TOP
|
特許
|
意匠
|
商標
特許ウォッチ
Twitter
他の特許を見る
公開番号
2025162269
公報種別
公開特許公報(A)
公開日
2025-10-27
出願番号
2024065449
出願日
2024-04-15
発明の名称
安水中の懸濁物質及び油分の除去方法、並びに安水用高分子凝集剤
出願人
日鉄環境株式会社
代理人
個人
,
個人
,
個人
,
個人
主分類
C10B
57/00 20060101AFI20251020BHJP(石油,ガスまたはコークス工業;一酸化炭素を含有する工業ガス;燃料;潤滑剤;でい炭)
要約
【課題】石炭由来の粉体、及びタールを含有する安水に対して、安水の濁度を低減し、かつ、安水中に石炭由来の粉体及びタールを含む凝集体を形成させて沈降させることが可能な安水中の懸濁物質及び油分の除去方法を提供する。
【解決手段】コークス炉ガスを安水で洗浄及び冷却することで発生した、懸濁物質及び油分を含有する安水に、高分子凝集剤を存在させることを含む、安水中の懸濁物質及び油分の除去方法である。前記懸濁物質が、石炭由来の粉体を含み、前記油分が、タールを含む。前記高分子凝集剤のpH4におけるカチオンコロイド当量値が、1.0~3.5meq/gである。
【選択図】なし
特許請求の範囲
【請求項1】
コークス炉ガスを安水で洗浄及び冷却することで発生した、懸濁物質及び油分を含有する安水に、高分子凝集剤を存在させることを含み、
前記懸濁物質が、石炭由来の粉体を含み、
前記油分が、タールを含み、
前記高分子凝集剤のpH4におけるカチオンコロイド当量値が、1.0~3.5meq/gである、安水中の懸濁物質及び油分の除去方法。
続きを表示(約 860 文字)
【請求項2】
前記石炭由来の粉体の個数基準の算術平均径が10μm以下である、請求項1に記載の安水中の懸濁物質及び油分の除去方法。
【請求項3】
前記石炭由来の粉体が、コークスの製造に使用される前に乾燥されて水分量が低減された石炭に由来する粉体を含む、請求項2に記載の安水中の懸濁物質及び油分の除去方法。
【請求項4】
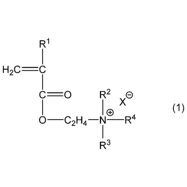
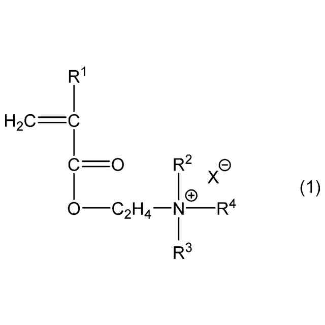
前記高分子凝集剤が、アクリルアミドに由来する構造単位、及び下記一般式(1)で表されるモノマーに由来する構造単位を含む、請求項1に記載の安水中の懸濁物質及び油分の除去方法。
TIFF
2025162269000004.tif
53
170
(前記一般式(1)中のR
1
は、水素原子又はメチル基を表し、R
2
及びR
3
は、それぞれ独立に、メチル基又はエチル基を表し、R
4
は、水素原子、又は芳香族基で置換されていてもよいメチル基若しくはエチル基を表し、Xは前記一般式(1)中のアンモニウムカチオンとの対アニオンを表す。)
【請求項5】
前記高分子凝集剤の重量平均分子量が400万~1000万である、請求項1に記載の安水中の懸濁物質及び油分の除去方法。
【請求項6】
前記コークス炉ガスが、コークスの製造に使用される前に乾燥されて水分量が低減された石炭を含む装入炭をコークス炉で乾留した際に発生するガスである、請求項1に記載の安水中の懸濁物質及び油分の除去方法。
【請求項7】
コークス炉ガスを安水で洗浄及び冷却することで発生した、懸濁物質及び油分を含有する安水中に用いられる高分子凝集剤であって、
前記懸濁物質が、石炭由来の粉体を含み、
前記油分が、タールを含み、
前記高分子凝集剤のpH4におけるカチオンコロイド当量値が、1.0~3.5meq/gである、安水用高分子凝集剤。
発明の詳細な説明
【技術分野】
【0001】
本発明は、安水中の懸濁物質及び油分の除去方法、並びに安水用高分子凝集剤に関する。
続きを表示(約 2,300 文字)
【背景技術】
【0002】
