TOP
|
特許
|
意匠
|
商標
特許ウォッチ
Twitter
他の特許を見る
10個以上の画像は省略されています。
公開番号
2025160441
公報種別
公開特許公報(A)
公開日
2025-10-22
出願番号
2025129362,2022521198
出願日
2025-08-01,2020-10-09
発明の名称
眼障害を処置する方法
出願人
コディアック サイエンシーズ インコーポレイテッド
,
Kodiak Sciences Inc.
代理人
弁理士法人秀和特許事務所
主分類
A61K
39/395 20060101AFI20251015BHJP(医学または獣医学;衛生学)
要約
【課題】眼障害を処置する方法を提供することを課題とする。
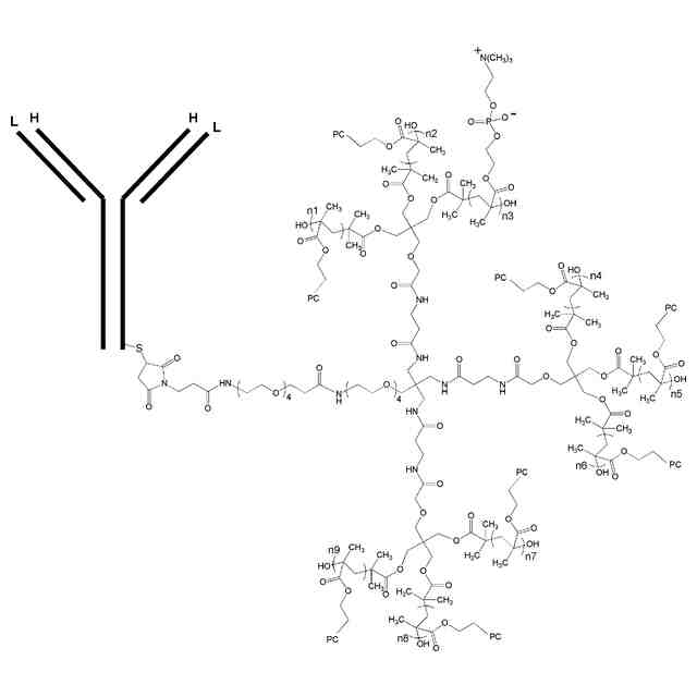
【解決手段】抗VEGF抗体および/またはコンジュゲートを、眼障害を有する対象に投与することにより眼障害を処置する方法が本明細書において提供される。本開示の抗VEGF抗体は、対象に投与された場合の抗体の半減期/有効性/特性を拡大させるポリマー部分を含む抗VEGF抗体コンジュゲートであってもよい。本開示の方法は、抗VEGF抗体コンジュゲートの1回または複数回の用量を、眼障害の処置を必要とする対象(例えば、ヒトまたは他の哺乳動物患者)に投与することを含み、抗VEGF抗体コンジュゲートは、眼障害を処置するために、標準的な抗VEGF治療よりも低い頻度で投与されてもよい。
【選択図】図42
特許請求の範囲
【請求項1】
眼障害を処置する方法であって、
抗VEGF抗体コンジュゲートを、眼障害の処置を必要とする対象に第1の負荷用量において投与すること;および
前記負荷用量を少なくとも1回かつ2回以下で繰り返すこと
を含み、
それにより、前記対象が、前記抗VEGF抗体コンジュゲート治療の治療結果を最終負荷用量後に少なくとも12週間保持する、
方法。
続きを表示(約 880 文字)
【請求項2】
前記眼障害が、糖尿病黄斑浮腫(DME)、網膜静脈閉塞症(RVO)、滲出型加齢黄斑変性症(AMD)、および糖尿病網膜症(DR)のうちの少なくとも1つである、請求項1に記載の方法。
【請求項3】
前記眼障害がDMEまたはRVOのいずれかである、請求項1~2のいずれか1項に記載の方法。
【請求項4】
網膜静脈閉塞症(RVO)を処置する方法であって、
抗VEGF抗体コンジュゲートを、RVOを有する対象に第1の負荷用量において投与すること;および
前記負荷用量を1回繰り返すこと
を含み;
それにより、前記対象が、前記抗VEGF抗体コンジュゲート治療の治療結果を最終負荷用量後に少なくとも8週間保持する、
方法。
【請求項5】
前記抗VEGF抗体コンジュゲート治療の前記治療結果が、最終負荷用量後に少なくとも14週間続く、請求項1~4のいずれか1項に記載の方法。
【請求項6】
前記抗VEGF抗体コンジュゲート治療の前記治療結果が、最終負荷用量後に少なくとも20週間続く、請求項1~4のいずれか1項に記載の方法。
【請求項7】
前記抗VEGF抗体コンジュゲートのさらなる投与が、前記対象に最終負荷用量の4週以内に提供されない、請求項1~6のいずれか1項に記載の方法。
【請求項8】
前記抗VEGF抗体コンジュゲートのさらなる投与が、前記対象に最終負荷用量の10週以内に提供されない、請求項1~7のいずれか1項に記載の方法。
【請求項9】
前記抗VEGF抗体コンジュゲートのさらなる投与が、前記対象に最終負荷用量の14週以内に提供されない、請求項1~8のいずれか1項に記載の方法。
【請求項10】
前記抗VEGF抗体コンジュゲートのさらなる投与が、前記対象に最終負荷用量の20週以内に提供されない、請求項1~8のいずれか1項に記載の方法。
(【請求項11】以降は省略されています)
発明の詳細な説明
【技術分野】
【0001】
関連出願の相互参照
本出願は、2019年10月10日に出願された米国仮出願第62/913567号;2019年11月14日に出願された同第62/935434号;および2020年2月7日に出願された同第62/971738号に対する優先権を主張し、これらの仮出願の各々は参照により全体が本明細書に組み込まれる。
続きを表示(約 10,000 文字)
【0002】
配列表
本出願は、電子フォーマットの配列表と共に提出される。配列表は、2020年10月9日に作成された20,609バイトのサイズのSEQLIST_KDIAK102WO.txtという名称のファイルとして提供される。配列表の電子フォーマット中の情報は参照により全体が本明細書に組み込まれる。
【0003】
分野
本開示は、抗体およびそのコンジュゲート、ならびに前記抗体、そのコンジュゲート、および他のタンパク質コンジュゲートを使用および製造する方法に関する。
【背景技術】
【0004】
背景
血管内皮増殖因子(VEGF)は、血管内皮細胞の増殖を刺激し、血管透過性を誘導する。これらの生物学的活性は、正常および病的の両方の状態において、血管新生における中心的役割をVEGFに与える。VEGFの不適切な過剰発現は、網膜血管疾患、例えば糖尿病網膜症(DR)、糖尿病黄斑浮腫(DME)、滲出型加齢黄斑変性症(wAMD)、および網膜静脈閉塞症(RVO)において鍵となる役割を果たしている。追加的に、網膜VEGF発現の増加が、網膜虚血性疾患を有する患者において実証されている。不適切なVEGF活性の阻害はこれらの疾患の処置に対する「抗血管新生」アプローチであり、これらの網膜血管疾患を有する患者における視力の保存および改善の有効な方法となっている。
【0005】
