TOP
|
特許
|
意匠
|
商標
特許ウォッチ
Twitter
他の特許を見る
10個以上の画像は省略されています。
公開番号
2025155825
公報種別
公開特許公報(A)
公開日
2025-10-14
出願番号
2025006057
出願日
2025-01-16
発明の名称
感度向上デバイス
出願人
国立大学法人岩手大学
代理人
個人
,
個人
主分類
A61H
1/00 20060101AFI20251002BHJP(医学または獣医学;衛生学)
要約
【課題】確率共鳴又は確率共振と呼ばれる現象を用いて、口腔又は咽頭の感覚機能を向上させる感度向上デバイスを提供すること。
【解決手段】本発明の感度向上デバイスは、ノイズ振動を発生させるアクチュエータ14を備え、ノイズ振動を、生体の頭頸部皮膚上又は舌に与えることで、確率共鳴又は確率共振と呼ばれる現象を用いて口腔又は咽頭の感覚機能を向上させる。更に、ノイズ振動の振動強度を設定する閾値設定手段20を備え、閾値設定手段20では、装着者に異なる振動強度を与え、装着者に、ノイズ振動を感じはじめた刺激有振動強度と、ノイズ振動を感じなくなった刺激無振動強度を入力させ、入力された刺激有振動強度と刺激無振動強度とから装着者の固有閾値を設定する。
【選択図】 図1
特許請求の範囲
【請求項1】
確率共鳴又は確率共振と呼ばれる現象を用いて、口腔又は咽頭の感覚機能を向上させる感度向上デバイスであって、
ノイズ振動を発生させるアクチュエータを備え、
前記ノイズ振動を、生体の頭頸部皮膚上又は舌に与える
ことを特徴とする感度向上デバイス。
続きを表示(約 600 文字)
【請求項2】
前記ノイズ振動を、前記生体の顎下部皮膚上から与える
ことを特徴とする請求項1に記載の感度向上デバイス。
【請求項3】
前記ノイズ振動を、前記生体の舌骨上筋群上から与える
ことを特徴とする請求項1に記載の感度向上デバイス。
【請求項4】
前記ノイズ振動の振動強度を設定する閾値設定手段を備え、
前記閾値設定手段では、
装着者に異なる前記振動強度を与え、
前記装着者に、前記ノイズ振動を感じはじめた刺激有振動強度と、前記ノイズ振動を感じなくなった刺激無振動強度を入力させ、
入力された前記刺激有振動強度と前記刺激無振動強度とから前記装着者の固有閾値を設定する
ことを特徴とする請求項1に記載の感度向上デバイス。
【請求項5】
前記ノイズ振動として、すべての振動周波数における前記振動強度が同程度となるホワイトノイズ振動を用いた
ことを特徴とする請求項1に記載の感度向上デバイス。
【請求項6】
前記ホワイトノイズ振動の振動周波数帯域を、350Hz以下の範囲内とした
ことを特徴とする請求項5に記載の感度向上デバイス。
【請求項7】
前記舌における触覚感度を高める
ことを特徴とする請求項1に記載の感度向上デバイス。
発明の詳細な説明
【技術分野】
【0001】
本発明は、確率共鳴又は確率共振と呼ばれる現象を用いて、口腔又は咽頭の感覚機能を向上させる感度向上デバイスに関する。
続きを表示(約 2,800 文字)
【背景技術】
【0002】
入念な口腔ケアには、口腔内の感覚機能の改善とともに、嚥下反射や咳嗽反射の誘発閾値を低下させ、誤嚥防御能を高める効果がある。しかし、時間・人手不足が深刻化する看護・介護現場において、口腔ケアを毎食前に実施できる施設は一握りである。
