターゲット重要度)を決定する販促ターゲット重要度算出部と、
販促ターゲット重要度、広告先滞在データ、および広告先候補データを用い広告の投資対効果を算出する広告投資対効果算出部と、
投資対効果をもとに広告予算を配分する予算配分算出部と、
予算配分の算出結果を、端末装置に表示する表示画面作成部と、
を備える広告支援装置。
続きを表示(約 1,100 文字)
【請求項2】
前記施設データは売上データを含み、
前記販促ターゲット重要度算出部は、前記広告元施設の前記売上データと販促ターゲット属性の前記広告元施設における滞在人数との相関分析を行い、販促ターゲット重要度を算出すること、
を特徴とする、請求項1に記載の広告支援装置。
【請求項3】
前記広告投資対効果算出部は、前記広告先候補データに含まれる広告先施設における広告媒体の特徴と広告費用を用いて投資対効果を算出すること、
を特徴とする、請求項1または2に記載の広告支援装置。
【請求項4】
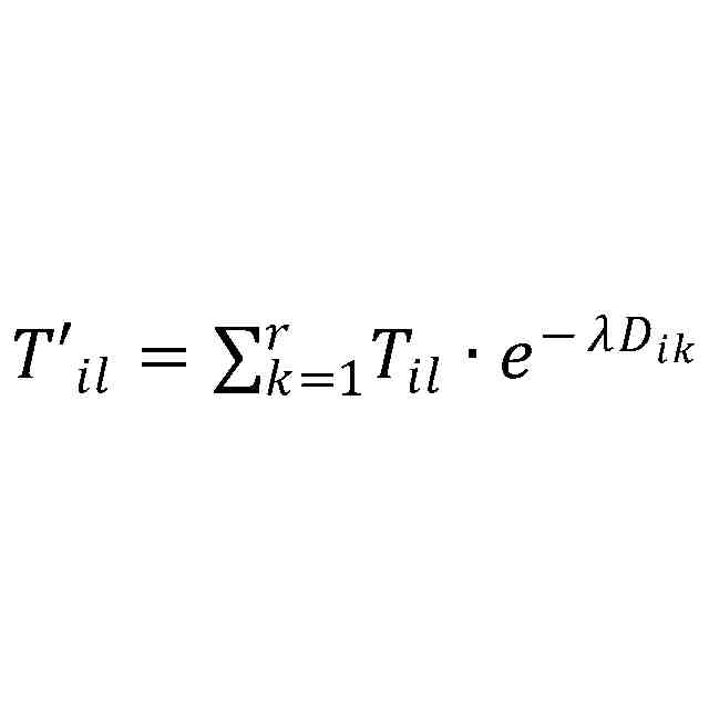
前記広告投資対効果算出部は、広告先施設同士の距離および広告効果の減衰パラメータを用いて、広告元施設の投資対効果から修正投資対効果を算出することを特徴とする、請求項1または2に記載の広告支援装置。
【請求項5】
前記広告投資対効果算出部は、候補となる全広告先施設および全広告媒体に対する投資対効果の総和と所定の広告先施設および広告媒体に対する投資対効果から、前記所定の広告先施設および広告媒体に対する投資対効果割合を算出することを特徴とする、請求項3に記載の広告支援装置。
【請求項6】
前記人流データは生活者が所持する携帯端末で取得した位置情報を含み、前記交通データは交通事業者が保有する生活者の交通サービス利用情報を含むこと、
を特徴とする、請求項1または2に記載の広告支援装置。
【請求項7】
前記滞在データ作成部は、前記移動データまたは交通データから施設の入場時刻と出場時刻の差分を算出し、前記差分に閾値を設けて前記来訪者滞在データを作成すること、
を特徴とする、請求項1または2に記載の広告支援装置。
【請求項8】
前記表示画面作成部は、予算配分の算出結果を広告元施設の端末装置に表示させること、
を特徴とする、請求項1または2に記載の広告支援装置。
【請求項9】
前記表示画面作成部は、前記予算配分の算出結果をもとにした広告元施設による広告先施設の選定結果を広告代理店の端末装置に表示させること、
を特徴とする、請求項1または2に記載の広告支援装置。
【請求項10】
前記表示画面作成部は、前記予算配分の算出結果をもとに広告元施設が設定した広告先施設選定条件を満たした広告媒体の情報を自動で広告代理店の端末装置に表示させること、
を特徴とする、請求項1または2に記載の広告支援装置。
(【請求項11】以降は省略されています)
発明の詳細な説明
【技術分野】
【0001】
本発明は、広告支援装置および広告支援方法に関する。本発明は、特に、施設事業者が販促施策の広告を出すときに、広告配置に対する投資対効果を算出し、効果的な広告配置と広告予算の配分を提案する技術に関する。
続きを表示(約 2,900 文字)
【背景技術】
【0002】
広告戦略は多くの業種で活用される重要なマーケティング手法であるが、その費用対効果を定量的に測定する方法は限られており、従来は広告配信担当者が経験や直感に基づいて広告の配置や予算の配分が行われてきた。
よって、近年は、広告配信担当者の負担緩和や広告効果の向上のため、さまざまな広告配信支援技術が提案されている。
【0003】
