TOP
|
特許
|
意匠
|
商標
特許ウォッチ
Twitter
他の特許を見る
10個以上の画像は省略されています。
公開番号
2025170731
公報種別
公開特許公報(A)
公開日
2025-11-19
出願番号
2024087595
出願日
2024-05-30
発明の名称
ナノ一方向弁浸透によるエネルギー収集の方法及び装置
出願人
西安シ世尊机電科技有限公司
代理人
個人
主分類
B01D
61/00 20060101AFI20251112BHJP(物理的または化学的方法または装置一般)
要約
【課題】ナノ一方向弁浸透によるエネルギー収集の方法及び装置を提供する。
【解決手段】ナノ一方向弁の原理及び浸透効果に基づいて提案する浸透によるエネルギー収集の技術原理と方法を含み、2枚の半透膜2-1を設け、溶液2-2を充填し、濃度制御モジュールと2-3組み合わせることにより、半透膜境界での濃度を制御して2枚の半透膜近傍での溶液濃度を異ならせ、浸透圧の制御を実現し、一方向弁作用の効果を達成し、溶媒分子の無秩序で高速な熱運動を自動的に整然とした一方向の流れに整流して、液面の位置エネルギー又は液体の流れの運動エネルギーを形成してエネルギー貯蔵又は発電に使用する。分子の熱運動による運動エネルギーを環境から抽出して発電し、電気エネルギーが消費された後、熱エネルギーとして環境に戻され、発電に再度使用される。
【選択図】図3
特許請求の範囲
【請求項1】
ナノ一方向弁浸透によるエネルギー収集方法であって、
2枚の半透膜をU字管に取り付け、2枚の前記半透膜の間に溶液を充填し、2枚の前記半透膜の外側に溶媒を充填する手順と、
前記溶液にエネルギー場を設定し、前記溶液中の溶質粒子の分布を制御することで、2枚の前記半透膜の境界での前記溶液の濃度を等しくないにさせ、2枚の前記半透膜で前記溶液の浸透圧が異なり、2枚の前記半透膜の外側にある前記溶媒が浸透して前記溶液中に入り、前記溶液の内圧が上昇して濃度の低い側の前記半透膜の浸透圧を超え、前記溶液がその側の前記半透膜で逆浸透させ、前記溶媒は浸透圧の高い前記半透膜、前記溶液、浸透圧の低い前記半透膜を順に通過した逆浸透により一方向の流れを実現し、一方向の流れの前記溶媒は、液面の位置エネルギー又は液体の流れの運動エネルギーが形成されてエネルギー貯蔵又は発電を行う手順とを含み、
前記エネルギー場が静電場であり、前記溶液中に荷電イオンが含まれる場合、電場の作用により前記半透膜における前記荷電イオンの濃度が変化し、2枚の前記半透膜の境界における前記溶液の濃度を等しくないにさせ、又は前記エネルギー場が磁場、前記溶液が強い反磁性ナノ粒子を有する液体の場合、前記磁場の作用により、2枚の前記半透膜の境界における前記強い反磁性ナノ粒子の濃度を等しくないにさせ、若しくは前記エネルギー場が重力場、前記溶液が液体及び液体中のナノ粒子の場合、重力と浮力の共同作用により一方の前記半透膜での液体中の前記ナノ粒子の濃度は高くなり、2枚の前記半透膜の境界における前記溶液の濃度を等しくなくさせる
ことを特徴とするナノ一方向弁浸透によるエネルギー収集方法。
続きを表示(約 1,800 文字)
【請求項2】
ナノ一方向弁浸透によるエネルギー収集装置であって、U字管容器(1)と、内部に設けられた一方向弁(2)とを備え、前記一方向弁(2)は、
前記U字管容器(1)内に取り外し可能に設けられ、その間に溶液(2-2)を充填し、外側に溶媒を充填する2枚の半透膜(2-1)と、
