TOP
|
特許
|
意匠
|
商標
特許ウォッチ
Twitter
他の特許を見る
公開番号
2025169185
公報種別
公開特許公報(A)
公開日
2025-11-12
出願番号
2025067540
出願日
2025-04-16
発明の名称
焼灼位置決定装置、焼灼位置決定方法及びプログラム
出願人
国立大学法人 熊本大学
代理人
個人
主分類
A61B
34/10 20160101AFI20251105BHJP(医学または獣医学;衛生学)
要約
【課題】 測定されたデータから焼灼する位置の候補を決定することに適した焼灼位置決定装置等を提供する。
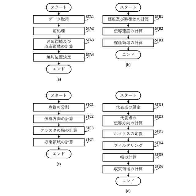
【解決手段】 焼灼位置決定装置1は、心臓において焼灼する位置の候補である焼灼候補位置を決定する。遅延領域処理部11は、興奮の伝導速度が遅延する遅延領域を計算する。収束領域処理部13において、興奮方向計算部31は、心臓において興奮が伝導する興奮伝導路の伝導方向を計算し、幅計算部33は、伝導方向を用いて興奮伝導路の幅を計算し、収束領域計算部35は計算された幅から興奮伝導路が収束する収束領域を計算する。焼灼位置決定処理部17は、遅延領域及び収束領域を用いて焼灼候補位置を決定する。
【選択図】図1
特許請求の範囲
【請求項1】
心臓において焼灼する位置の候補である焼灼候補位置を決定する焼灼位置決定装置であって、
遅延領域処理部と、収束領域処理部と、焼灼位置決定処理部を備え、
前記収束領域処理部は、興奮方向計算部と、幅計算部と、収束領域計算部を備え、
前記遅延領域処理部は、興奮の伝導速度が遅延する遅延領域を計算し、
前記収束領域処理部において、
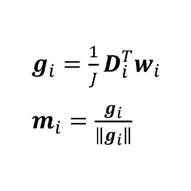
前記興奮方向計算部は、前記心臓において興奮が伝導する興奮伝導路の伝導方向を計算し、
前記幅計算部は、前記伝導方向を用いて前記興奮伝導路の幅を計算し、
前記収束領域計算部は、計算された幅を用いて前記興奮伝導路が収束する収束領域を計算し、
前記焼灼位置決定処理部は、前記遅延領域及び前記収束領域を用いて前記焼灼候補位置を決定する、焼灼位置決定装置。
続きを表示(約 940 文字)
【請求項2】
前記収束領域処理部において、
前記興奮方向計算部は、前記心臓を測定して得られるセンシングデータを複数のクラスタに分割して、各クラスタに対して伝導方向を計算し、
前記幅計算部は、前記各クラスタに対して、前記伝導方向を用いて幅の計算を行う、請求項1記載の焼灼位置決定装置。
【請求項3】
前記収束領域処理部において、
前記興奮方向計算部は、複数の代表点を設定して、各代表点に対して伝導方向を計算し、
前記幅計算部は、前記各代表点に対して幅の計算を行う、請求項1記載の焼灼位置決定装置。
【請求項4】
環状伝導路決定処理部を備え、
前記環状伝導路決定処理部は、頻拍周期が存在する興奮の回路を環状伝導路として決定し、
前記焼灼位置決定処理部は、前記遅延領域、前記収束領域及び前記環状伝導路を用いて前記焼灼候補位置を決定する、請求項1記載の焼灼位置決定装置。
【請求項5】
心臓において焼灼する位置の候補である焼灼候補位置を決定する焼灼位置決定装置における焼灼位置決定方法であって、
前記焼灼位置決定装置は、遅延領域処理部と、収束領域処理部と、焼灼位置決定処理部を備え、
前記収束領域処理部は、興奮方向計算部と、幅計算部と、収束領域計算部を備え、
前記遅延領域処理部及び前記収束領域処理部が、それぞれ、興奮の伝導速度が遅延する遅延領域、及び、興奮伝導路が収束する収束領域を計算する領域計算ステップと、