特許文献1は、生活者に関するデータと、商品情報に関するデータを用いて、広告の媒体や掲載時間帯で広告効果を算出し、前記広告効果の大きさに応じて予算の配分を提案する技術である。生活者に関するデータとは、例えば、各種情報へどういった媒体を通じて、どのくらいの量、接触しているかについてのデータと、どういった気分で生活しているかについてのデータ、さらに、どういった商品種に対して、どの程度の消費を行っているかについてのデータである。商品情報に関するデータとは、例えば、商品種と購買プロセスの相関に関する情報と、該購買プロセスとフェーズ設定の相関に関する情報である。購買プロセスとは、生活者が物品乃至サービスを消費するに当たって、当該物品乃至サービスのブランドを認知してから、購買等の意思決定を行うまでの一連の意識の流れを類型化したものである。
【先行技術文献】
【特許文献】
【0004】
特許第4317547号公報
【発明の概要】
【発明が解決しようとする課題】
【0005】
特許文献1の技術を用いると、既存の広告媒体ごとに生活者が広告と接触してから商品を購入するに至るまでのプロセスを分析し、広告効果を算出することができる。つまり、定量的な根拠に基づいて広告媒体や、広告掲載時間や、広告予算配分の策定ができる。しかしながら、この方法では、ポスターや電車内の中吊り広告等のような広告の接触履歴を取得することが難しい広告媒体には適用できない。さらに、この方法では、接触履歴が取得できる人を分析対象とするため、接触履歴のない人の行動を追えない。例えば、電車内のサイネージの視聴数が少ないのは、サイネージ広告の広告内容の適否以前に、そもそも乗車人数が少ないのかが分からない。つまり、広告効果を測るためには、広告媒体周りの人流を把握し、広告媒体に接触する機会がどれほどあるのかを見ることが重要である。
本発明は、携帯電話などの携帯端末から得られる位置情報、もしくは各交通事業者が収集、蓄積している交通サービス利用情報とを用いて、地域全体の人の行動を分析し、さらに、施設事業者が保有する売上等のデータと人の行動との相関を分析することで、投資対効果が高い広告配置および広告予算配分を提案することで広告戦略を支援することを目的とする。
なお、施設事業者は一般に集客を図る事業主体を想定しており、係る施設事業者が広告を出す際には広告元施設と呼ぶ。
【課題を解決するための手段】
【0006】
本願において開示される発明の代表的な一例を示せば以下の通りである。すなわち、生活者の人流データから移動データを自動作成する移動データ作成部と、移動データまたは交通データから施設の来訪者滞在データを自動作成する滞在データ作成部と、来訪者滞在データと広告元施設の施設データを用いて前記広告元施設における販促ターゲット属性の重要度(販促ターゲット重要度)を決定する販促ターゲット重要度算出部と、販促ターゲット重要度、広告先滞在データ、および広告先候補データを用い広告の投資対効果を算出する広告投資対効果算出部と、投資対効果をもとに広告予算を配分する予算配分算出部と、予算配分の算出結果を、端末装置に表示する表示画面作成部と、を備える広告支援装置を提供する。
以上の構成は、単体のコンピュータで構成してもよいし、そのとき、入力部、出力部、を有してもよい。また、前記構成がネットワークで接続された他のコンピュータで構成されてもよい。
【0007】
また、本発明は、移動データ作成部において、生活者の人流データから移動データを自動作成する手順と、滞在データ作成部において、移動データまたは交通データから施設の来訪者滞在データを自動作成する手順と、 販促ターゲット重要度算出部において、来訪者滞在データと広告元施設の施設データを用いて前記広告元施設における販促ターゲット重要度を決定する手順と、広告投資対効果算出部において、販促ターゲット重要度、広告先滞在データ、および広告先候補データを用いて広告の投資対効果を算出する手順と、予算配分算出部において、投資対効果をもとに広告予算を予算配分する手順と、表示画面作成部において、予算配分の算出結果を、端末装置に表示する手順と、を備える広告支援方法を提供する。
