TOP
|
特許
|
意匠
|
商標
特許ウォッチ
Twitter
他の特許を見る
10個以上の画像は省略されています。
公開番号
2025155583
公報種別
公開特許公報(A)
公開日
2025-10-14
出願番号
2024167780
出願日
2024-09-26
発明の名称
ペリクル膜に含まれるカーボンナノチューブの配向角度の標準偏差を測定する測定方法
出願人
リンテック株式会社
代理人
弁理士法人樹之下知的財産事務所
主分類
G03F
1/62 20120101AFI20251002BHJP(写真;映画;光波以外の波を使用する類似技術;電子写真;ホログラフイ)
要約
【課題】機械的強度に優れたペリクル膜を提供すること。
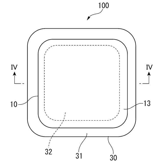
【解決手段】多孔質構造を有するペリクル膜10。前記ペリクル膜10は、カーボンナノチューブを含み、前記ペリクル膜10は、第一ペリクル膜面11と、前記第一ペリクル膜面11とは反対側の第二ペリクル膜面12とを備え、前記ペリクル膜10の前記第一ペリクル膜面11又は前記第二ペリクル膜面12を撮像した画像に対して、二次元フーリエ変換を実施して取得したパワースペクトル画像の近似楕円に基づいて求められる、前記カーボンナノチューブの配向角度の標準偏差が8.0°以下である。
【選択図】図1
特許請求の範囲
【請求項1】
多孔質構造を有するペリクル膜であって、
前記ペリクル膜は、カーボンナノチューブを含み、
前記ペリクル膜は、第一ペリクル膜面と、前記第一ペリクル膜面とは反対側の第二ペリクル膜面とを備え、
前記ペリクル膜の前記第一ペリクル膜面又は前記第二ペリクル膜面を撮像した画像に対して、二次元フーリエ変換を実施して取得したパワースペクトル画像の近似楕円に基づいて求められる、前記カーボンナノチューブの配向角度の標準偏差が8.0°以下である、
ペリクル膜。
続きを表示(約 1,000 文字)
【請求項2】
請求項1に記載のペリクル膜において、
前記カーボンナノチューブの配向角度の標準偏差が0.5°以上、8.0°以下である、
ペリクル膜。
【請求項3】
請求項1又は請求項2に記載のペリクル膜において、
前記第一ペリクル膜面又は前記第二ペリクル膜面を撮像した画像は、走査型電子顕微鏡によって撮像した画像である、
ペリクル膜。
【請求項4】
請求項1又は請求項2に記載のペリクル膜において、
前記カーボンナノチューブの長さが、0.1μm以上、1000μm以下である、
ペリクル膜。
【請求項5】
請求項1又は請求項2に記載のペリクル膜において、
前記カーボンナノチューブの断面直径が、0.2nm以上、50nm以下である、
ペリクル膜。
【請求項6】
請求項1又は請求項2に記載のペリクル膜において、
自立性を有する、
ペリクル膜。
【請求項7】
請求項1又は請求項2に記載のペリクル膜と、
枠部と前記枠部に囲まれた開口部とを有し、前記ペリクル膜を支持する支持体と、
を備える、
ペリクル。
【請求項8】
多孔質構造を有するペリクル膜に含まれるカーボンナノチューブの配向角度の標準偏差を測定する測定方法であって、
カーボンナノチューブを含み、第一ペリクル膜面と、前記第一ペリクル膜面とは反対側の第二ペリクル膜面とを備えるペリクル膜を準備する工程と、
準備した前記ペリクル膜の前記第一ペリクル膜面又は前記第二ペリクル膜面を走査型電子顕微鏡により撮像して、前記ペリクル膜の表面における画像データを取得する工程と、
取得した前記画像データに対して、二次元フーリエ変換を実施してパワースペクトル画像を取得する工程と、
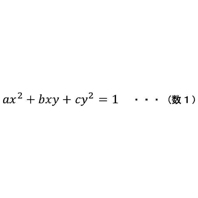