前記溶液(2-2)の濃度を制御する、又は荷電半透膜を使用して2枚の前記半透膜(2-1)境界での前記溶液(2-2)の濃度を異ならせるように前記溶液(2-2)の濃度を制御するための濃度制御モジュール(2-3)とを備える
ことを特徴とするナノ一方向弁浸透によるエネルギー収集装置。
【請求項3】
前記濃度制御モジュール(2-3)は静電場部材であるか、又は荷電半透膜を使用し、前記静電場部材は前記半透膜(2-1)の一側の前記溶媒中に設けられ、前記溶媒から絶縁される帯電体であり、前記溶媒中には荷電イオンが存在し、帯電体の電場作用により、前記半透膜(2-1)での荷電イオンの濃度が変化し、2枚の前記半透膜(2-1)の境界での前記溶液(2-2)の濃度は等しくない
請求項2に記載のナノ一方向弁浸透によるエネルギー収集装置。
【請求項4】
一方の前記半透膜(2-1)は、荷電膜であり、他方の前記半透膜(2-1)は電気的中性膜であり、前記溶液(2-2)中に荷電イオンが存在し、荷電膜の電場作用により、前記半透膜(2-1)での荷電イオンの濃度が変化し、2枚の前記半透膜(2-1)の境界での前記溶液(2-2)の濃度は等しくない
請求項2に記載のナノ一方向弁浸透によるエネルギー収集装置。
【請求項5】
2枚の前記半透膜(2-1)はいずれも荷電膜であり、一方の前記荷電膜の荷電層は前記溶媒に面し、他方の荷電膜の荷電層は前記溶液(2-2)に面し、かつ前記溶液(2-2)から絶縁されており、
前記溶液(2-2)中に荷電イオンが存在し、荷電膜の電場作用により荷電膜の前記溶液(2-2)に面する側での荷電イオンの濃度が変化し、2枚の前記半透膜(2-1)の境界での前記溶液(2-2)の濃度は等しくない
請求項2に記載のナノ一方向弁浸透によるエネルギー収集装置。
【請求項6】
前記溶液(2-2)は、液体及び内部に複数の強い反磁性ナノ粒子が懸濁するものであり、
前記濃度制御モジュール(2-3)は一方の前記半透膜(2-1)の外側に設けられた強磁性体であり、前記強磁性体の磁場作用により複数の前記強い反磁性ナノ粒子を他方の前記半透膜(2-1)に近づける
請求項2に記載のナノ一方向弁浸透によるエネルギー収集装置。
【請求項7】
前記溶液(2-2)は、液体及び液体中の複数のナノ粒子であり、前記濃度制御モジュール(2-3)を設けず、自然重力場を利用し、
前記ナノ粒子の直径及び前記半透膜(2-1)の孔径は0.5~10nmの範囲で、前記ナノ粒子の直径は前記半透膜(2-1)の孔径より大きく、前記ナノ粒子は前記液体に溶解せず、前記半透膜(2-1)に付着せず、前記半透膜(2-1)が水平に配置され、複数の前記ナノ粒子は液体の浮力と重力の共同作用により浮上又は沈降し、一方の前記半透膜(2-1)での濃度が高くなり、振動を受けた時液体中に再び一定時間懸濁する
請求項2に記載のナノ一方向弁浸透によるエネルギー収集装置。
【請求項8】
前記U字管容器(1)は、
両側に第1開口部と第2開口部がそれぞれ穿設され、2枚の前記半透膜(2-1)はその中に取り外し可能に設けられる中空キャビティ(1-1)と、
下端は、それぞれ前記第1開口部及び第2開口部に連通され、内部に前記溶媒を充填する2本の接続管(1-2)とを備える
請求項2に記載のナノ一方向弁浸透によるエネルギー収集装置。
【請求項9】
2枚の前記半透膜(2-1)は、前記中空キャビティ(1-1)内に設けられ、前記中空キャビティ(1-1)内の空間は3つのチャンバーに分割され、2枚の前記半透膜(2-1)間のチャンバーに前記溶液(2-2)を充填し、両側の2つの前記チャンバーに前記溶媒を充填し、2本の前記接続管(1-2)の下端はそれぞれ2つの前記チャンバーと連通する