鉄は、鉄鉱石、石炭、及び石灰石を主原料として製造される。製鉄所における鉄の製造は、一般的に、高炉において、焼結鉱とコークスを化学反応させて銑鉄を製造する製銑工程を経て行われている。この製銑工程に先立ち、焼結鉱は、鉄鉱石と石灰石を焼き固めて製造される。また、コークスは、コークス炉において、石炭を乾留(蒸し焼き)して製造される。
【0003】
コークス炉での石炭の乾留時に発生するガス(コークス炉ガス、COG)は、最初にドライメーンと称される配管設備において、コークス炉ガスにアンモニア水(以下、安水と記載する。)を吹きかけるフラッシングによって、約80℃まで冷却される。その後、ガス成分と液体成分で分離させて、ガス成分は、冷却や大気汚染につながる有害物質が除去された後、製鉄所内の各工程でエネルギーとして利用されたり、ガスから硫酸アンモニウムや軽油などの副産物が精製され、販売されたりしている。
【0004】
上記液体成分には、コークス製造時の副生成物であるコールタール(以下、単に「タール」と記載する。)が、コークス炉ガスの冷却時に凝縮し、安水とともに含まれている。液体成分は、タールデカンターに送られ、タールデカンターでは、滞留、沈降分離により、安水層とタール層に分離される。タールデカンターの上層部の安水は、コークス炉ガスの冷却(フラッシング)のために循環されて再利用されている。また、タールデカンターの底部に堆積したタールは、取り出され、固形スラッジ成分が除去された後、製品タールとして出荷されたり、石炭の造粒工程に再利用されたりしている。そのため、これまでに、安水とタールとを効率よく分離するための種々の検討が行われている。
【0005】
例えば特許文献1には、コークス炉から発生したタールをタールデカンターでタールと安水に分離する際に、タールデカンター内に親油性の乳化破壊剤を添加するコークス炉における安水中の滓除去方法が開示されている。また、例えば特許文献2には、窒素原子数7~200を有するポリアルキレンイミンに対しアルキレンオキシドを付加してなる平均分子量200~600,000のポリエーテル化合物である非イオン性界面活性剤を含有してなる石炭タール水分離用乳化破壊剤が記載されている。
【先行技術文献】
【特許文献】
【0006】
特開2000-198986号公報
特開2000-230177号公報
【発明の概要】
【発明が解決しようとする課題】
【0007】
上述したタールデカンターにおいて、安水とタールの分離が不十分となり、安水とタールの混合層(エマルジョン)が形成されることがある。安水とタールの混合層が形成されると、フラッシングのために循環される安水(循環安水)中にタールが混じることとなって、循環安水中の油分や固形分の上昇によるフラッシングノズルの閉塞等の設備の汚染につながる。また、タールデカンターにおける安水層とタール層の分離が不十分となることから、タール層の水分の上昇につながる。そのため、特許文献1及び2に開示された技術のように、安水及びタールを含むエマルジョンを破壊したり、その生成を抑制したりすることが可能な技術が求められている。
【0008】
一方、近年、石炭資源の有効活用、コークス品質の向上、コークスの生産性向上、省エネルギー効果の向上、及び環境対応力向上等を目的として、コークスの製造に使用する石炭を事前に乾燥させて水分量を低減させたものを使用する事例が増えている。原料ヤードに貯蓄された石炭の水分量は通常8~10質量%程度であるが、事前に石炭を乾燥させ、粗粒炭と微粉炭に分級後、微粉炭を塊成化させて水分量を0~4質量%程度に調製したもの(例えば後述するDAPS炭やSCOPE炭)がその一例である。
【0009】