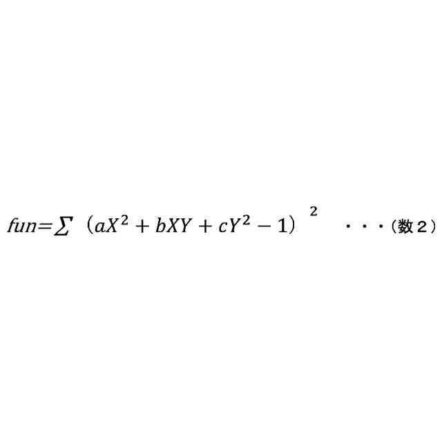
取得した前記パワースペクトル画像に対して、平均振幅の角度分布図から近似楕円を描き、前記近似楕円における半径方向の配向強度の平均値を算出する工程と、
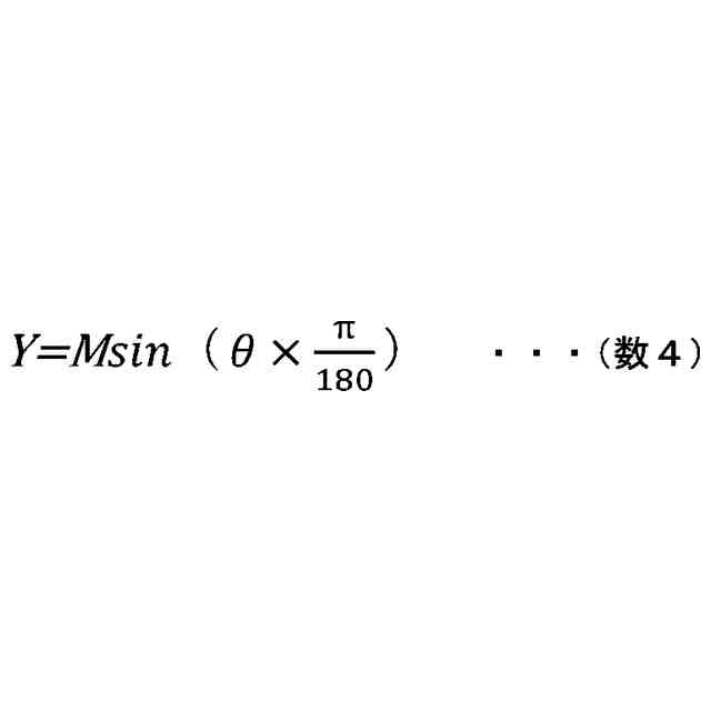
前記算出した配向強度の平均値に対して、楕円の方程式に基づいて、前記近似楕円の傾きを算出して、配向角度を取得する工程と、
前記配向角度の標準偏差を算出する工程と、
を備える、
測定方法。
発明の詳細な説明
【技術分野】
【0001】
本発明は、ペリクル膜及びペリクル、並びに、ペリクル膜に含まれるカーボンナノチューブの配向角度の標準偏差を測定する測定方法に関する。
続きを表示(約 1,600 文字)
【背景技術】
【0002】
半導体デバイス等の製造工程では、例えば、半導体ウエハ等の基板にフォトレジストを塗布し、フォトレジストを塗布した基板上に、フォトマスクを用いて光を照射し、フォトレジストを除去することにより、基板上に目的とする回路パターンが形成される。
【0003】
フォトマスク上に異物が付着した状態で光が照射されると、付着した異物によって、基板上に形成された回路パターンに支障を来す場合がある。このため、フォトマスク上への異物の付着を抑制するために、異物を捕捉させるためのペリクル膜を備えたペリクルが使用される場合がある。ペリクルは、フォトマスクの上方に、ペリクル膜がフォトマスクに接しない距離で配置される。
【0004】
近年、より微細な回路パターンを形成するために、極端紫外線(EUV:Extreme Ultra Violet)の使用が検討されている。EUVは、波長1nm以上、100nm以下の光を指す。EUVとしては、例えば、具体的には、13.5nm±0.3nm程度の光線が使用されつつある。EUVがペリクル膜に照射された場合、EUVはペリクル膜を透過するものの、照射されたEUVの一部はペリクル膜に吸収される。吸収されたEUVの光エネルギーは熱エネルギーに変換されることにより、ペリクル膜の温度が上昇する。このため、ペリクル膜には、EUVの透過性、耐熱性及び耐久性等が求められる。
【0005】
EUVを使用して回路パターンを形成する工程に使用されるペリクルにおいて、ペリクルが備えるペリクル膜に用いられる材料の一つとして、カーボンナノチューブが検討されている。
【0006】
例えば、特許文献1には、カーボンナノチューブを含有するカーボンナノチューブ膜を含む露光用ペリクル膜が開示されている。特許文献1に開示されるカーボンナノチューブ膜は、波長13.5nmにおけるEUV光の透過率が80%以上であり、厚みが1nm以上、50nm以下であり、反射率の3σが15%以下である。
【先行技術文献】
【特許文献】
【0007】
特開2023-106455号公報
【発明の概要】
【発明が解決しようとする課題】
【0008】
特許文献1に開示されるカーボンナノチューブを含むペリクル膜において、当該ペリクル膜の厚さの均一性を高めることで、EUV透過率の均一性を高めている。しかしながら、特許文献1に開示されるペリクル膜は、厚さの均一性に関して巨視的な視点で検討されるのみであり、微視的なカーボンナノチューブバンドルの重なりによる構造のバラつきについては検討されていない。従来のペリクル膜において、微視的な構造のバラつきが大きい場合、機械的強度を低下させる要因になることが懸念される。このため、ペリクル膜には、さらなる改善が要求されていた。
【0009】