硝子体内抗血管新生治療は現在、DME、wAMD、およびRVOに起因する黄斑浮腫に対する主要な処置である。しかしながら、治療用VEGF-A阻害剤、例えば硝子体内アフリベルセプトおよび硝子体内ラニビズマブを用いるこれらの眼障害の標準的な処置は、眼障害に依存して、月毎または8週毎(初期の月毎の負荷用量の後)の投薬を伴う。そのため、現実世界のアウトカムは、評価および処置のための網膜専門医への月毎の来診に関係する負担のため、期待に達していない。より少ないかつ/またはより低い頻度の硝子体内注射で治療結果を達成するための医学的必要性が存在する。
【先行技術文献】
【特許文献】
【0006】
米国特許第5,530,101号明細書
米国特許第5,585,089号明細書
米国特許第5,225,539号明細書
米国特許第6,407,213号明細書
米国特許第5,859,205号明細書
米国特許第6,881,557号明細書
米国特許第4,634,664号明細書
米国特許第4,634,666号明細書
国際公開第93/12227号
米国特許第5,877,397号明細書
米国特許第5,874,299号明細書
米国特許第5,814,318号明細書
米国特許第5,789,650号明細書
米国特許第5,770,429号明細書
米国特許第5,661,016号明細書
米国特許第5,633,425号明細書
米国特許第5,625,126号明細書
米国特許第5,569,825号明細書
米国特許第5,545,806号明細書
国際公開第91/10741号
国際公開第91/17271号
国際公開第92/01047号
米国特許第5,877,218号明細書
米国特許第5,871,907号明細書
米国特許第5,858,657号明細書
米国特許第5,837,242号明細書
米国特許第5,733,743号明細書
米国特許第5,565,332号明細書
国際公開第2013/059137号
米国特許出願公開第2017/0190766号明細書
国際公開第2004/020405号
国際公開第2008/155134号
国際公開第2013/093809号
米国特許第7,521,541号明細書
国際公開第2008/020827号
米国特許第8,008,453号明細書
米国特許第8,455,622号明細書
米国特許出願公開第2012/0213705号明細書
米国特許出願第2015/0158952号明細書
国際公開第2009/052249号
米国特許第7,893,173号明細書
米国特許第4,892,538号明細書
米国特許第5,283,187号明細書
国際公開第93/25673号
米国特許第5,681,746号明細書
国際公開第2017117464号
【非特許文献】
【0007】
Houston JS.1991.Methods in Enzymol.203:46-96
Fundamental Immunology(Paul,W.,ed.,2nd ed.Raven Press,N.Y.,1989),Ch.7
Songsivilai S,Lachmann PC.1990.Bispecific antibody:a tool for diagnosis and treatment of disease.Clin Exp Immunol.79:315-321
Kostelny SA, Cole MS, Tso JY. 1992.Formation of bispecific antibody by the use of leucine zippers.J Immunol.148:1547-1553
Kabat EA, et al.1987
Kabat EA, et al.1991.Sequences of Proteins of Immunological Interest(National Institutes of Health,Bethesda,MD)
Chothia C,Lesk AM.1987.Canonical Structures for the Hypervariable Regions of Immunoglobulins.J Mol Biol 196:901-917
Chothia C,et al.1989.Conformations of Immunoglobulin Hypervariable Regions.Nature 342:877-883
Epitope Mapping Protocols, in Methods in Molecular Biology,Vol.66,Glenn E.Morris,Ed.(1996)
Junghans et al.,Cancer Res.50:1495,1990
De Pascalis R,Iwahashi M,Tamura M,et al.2002.Grafting “Abbreviated” Complementary-Determining Regions Containing Specificity-Determining Residues Essential for Ligand Contact to Engineer a Less Immunogenic Humanized Monoclonal Antibody.J Immunol.169:3076-3084
Vajdos FF,Adams CW,Breece TN,Presta LG,de Vos AM,Sidhu,SS.2002.Comprehensive functional maps of the antigen-binding site of an anti-ErbB2 antibody obtained with shotgun scanning mutagenesis.J Mol Biol.320:415-428
Iwahashi M,Milenic DE,Padlan EA,et al.1999.CDR substitutions of a humanized monoclonal antibody (CC49):Contributions of individual CDRs to antigen binding and immunogenicity.Mol Immunol.36:1079-1091