請求項8に記載のナノ一方向弁浸透によるエネルギー収集装置。
発明の詳細な説明
【技術分野】
【0001】
本発明は、環境エネルギー収集の技術分野に関し、特に、ナノ一方向弁浸透によるエネルギー収集の方法及び装置に関する。
続きを表示(約 1,900 文字)
【背景技術】
【0002】
エネルギーは人類の生存と発展の基盤であり、世界の人口が増加し続け、化石エネルギーが枯渇し続けるに伴い、人類のエネルギー危機はますます顕著になり、各国は新しいエネルギー源の発見に懸命に取り組んでいる。化石エネルギー、核エネルギーなどは熱エネルギーに変換して利用され、地球温暖化を加速させる。温度は、常に感じられる熱エネルギーの度合いであり、分子の平均・並進運動エネルギーの尺度である。地球上には様々な種類の液体が存在しており、分子の熱運動は莫大なエネルギーを含み、これを利用することで新たなエネルギー源である分子エネルギーを形成し、環境エネルギーの回収・発電が実現できると期待されている。
【0003】
浸透とは、半透膜を通って物質が移動する現象をいう。半透膜は、細孔を含む膜であり、細孔の大きさは一般に小さな分子よりも大きいが大きな分子、イオンよりも小さく、小さな分子は拡散運動により自由に出入りできるが、大きな分子、イオンは自由に通ることができない。細胞膜、羊皮紙、浄水用逆浸透膜などはいずれも半透膜である。半透膜で隔てられた2種類の液体が同じ圧力の強さにある時、純粋溶媒が半透膜を通って溶液中に入る現象を浸透という。浸透作用は、純粋溶媒と溶液の間だけでなく、同じ種類の異なる濃度の溶液の間でも起こり、低濃度の溶液中の溶媒は、半透膜を通って高濃度の溶液に入る。浸透概念は、下水の浄化、海水の淡水化などの分野でもよく使われる。
【0004】
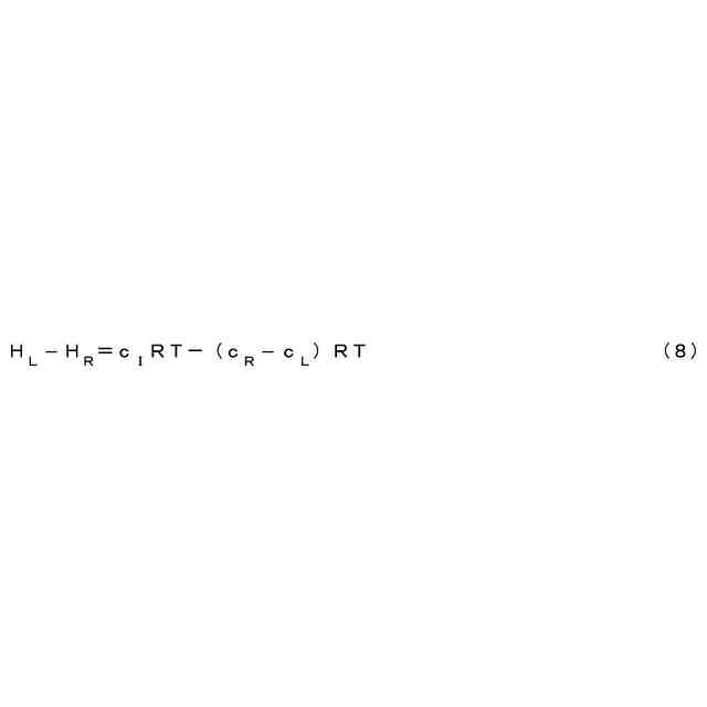
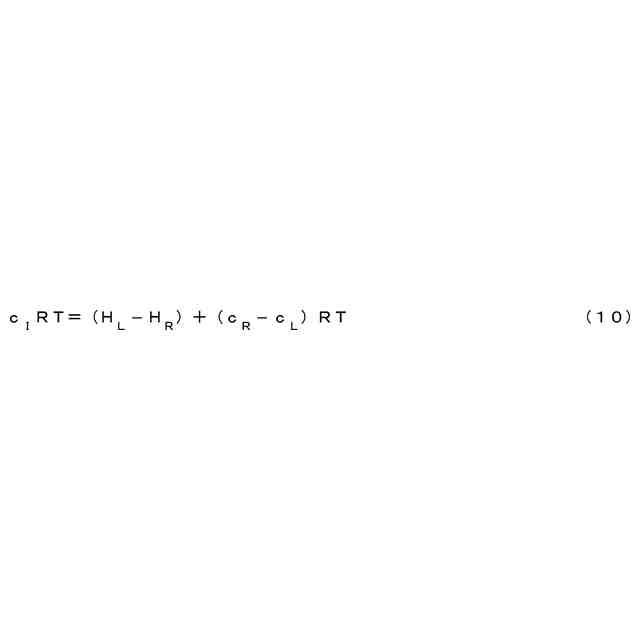
浸透効果の強さを示す指標は浸透圧である。両側の溶液濃度が異なる半透膜において、溶媒が低濃度側から高濃度側へ浸透するのを阻止するため高濃度側に加わる最小の圧力を浸透圧といい、浸透の発生を阻止できる。理論的には、浸透圧は溶液の濃度と熱力学温度に正比例し、その関係は次のとおりである。
【0005】
TIFF
2025170731000002.tif
7
166
【0006】
上式は、ファントホッフの式と呼ばれ、浸透圧式とも呼ばれる。式中、cは、溶液中の粒子のモル濃度(単位:mol/L)、Rは理想気体定数であり、πの単位をkPaとした際、R値は8.314J/(K.mol)、Tは熱力学温度(単位:K)である。半透膜の両側がいずれも溶液である場合、c は両側の溶液中の粒子のモル濃度の差である。
【0007】
浸透作用力は、非常に強く、濃度0.9%の37℃生理食塩水のモル濃度は約0.31mol/L、相当する浸透圧は約0.79MPa、水位差は約79mとなる。一般に海水の塩分濃度は、約3%で、淡水との浸透圧は約240mの水位差であり、この浸透圧を利用して発電することができる。現在、海の塩水と河川の淡水の塩分濃度差エネルギーを利用した浸透圧発電技術があり、このエネルギーはグリーンで環境に優しいエネルギーと考えられている。ノルウェーでは、世界初の海の塩水と河川の淡水の塩分濃度差発電機が率先して開発された。