本発明の目的は、カーボンナノチューブを含むペリクル膜において、機械的強度に優れたペリクル膜、及び当該ペリクル膜を用いたペリクル、並びに、当該ペリクル膜に含まれるカーボンナノチューブの配向角度の標準偏差を測定する測定方法を提供することである。
【課題を解決するための手段】
【0010】
[1]
多孔質構造を有するペリクル膜であって、
前記ペリクル膜は、カーボンナノチューブを含み、
前記ペリクル膜は、第一ペリクル膜面と、前記第一ペリクル膜面とは反対側の第二ペリクル膜面とを備え、
前記ペリクル膜の前記第一ペリクル膜面又は前記第二ペリクル膜面を撮像した画像に対して、二次元フーリエ変換を実施して取得したパワースペクトル画像の近似楕円に基づいて求められる、前記カーボンナノチューブの配向角度の標準偏差が8.0°以下である、
ペリクル膜。
(【0011】以降は省略されています)
この特許をJ-PlatPat(特許庁公式サイト)で参照する
関連特許
リンテック株式会社
表示体
10日前
リンテック株式会社
塗工装置
10日前
リンテック株式会社
耐水性基材
10日前
リンテック株式会社
熱電ウェハ
10日前
リンテック株式会社
配線シート
10日前
リンテック株式会社
配線シート
10日前
リンテック株式会社
熱電変換材料層
6日前
リンテック株式会社
熱電変換モジュール
10日前
リンテック株式会社
ウィンドウフィルム
10日前
リンテック株式会社
熱電変換モジュール
10日前
リンテック株式会社
ハードコートフィルム
10日前
リンテック株式会社
積層体及び配線シート
10日前
リンテック株式会社
粘着剤および粘着シート
10日前
リンテック株式会社
粘着シートおよび光学積層体
6日前
リンテック株式会社
熱電変換モジュールの製造方法
10日前
リンテック株式会社
粘着シート、積層体およびデバイス
10日前
リンテック株式会社
ハードコートフィルム、光学ディスプレイ
10日前
リンテック株式会社
保護膜形成用複合シート及び半導体装置の製造方法
10日前
リンテック株式会社
保護膜形成用複合シート及び半導体装置の製造方法
10日前
リンテック株式会社
コーティング層の除去装置及びコーティング層の除去方法
10日前
リンテック株式会社
粘着シート、フレキシブル部材積層体およびフレキシブルデバイス
10日前
リンテック株式会社
光活性化粘着剤組成物、粘着シート、ロール体、及び粘着シートの使用方法
10日前
リンテック株式会社
保護膜形成用フィルム、保護膜形成用複合シート、及び半導体装置の製造方法
10日前
リンテック株式会社
熱硬化性組成物、半導体素子固定用組成物、並びに熱及び電気伝導性膜形成用組成物
10日前
リンテック株式会社
熱硬化性組成物、半導体素子固定用組成物、並びに熱及び電気伝導性膜形成用組成物
10日前
リンテック株式会社
ペリクル膜に含まれるカーボンナノチューブの配向角度の標準偏差を測定する測定方法
6日前
リンテック株式会社
フィルム状焼成材料、支持シート付フィルム状焼成材料、及び、半導体装置の製造方法
10日前
リンテック株式会社
保護膜形成用フィルム、保護膜形成用複合シート、半導体装置の製造方法、及び半導体装置
10日前
リンテック株式会社
ペリクル膜及びペリクル、並びに、ペリクル膜の可視光線透過率、可視光線透過率の標準偏差、及び可視光線透過率の変動係数を測定する測定方法
6日前
個人
表示装置
5日前
個人
雨用レンズカバー
3日前
株式会社シグマ
絞りユニット
1か月前
キヤノン株式会社
撮像装置
25日前
平和精機工業株式会社
雲台
1か月前
キヤノン株式会社
撮像装置
1か月前
キヤノン株式会社
撮像装置
1か月前
続きを見る
他の特許を見る