Tamura M,Milenic DE,Iwahashi M,et al.2000.Structural correlates of an anticarcinoma antibody:Identification of specificity-determining regions (SDRs) and development of a minimally immunogenic antibody variant by retention of SDRs only. J Immunol.164:1432-1441
Padlan EA.1991.A possible procedure for reducing the immunogenicity of antibody variable domains while preserving their ligand-binding properties.Mol Immunol.28:489-98
Ostberg L,Pursch E. 1983.Human x (mouse x human) hybridomas stably producing human antibodies.Hybridoma 2:361-367
Nature 148, 1547-1553 (1994)
Nature Biotechnology 14,826 (1996)
Greene et al.,“Protective Groups In Organic Synthesis,” 3rd Edition, John Wiley and Sons,Inc.,New York,1999
CovanceStudy 8376321、Park 2016Ferrara et al, (2003) Nat. Med. 9:669-676
Ferrara et al, (2003) Nat. Med. 9:669-676
Ferrara N, Hillan KJ, Gerber HP, Novotny W. 2004. Discovery and development of bevacizumab, an anti-VEGF antibody for treating cancer. Nat Rev Drug Discov. 3(5):391-400
Capon DJ,Chamow SM,Mordenti J,et al.Designing CD4 immunoadhesions for AIDS therapy.Nature.1989.337:525-31
Yeh P,Landais D,Lemaitre M,et al.Design of yeast-secreted albumin derivatives for human therapy:biological and antiviral properties of a serum albumin-CD4 genetic conjugate. Proc Natl Acad Sci USA.1992.89:1904-08
Fares FA, Suganuma N. Nishimori K, et al. Design of a long-acting follitropin agonist by fusing the C-terminal sequence of the chorionic gonadotropin beta subunit to the follitropin beta subunit. Proc Natl Acad Sci USA. 1992. 89:4304-08
Schellenberger V, Wang CW, Geething NC, et al. A recombinant polypeptide extends the in vivo half-life of peptides and proteins in a tunable manner. Nat Biotechnol. 2009. 27:1186-90
MCpherson DT, Morrow C, Minehan DS, et al. Production and purification of a recombinant elastomeric polypeptide, G(VPGVG19-VPGV, from Escheriachia coli. Biotechnol Prog. 1992. 8:347-52
Schlapschy M, Theobald I, Mack H, et al. Fusion of a recombinant antibody fragment with a homo-amino acid polymer: effects on biophysical properties and prolonged plasma half-life. Protein Eng Des Sel. 2007. 20:273-84
Huang Y-S, Wen X-F, Zaro JL, et al. Engineering a pharmacologically superior form of granulocyte-colony-stimulating-factor by fusion with gelatin-like protein polymer. Eur J. Pharm Biopharm. 2010. 72:435-41
Tonkinison et al., Cancer Investigation, 14(1): 54-65 (1996)
Wu et al., J. Biol. Chem .,262: 4429-4432 (1987)
Wagner et al., Proc. Natl. Acad. Sci. USA, 87: 3410-3414(1990)