コークスの製造に使用される石炭の水分量が5質量%以下程度になると、石炭の粒子表面に付着した微粉炭により発塵しやすくなり、塊成化処理を施しても、発塵を完全に防ぐことは困難である。そのため、コークスの製造過程で微粉炭の粉塵が存在することにより、コークス炉ガス中に、石炭(微粉炭)の粉塵及び/又はコークスの粉塵が紛れ込みやすくなる。その結果、コークス炉ガスを安水で洗浄及び冷却することで発生した安水中には、石炭の粉体及び/又はコークスの粉体(以下、これらの粉体をまとめて「石炭由来の粉体」と記載する。)並びにタールが含有されることとなり、タールデカンターにおいては、安水及びタールを含有するエマルジョン中に石炭由来の粉体が混合することになる。石炭由来の粉体、タール、及び安水からなるエマルジョンが生成すると、上述の特許文献1及び2で開示された技術のような乳化破壊剤を添加したとしても、石炭由来の粉体は微細なものが多いことから、安水中に分散して残り、安水の濁りの原因となり、安水の濁度を低減し難い。
【0010】
そこで本発明は、石炭由来の粉体、及びタールを含有する安水に対して、安水の濁度を低減し、かつ、安水中に石炭由来の粉体及びタールを含む凝集体を形成させて沈降させることが可能な安水中の懸濁物質及び油分の除去方法を提供しようとするものである。
【課題を解決するための手段】
(【0011】以降は省略されています)
この特許をJ-PlatPat(特許庁公式サイト)で参照する
関連特許
日鉄環境株式会社
止水治具及び止水工法
12日前
日鉄環境株式会社
安水中の懸濁物質及び油分の除去方法、並びに安水用高分子凝集剤
23日前
合同会社双晶
製炭方法
1か月前
個人
液体化石燃料の改質方法
5日前
三洋化成工業株式会社
導電剤及び潤滑剤組成物
21日前
株式会社ニッペコ
潤滑組成物
13日前
ENEOS株式会社
グリース組成物
23日前
日本製鉄株式会社
コークスの粉化量予測方法
21日前
株式会社ダイゾー
グリース組成物
29日前
三菱重工業株式会社
炉壁及びガス化炉並びに炉壁の製造方法
29日前
旭化成株式会社
炭素数6~8の炭化水素含有留分の製造方法
20日前
三菱重工業株式会社
燃料製造システム、及び燃料製造方法
15日前
ENEOS株式会社
グリース組成物
15日前
コスモ石油株式会社
ガソリン組成物およびガソリン組成物の製造方法
1か月前
コスモ石油株式会社
ガソリン組成物およびガソリン組成物の製造方法
1か月前
株式会社シーヴイテック
合成燃料製造方法及び合成燃料製造装置
15日前
日鉄環境株式会社
安水中の懸濁物質及び油分の除去方法、並びに安水用高分子凝集剤
23日前
株式会社ブリヂストン
熱分解油、エラストマー、ゴム製品、及び樹脂製品
14日前
株式会社ブリヂストン
熱分解油、エラストマー、ゴム製品、及び樹脂製品
14日前
株式会社ブリヂストン
熱分解油、エラストマー、ゴム製品、及び樹脂製品
14日前
株式会社デンソー
摺動機構
12日前
株式会社デンソー
摺動機構
12日前
個人
加熱処理装置および高炭化物の製造方法
5日前
日新電機株式会社
油入電気機器用の電気絶縁油基油、これを含有する電気絶縁油及び油入電気機器
26日前
ENEOS株式会社
冷凍機油及び冷凍機用作動流体組成物
1か月前
個人
添加剤、添加剤の製造方法、添加剤含有潤滑油および添加剤含有潤滑油の製造方法。
7日前
アフトン・ケミカル・コーポレーション
ギア流体及び湿式ブレーキ用潤滑組成物
13日前
株式会社レゾナック
石油系ピッチの製造方法及び石油系ピッチ
28日前
アフトン・ケミカル・コーポレーション
向上した燃費のための潤滑組成物
1か月前
ペトロリアム ナショナル ブルハド (ペトロナス)
摩擦及び摩耗低減添加剤
14日前
シェブロン・オロナイト・テクノロジー・ビー.ブイ.
ハイブリッド車用の潤滑油組成物
28日前
アネロテック・インコーポレイテッド
プラスチックの流動床触媒熱分解プロセスにおける触媒及びガスから充填剤を分離する高効率プロセス
1日前
サンデン株式会社
車両用空気調和装置
20日前
ザ ペン ステイト リサーチ ファンデーション
抗癌療法としての正常細胞および腫瘍細胞の小分子TRAIL遺伝子誘導
1か月前
アプライド マテリアルズ インコーポレイテッド
メサを伴う静電チャック
14日前
キヤノン株式会社
情報処理装置、情報処理装置の制御方法、プログラム及び記憶媒体
20日前
続きを見る
他の特許を見る