前記焼灼位置決定処理部が、前記遅延領域及び前記収束領域を用いて前記焼灼候補位置を決定する決定ステップを含み、
前記領域計算ステップにおいて、
前記興奮方向計算部は、前記心臓において興奮が伝導する興奮伝導路の伝導方向を計算し、
前記幅計算部は、前記伝導方向を用いて前記興奮伝導路の幅を計算し、
前記収束領域計算部は、計算された幅を用いて前記興奮伝導路が収束する収束領域を計算する、焼灼位置決定方法。
【請求項6】
コンピュータを、請求項1記載の焼灼位置決定装置として機能させるためのプログラム。
発明の詳細な説明
【技術分野】
【0001】
本発明は、焼灼位置決定装置、焼灼位置決定方法及びプログラムに関し、特に、心臓において焼灼する位置の候補である焼灼候補位置を決定する焼灼位置決定装置等に関する。
続きを表示(約 1,400 文字)
【背景技術】
【0002】
特許文献1に記載されているように、現在、不整脈手術は、治療部位を特定するために、心臓内の電気情報の取得を3次元マッピング上に表示し、その情報を用いて術者が至適治療部位を想像することで行われている。
【先行技術文献】
【特許文献】
【0003】
特開2022-84824号公報
【発明の概要】
【発明が解決しようとする課題】
【0004】
しかしながら、特許文献1記載の技術では、単に測定されたデータを表示するに留まる。心筋障害により複雑化してしまった不整脈回路の存在、もしくは複数種類の不整脈回路の存在といった患者由来の素因、そして術者が経験を積んだ術者であるかそうでないかといった術者由来の素因が絡み合うことにより、治療成績が悪くなることが判明している。
【0005】
現在、システムは、より詳細なマッピング情報を可能とすることで現状を打開するように開発されている。しかし、満足のいく治療成績の向上は未だに得られていない。そのため、治療成績の向上につながる別のアプローチ技術の開発が必要な状況となっている。
【0006】
そこで、本願発明は、測定されたデータから焼灼する位置の候補を決定することに適した焼灼位置決定装置等を提供することを目的とする。
【課題を解決するための手段】
【0007】
本願発明の第1の側面は、心臓において焼灼する位置の候補である焼灼候補位置を決定する焼灼位置決定装置であって、遅延領域処理部と、収束領域処理部と、焼灼位置決定処理部を備え、前記収束領域処理部は、興奮方向計算部と、幅計算部と、収束領域計算部を備え、前記遅延領域処理部は、興奮の伝導速度が遅延する遅延領域を計算し、前記収束領域処理部において、前記興奮方向計算部は、前記心臓において興奮が伝導する興奮伝導路の伝導方向を計算し、前記幅計算部は、前記伝導方向を用いて前記興奮伝導路の幅を計算し、前記収束領域計算部は、計算された幅を用いて前記興奮伝導路が収束する収束領域を計算し、前記焼灼位置決定処理部は、前記遅延領域及び前記収束領域を用いて前記焼灼候補位置を決定する。
【0008】
本願発明の第2の側面は、第1の側面の焼灼位置決定装置であって、前記収束領域処理部において、前記興奮方向計算部は、前記心臓を測定して得られるセンシングデータを複数のクラスタに分割して、前記各クラスタに対して伝導方向を計算し、前記幅計算部は、各クラスタに対して、前記伝導方向を用いて幅の計算を行う。
【0009】
本願発明の第3の側面は、第1又は第2の側面の焼灼位置決定装置であって、前記収束領域処理部において、前記興奮方向計算部は、複数の代表点を設定して、前記各代表点に対して伝導方向を計算し、前記幅計算部は、各代表点に対して幅の計算を行う。
【0010】