Anderson et al., Science, 256: 808-813 (1992)
Intraocular Drug Delivery, Jaffe, Ashton, and Pearson, editors, Taylor & Francis (March 2006)
Peptide and Protein Drug Delivery, 247-301 (Vincent Lee ed., New York, N.Y., 1991)
Jones, 1993 Adv. Drug Delivery Rev. 10: 29-90
Raetz CR, Ulevitch RJ, Wright SD, Sibley CH, Ding A, Nathan CF. 1991. Gram-negative endotoxin: an extraordinary lipid with profound effects on eukaryotic signal transduction. FASEB J. 5(12):2652-2660
Petsch D, Anspach F. 2000. Endotoxin removal from protein solutions. J Biotechnol. 76: 97-119
Ogikubo Y, Ogikubo Y, Norimatsu M, Noda K, Takahashi J, Inotsume M, Tsuchiya M, Tamura Y. 2004. Evaluation of the bacterial endotoxin test for quantifications of endotoxin contamination of porcine vaccines. Biologics 32:88-93
Fiske JM, Ross A, VanDerMeid RK, McMichael JC, Arumugham. 2001. Method for reducing endotoxin in Moraxella catarrhalis UspA2 protein preparations. J Chrom B. 753:269-278
Daneshiam M, Guenther A, Wendel A, Hartung T, Von Aulock S. 2006. In vitro pyrogen test for toxic or immunomodulatory drugs. J Immunol Method 313:169-175
Hirayama C, Sakata M. 2002. Chromatographic removal of endotoxin from protein solutions by polymer particles. J Chrom B 781:419-432
Berthold W, Walter J. 1994. Protein Purification: Aspects of Processes for Pharmaceutical Products. Biologicals 22:135-150; Petsch D, Anspach FB. 2000. Endotoxin removal from protein solutions. J Biotech 76:97-119
Rycroft BW. 1945. Penicillin and the control of deep intra-ocular infection. British J Ophthalmol 29 (2): 57-87
Christy NE, Sommer A. 1979. Antibiotic prophylaxis of postoperative endophthalmitis. Ann Ophthalmol 11 (8): 1261-1265
Marticorena J, Romano V, Gomez-Ulla F. 2012 “Sterile Endophthalmitis after Intravitreal Injections” Med Inflam. 928123
Hoffman S, et al. 2005. International validation of novel pyrogen tests based on human monocytoid cells J. Immunol. Methods 298:161-173; Ding JL, Ho BA. 2001. New era in pyrogen testing. Biotech. 19:277-281
Ong KG, Lelan JM, Zeng KF, Barrett G, Aourob M, Grimes CA. 2006. A rapid highly-sensitive endotoxin detection system. Biosensors and Bioelectronics 21:2270-2274
Haishima Y, Hasegawa C, Yagami T, Tsuchiya T, Matsuda R, Hayashi Y. 2003. Estimation of uncertainty in kinetic-colorimetric assay of bacterial endotoxins. J Pharm Biomed Analysis. 32:495-503
Gaudrealt et al (2007) IOVS 46(2) 726
Gaudrealt et al (2007) Retina 27(9) 1260
Bakri et al (2007) Ophthalmol 114(12) 2179
Yeung et al 2010 Cancer Research
Do DV,Angiogenesis 2019;Patel et al.,ARVO 2019.