以上の手順は、プロセッサがメモリに記録されたプログラムを実行することにより行われる。
【発明の効果】
【0008】
本発明によれば、施設事業者が保有する売上等のデータと、生活者の移動データまたは交通データと、を用いて相関分析により、投資対効果が高い広告配置を提案することができる。
【図面の簡単な説明】
【0009】
図1は、広告支援装置を取り巻く全体構成を示したブロック図である。
図2は、広告支援装置の詳細な構成について示したブロック図である。
図3は、人流データの一例を示した図である。
図4は、交通データの一例を示した図である。
図5は、移動データの一例を示した図である。
図6は、来訪者滞在データの一例を示した図である。
図7は、施設データの一例を示した図である。
図8は、広告先滞在データの一例を示した図である。
図9は、投資対効果データの一例を示した図である。
図10は、予算配分データの一例を示した図である。
図11は、移動データを作成する処理手順を説明したフローチャートである。
図12は、来訪者滞在データを作成する処理手順を説明したフローチャートである。
図13は、移動データまたは交通データから対象施設に滞在したか否かを判定する処理手順を説明したフローチャートである。
図14は、販促ターゲットとなる属性の重要度を算出する処理手順を説明したフローチャートである。
図15は、広告投資対効果を算出する処理手順を説明したフローチャートである。
図16は、広告予算を配分する処理手順を説明したフローチャートである。
図17は、広告元施設向け表示画面の一例である。
図18は、広告元施設向け表示画面の一例である。
図19は、広告代理店向け表示画面の一例である。
【発明を実施するための形態】
【0010】
以下、添付図面を参照し、本発明の実施の形態について、詳細に説明する。
(【0011】以降は省略されています)
この特許をJ-PlatPat(特許庁公式サイト)で参照する
関連特許
個人
詐欺保険
1か月前
個人
縁伊達ポイン
1か月前
個人
RFタグシート
1か月前
個人
5掛けポイント
20日前
個人
職業自動販売機
13日前
個人
QRコードの彩色
1か月前
個人
地球保全システム
1か月前
個人
ペルソナ認証方式
28日前
個人
自動調理装置
1か月前
個人
情報処理装置
23日前
個人
表変換編集支援システム
2か月前
個人
農作物用途分配システム
1か月前
個人
残土処理システム
1か月前
個人
タッチパネル操作指代替具
1か月前
個人
インターネットの利用構造
27日前
個人
知的財産出願支援システム
1か月前
個人
サービス情報提供システム
15日前
個人
パスワード管理支援システム
2か月前
個人
携帯端末障害問合せシステム
1か月前
個人
スケジュール調整プログラム
1か月前
株式会社キーエンス
受発注システム
1か月前
株式会社キーエンス
受発注システム
1か月前
個人
AIキャラクター制御システム
2か月前
個人
食品レシピ生成システム
1か月前
個人
海外支援型農作物活用システム
2か月前
株式会社キーエンス
受発注システム
1か月前
個人
エリアガイドナビAIシステム
28日前
個人
システム及びプログラム
2か月前
エッグス株式会社
情報処理装置
1か月前
個人
音声対話型帳票生成支援システム
2か月前
個人
未来型家系図構築システム
2か月前
キヤノン株式会社
表示システム
1か月前
個人
帳票自動生成型SaaSシステム
1か月前
個人
SaaS型勤務調整支援システム
2か月前
個人
社会還元・施設向け供給支援構造
2か月前
個人
音声・通知・再配達UX制御構造
1か月前
続きを見る
他の特許を見る