【0008】
浸透により、水は低いところから溶液に自発的に流れ、高いところへ到達するが、水分子が浸透するにつれて溶液は薄まり、濃度は益々低くなり、浸透効果は益々弱くなる。このような水流の循環流動を利用して仕事を行うと、半透膜の両側の溶液の濃度が徐々に均衡していき、浸透効果が失われるため、一般的な浸透効果により循環仕事を実現することは困難である。従来の浸透圧発電は一方向の水流発電で、海の塩水と河川の淡水の塩分濃度差発電が溶液の濃度を基本的に変化しないまま維持するため、大量の海水に依存し、水流が循環した場合、溶液が薄まって運転が停止してしまい、水流を循環させて発電する基盤が形成できなくなる。 河川と海が交わる場所にしか建てられない。また、海水塩分を捕捉する半透膜は孔径が小さく、水の透過性が悪く、システムの発電能力も弱い。河川水には半透膜を目詰まりやすい不純物が含まれており、海の塩水と河川の淡水の塩分濃度差発電技術の実用化に影響を及ぼす。
【発明の概要】
【発明が解決しようとする課題】
【0009】
一般的な環境中の熱エネルギーからエネルギーを抽出して人間に供給するため本発明の主な目的は、ナノ一方向弁浸透によるエネルギー収集の方法及び装置を提供することである。
【課題を解決するための手段】
【0010】
上記目的を達成するため、本発明は、以下の技術的手段を採用した。
(【0011】以降は省略されています)
この特許をJ-PlatPat(特許庁公式サイト)で参照する
関連特許
株式会社西部技研
除湿装置
1か月前
株式会社日本触媒
ドロー溶質
1か月前
プライミクス株式会社
攪拌装置
7日前
日本バイリーン株式会社
フィルタ
21日前
サンノプコ株式会社
消泡剤
1か月前
東レ株式会社
遠心ポッティング方法
28日前
トヨタ自動車株式会社
濾過装置
22日前
株式会社切川物産
撹拌装置
8日前
トヨタ紡織株式会社
フィルタ
1日前
栗田工業株式会社
ギ酸の回収方法
8日前
大和ハウス工業株式会社
反応装置
1か月前
松岡紙業 株式会社
油吸着体の製造方法
1か月前
個人
気液混合装置
1か月前
トヨタ紡織株式会社
水流帯電装置
1日前
株式会社フクハラ
圧縮空気圧回路ユニット
1か月前
東芝ライテック株式会社
光照射装置
22日前
富士電機株式会社
ガス処理システム
1か月前
株式会社明電舎
成膜装置
1か月前
日本化薬株式会社
直鎖ブテン製造用触媒及びその使用
28日前
東芝ライテック株式会社
紫外線処理装置
7日前
ノリタケ株式会社
触媒材料およびその利用
1か月前
本田技研工業株式会社
二酸化炭素回収装置
1か月前
ノリタケ株式会社
触媒材料およびその利用
1か月前
本田技研工業株式会社
二酸化炭素回収装置
1か月前
ノリタケ株式会社
触媒材料およびその利用
1か月前
本田技研工業株式会社
二酸化炭素回収装置
1か月前
本田技研工業株式会社
二酸化炭素回収装置
1か月前
本田技研工業株式会社
二酸化炭素回収装置
1か月前
東京応化工業株式会社
ろ過処理方法、及び多孔質膜
1か月前
三浦工業株式会社
撹拌装置
1か月前
いであ株式会社
PFAS除去用バイオ炭の製造方法
23日前
個人
フッ化炭素糸物にフッ素をコーティングした浄水手段
1か月前
株式会社プロテリアル
触媒複合物および触媒前駆体複合物
1か月前
栗田工業株式会社
有機物含有水の脱泡処理装置
15日前
TPR株式会社
多孔質ブリーザ
1か月前
三菱重工業株式会社
石膏脱水システム
21日前
続きを見る
他の特許を見る