本願発明の第4の側面は、第1から第3のいずれかの側面の焼灼位置決定装置であって、環状伝導路決定処理部を備え、前記環状伝導路決定処理部は、頻拍周期が存在する興奮の回路を環状伝導路として決定し、前記焼灼位置決定処理部は、前記遅延領域、前記収束領域及び前記環状伝導路を用いて前記焼灼候補位置を決定する。
(【0011】以降は省略されています)
特許ウォッチbot のツイートを見る
この特許をJ-PlatPat(特許庁公式サイト)で参照する
関連特許
国立大学法人 熊本大学
加工方法及び加工装置
2か月前
国立大学法人 熊本大学
塑性加工金属の製造方法
2か月前
国立大学法人 東京大学
推定装置、及びプログラム
1か月前
国立大学法人 熊本大学
Staple核酸の新規用途
5か月前
国立大学法人 熊本大学
TRPC6の発現を抑制する方法
9か月前
国立大学法人 熊本大学
非アルコール性脂肪性肝疾患治療薬
11か月前
JSCテクノロジー株式会社
冷却装置
9か月前
アンリツ株式会社
光てこ感度の決定方法
8か月前
国立大学法人 熊本大学
チップ型耐熱音響センサ及びその製造方法
5か月前
国立大学法人 熊本大学
拍動分析装置、拍動分析方法及びプログラム
1か月前
国立大学法人 熊本大学
パルス電流発生装置及びパルス電流発生方法
3か月前
国立大学法人 熊本大学
高機能性モルタル組成物及びモルタル硬化体
9か月前
国立大学法人 熊本大学
クリック反応素子AOCN誘導体又はその塩
2か月前
国立大学法人 熊本大学
プログラマブル論理回路装置及びその構成方法
8か月前
国立大学法人 熊本大学
メタボリックメモリーの評価方法及び評価システム
7か月前
国立大学法人 熊本大学
焼灼位置決定装置、焼灼位置決定方法及びプログラム
4日前
国立大学法人 熊本大学
情報処理方法、情報処理装置、機械学習モデルの作成方法
2か月前
国立大学法人 熊本大学
音響センサの取り付け部材及び音響センサの取り付け方法
6か月前
本田技研工業株式会社
正極集電体と正極合材の剥離装置
1か月前
国立大学法人 熊本大学
カイコを用いた糖代謝異常処置剤の評価方法およびその応用
5か月前
大陽日酸株式会社
多孔性金属錯体含有膜及びその製造方法
4か月前
国立大学法人 熊本大学
パルス発生回路、基板処理装置、およびエネルギー回生方法
8か月前
国立大学法人 熊本大学
カイコを用いた脂質代謝異常処置剤の評価方法およびその応用
5か月前
国立大学法人 熊本大学
生体振動情報モニタリング方法及び生体振動情報モニタリング装置
6か月前
国立大学法人 熊本大学
ステント及びその製造方法
7か月前
国立大学法人 熊本大学
固体電解質型ガスセンサ素子及びその製造方法、並びに固体電解質型ガスセンサ
1か月前
三菱電機エンジニアリング株式会社
推論モデル生成装置及び推論モデル生成方法
10か月前
国立大学法人 熊本大学
極小ナノ粒子および極小ナノ粒子溶液
2か月前
国立大学法人 熊本大学
抗原ペプチド、核酸、ベクター、HLA/抗原ペプチド複合体、検出試薬、医薬組成物
6か月前
国立研究開発法人産業技術総合研究所
二次元材料を含むトランジスタとその製造方法
7か月前
積水化学工業株式会社
黒色フィルム用組成物、黒色フィルム及び黒色フィルムの製造方法
2か月前
三菱電機エンジニアリング株式会社
ニューラルネットワーク作成装置およびニューラルネットワーク作成方法
8か月前
国立大学法人 熊本大学
アルツハイマー病予防剤又は治療剤、アルツハイマー病予防用又は治療用組成物、及び方法
1か月前
国立大学法人 熊本大学
GM1ガングリオシドーシス予防剤又は治療剤、及びGM1ガングリオシドーシス予防用又は治療用組成物
10か月前
個人
貼付剤
20日前
個人
簡易担架
2日前
続きを見る
他の特許を見る