舌の感覚機能は、発話等の構音機能だけでなく、口腔内に取り込んだ食物の物性・形状・位置の認知、咀嚼や食塊形成、食塊の咽頭への送り込み等の摂食嚥下機能において重要となる。舌の前方2/3は食物の物性・形状等の知覚に関わる舌神経、後方1/3は嚥下反射惹起に関わる咽頭部と同じ舌咽神経が支配しており、舌の感覚機能向上は誤嚥防御能向上にも直結する。嚥下時には食塊の咽頭への送り込みにも関与するため、加齢や疾患に伴う感覚機能の低下は、誤嚥や窒息のリスクを高める要因となる。そのため、舌の触覚感度を向上させ、食物の認知、咽頭への送り込み機能を改善させることが誤嚥・窒息の抑制に有効だと考えられる。しかしながら、感覚機能を回復、向上させる治療方法、訓練方法は十分に確立されていない。
そのような背景の中、ヒトの感覚機能を即時に向上させることのできる確率共鳴現象(Stochastic Resonance:SR)(確率共振現象)が注目されている。SRとは、微弱なノイズ振動の印加によりシステムの応答性能が向上し、システムの検出閾値以下の信号を検出可能になる現象である。人の皮膚の感覚機能においても適切なノイズ振動の印加により同様の現象が起こることが確認されており、例えば、機械受容器の感覚閾値以下の微弱ノイズ振動を指の側面もしくは遠位の手首に加えるだけで、普段知覚できない微弱信号を指先で検知可能になることが報告されている。
非特許文献1は、指の側面や手首にホワイトノイズ振動を加えることで、指先の触覚感度が向上する確率共鳴現象を報告している。
特許文献1は、被験者の感覚、反射、および/または運動の機構を、聴覚、触覚、または視覚の刺激を介して改善するための方法およびシステムを開示している。
【先行技術文献】
【特許文献】
【0003】
特許第5311229号公報
【非特許文献】
【0004】
横山哲大、橋本悠希、“感覚神経活動電位の波及が手指触覚感度に与える影響”、日本バーチャルリアリティ学会論文誌、Vol.27、No.3、2022年、p.173-200
【発明の概要】
【発明が解決しようとする課題】
【0005】
非特許文献1や特許文献1に開示されているように、指のような皮膚・筋・骨格で構成される部位へのSRの効果は検証されているが、食塊の形成や咽頭への送り込みに重要な舌等の口腔感覚や嚥下反射惹起およびそれに伴う気道閉鎖に重要な咽頭感覚に対しても同様の効果が発現されるのかは明らかにされていない。
【0006】
本発明は、確率共鳴又は確率共振と呼ばれる現象を用いて、口腔又は咽頭の感覚機能を向上させる感度向上デバイスを提供することを目的とする。
【課題を解決するための手段】
【0007】
請求項1記載の本発明の感度向上デバイスは、確率共鳴又は確率共振と呼ばれる現象を用いて、口腔又は咽頭の感覚機能を向上させる感度向上デバイスであって、ノイズ振動を発生させるアクチュエータ14を備え、前記ノイズ振動を、生体の頭頸部皮膚上又は舌に与えることを特徴とする。
請求項2記載の本発明は、請求項1に記載の感度向上デバイスにおいて、前記ノイズ振動を、前記生体の顎下部皮膚上から与えることを特徴とする。
請求項3記載の本発明は、請求項1に記載の感度向上デバイスにおいて、前記ノイズ振動を、前記舌の真下に位置する前記生体の舌骨上筋群上から与えることを特徴とする。
請求項4記載の本発明は、請求項1に記載の感度向上デバイスにおいて、前記ノイズ振動の振動強度を設定する閾値設定手段20を備え、前記閾値設定手段20では、装着者に異なる前記振動強度を与え、前記装着者に、前記ノイズ振動を感じはじめた刺激有振動強度と、前記ノイズ振動を感じなくなった刺激無振動強度を入力させ、入力された前記刺激有振動強度と前記刺激無振動強度とから前記装着者の固有閾値を設定することを特徴とする。