【発明の概要】
【0008】
要旨
抗VEGF抗体または抗VEGFタンパク質を、眼障害を有する対象に投与することにより眼障害を処置する方法が本明細書において提供される。本開示の抗VEGF抗体は、対象に投与された場合に抗体またはタンパク質の半減期(例えば、眼内半減期など)を延長させるポリマー部分を含む抗VEGF抗体コンジュゲート(例えば、KSI-301)、または抗VEGFタンパク質コンジュゲートであってもよい。本開示の方法は、対象において抗VEGF治療の治療効果を達成するために従来の抗VEGF治療よりも少ない抗VEGF抗体コンジュゲートまたは抗VEGFタンパク質コンジュゲートの用量(例えば、より低い頻度の投与)を含む眼障害に対する処置の過程を提供し得る。
【0009】
眼障害を処置する方法であって、抗VEGF抗体コンジュゲート(例えば、KSI-301)、または抗VEGFタンパク質コンジュゲート(例えば、アフリベルセプトバイオポリマーコンジュゲート)を、眼障害の処置を必要とする対象に第1の負荷用量において投与すること;および負荷用量を少なくとも1回かつ2回以下で繰り返すことを含み;それにより、対象が、抗VEGF抗体コンジュゲート、例えば、KSI-301、治療の治療結果を最終負荷用量後に少なくとも12週間保持する、方法が本明細書において提供される。任意選択的に、眼障害は、糖尿病黄斑浮腫(DME)、網膜静脈閉塞症(RVO)、滲出型加齢黄斑変性症(AMD)、および糖尿病網膜症(DR)のうちの少なくとも1つである。一部の実施形態において、眼障害はDMEまたはRVOのいずれかである。
【0010】
網膜静脈閉塞症(RVO)を処置する方法であって、抗VEGF抗体コンジュゲート(例えば、KSI-301)、または抗VEGFタンパク質コンジュゲート(例えば、アフリベルセプトバイオポリマーコンジュゲート)を、RVOを有する対象に第1の負荷用量において投与すること;および負荷用量を1回繰り返すことを含み;それにより、対象が、抗VEGF抗体コンジュゲート、例えば、KSI-301、治療の治療結果を最終負荷用量後に少なくとも8週間保持する、方法もまた本明細書において提供される。
(【0011】以降は省略されています)
この特許をJ-PlatPat(特許庁公式サイト)で参照する
関連特許
個人
貼付剤
9日前
個人
短下肢装具
3か月前
個人
嚥下鍛錬装置
4か月前
個人
洗井間専家。
7か月前
個人
排尿補助器具
22日前
個人
前腕誘導装置
3か月前
個人
白内障治療法
7か月前
個人
胸骨圧迫補助具
2か月前
個人
汚れ防止シート
1か月前
個人
アイマスク装置
2か月前
個人
歯の修復用材料
4か月前
個人
ウォート指圧法
20日前
個人
ホバーアイロン
7か月前
個人
バッグ式オムツ
4か月前
個人
矯正椅子
5か月前
個人
腰ベルト
12日前
個人
シャンプー
6か月前
個人
陣痛緩和具
4か月前
三生医薬株式会社
錠剤
7か月前
個人
湿布連続貼り機。
2か月前
個人
車椅子持ち上げ器
7か月前
個人
歯の保護用シール
5か月前
個人
哺乳瓶冷まし容器
3か月前
個人
美容セット
今日
個人
治療用酸化防御装置
1か月前
個人
服薬支援装置
7か月前
株式会社結心
手袋
8か月前
株式会社大野
骨壷
4か月前
個人
エア誘導コルセット
2か月前
株式会社コーセー
化粧料
19日前
個人
性行為補助具
3か月前
株式会社八光
剥離吸引管
5か月前
個人
手指運動ツール
2か月前
個人
歯列矯正用器具
8か月前
個人
シリンダ式歩行補助具
3か月前
株式会社ニデック
眼科装置
26日前
続きを見る
他の特許を見る