請求項5記載の本発明は、請求項1に記載の感度向上デバイスにおいて、前記ノイズ振動として、すべての振動周波数における前記振動強度が同程度となるホワイトノイズ振動を用いたことを特徴とする。
請求項6記載の本発明は、請求項1に記載の感度向上デバイスにおいて、前記ホワイトノイズ振動の振動周波数帯域を、350Hz以下の範囲内としたことを特徴とする。
請求項7記載の本発明は、請求項1に記載の感度向上デバイスにおいて、前記舌における触覚感度を高めることを特徴とする。
【発明の効果】
【0008】
本発明によれば、ノイズ振動を、生体の頭頸部皮膚上又は舌に与えることで、口腔又は咽頭の感覚機能を向上させることができる。
【図面の簡単な説明】
【0009】
本発明の一実施例における感度向上デバイスの構成図
本実施例における感度向上デバイスの装着イメージを示す図
本実施例における感度向上デバイスのノイズ振動生成方法を示す図
本実施例における感度向上デバイスの閾値設定方法を示す図
触覚感度の測定を示す図
確率共鳴現象(SR)用治具の概要を示す図
感度検査用治具の概要を示す図
検証1における実験環境の概要を示す図
検証1における実験結果を示す図
検証2における実験環境の概要を示す図
検証2における実験結果を示す図
検証3及び検証4における感度向上デバイスの装着位置を示すイメージ図
検証3における静的検査の方法を示す説明図
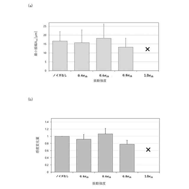
検証3における実験結果を示す図
検証3の効果に対する考察を説明する図
検証4における動的検査の方法を示す説明図
検証4における動的検査の方法を示す説明図
検証4における実験結果を示す図
検証4の効果に対する考察を説明する図
舌骨上筋群の構造を示す図
【発明を実施するための形態】
【0010】
本発明の第1の実施の形態による感度向上デバイスは、ノイズ振動を発生させるアクチュエータを備え、ノイズ振動を、生体の頭頸部皮膚上又は舌に与えるものである。本実施の形態によれば、ノイズ振動を、生体の頭頸部皮膚上又は舌に与えることで、口腔又は咽頭の感覚機能を向上させることができる。
(【0011】以降は省略されています)
この特許をJ-PlatPat(特許庁公式サイト)で参照する
関連特許
個人
貼付剤
1か月前
個人
簡易担架
24日前
個人
腋臭防止剤
24日前
個人
足踏み器具
1か月前
個人
短下肢装具
4か月前
個人
嚥下鍛錬装置
5か月前
個人
前腕誘導装置
4か月前
個人
排尿補助器具
1か月前
個人
アイマスク装置
3か月前
個人
ウォート指圧法
1か月前
個人
歯の修復用材料
5か月前
個人
水分吸収性物品
3日前
個人
胸骨圧迫補助具
3か月前
個人
テスト肺
5日前
個人
腰ベルト
1か月前
個人
汚れ防止シート
2か月前
個人
湿布連続貼り機。
3か月前
個人
排尿排便補助器具
26日前
個人
介護移乗アシスト
3日前
個人
哺乳瓶冷まし容器
4か月前
個人
美容セット
1か月前
個人
陣痛緩和具
5か月前
株式会社コーセー
化粧料
1か月前
個人
治療用酸化防御装置
2か月前
個人
エア誘導コルセット
3か月前
株式会社大野
骨壷
5か月前
個人
性行為補助具
4か月前
株式会社ニデック
眼科装置
1か月前
株式会社ダリヤ
毛髪化粧料
2か月前
個人
シリンダ式歩行補助具
4か月前
株式会社ニデック
検眼装置
5か月前
個人
こむら返り応急治し具
1か月前
個人
形見の製造方法
5か月前
株式会社ダリヤ
毛髪化粧料
3日前
個人
手指運動ツール
3か月前
個人
精力増強キット
2か月前
続きを見る
他の特許を見る