TOP
|
特許
|
意匠
|
商標
特許ウォッチ
Twitter
他の特許を見る
10個以上の画像は省略されています。
公開番号
2025154979
公報種別
公開特許公報(A)
公開日
2025-10-14
出願番号
2022122467
出願日
2022-08-01
発明の名称
クロマトグラフィー用担体の製造方法及びクロマトグラフィー用担体
出願人
JSR株式会社
代理人
弁理士法人アルガ特許事務所
主分類
C07K
1/22 20060101AFI20251006BHJP(有機化学)
要約
【課題】抗体又はその断片に対する動的結合容量が大きく、且つ抗体の単離に繰り返し用いた場合でもタンパク質リガンドが漏出しにくいクロマトグラフィー用担体を提供すること。
【解決手段】以下の工程A-1及び工程Bを備える、クロマトグラフィー用担体の製造方法。
(工程A-1)多孔質粒子に、プロテインA、プロテインG、プロテインL及びこれらの類縁物質から選ばれる1種又は2種以上のリガンドを固定する工程
(工程B)工程A-1後のリガンドが固定された多孔質粒子と、-C(=O)-O-C(=O)-で表される基、カルボジイミド基、及び環状エーテル基から選ばれる少なくとも1種のリガンド反応性基を有する化合物とを反応させる工程
【選択図】なし
特許請求の範囲
【請求項1】
以下の工程A-1及び工程Bを備える、クロマトグラフィー用担体の製造方法。
(工程A-1)多孔質粒子に、プロテインA、プロテインG、プロテインL及びこれらの類縁物質から選ばれる1種又は2種以上のリガンドを固定する工程
(工程B)工程A-1後のリガンドが固定された多孔質粒子と、-C(=O)-O-C(=O)-で表される基、カルボジイミド基、及び環状エーテル基から選ばれる少なくとも1種のリガンド反応性基を有する化合物とを反応させる工程
続きを表示(約 2,100 文字)
【請求項2】
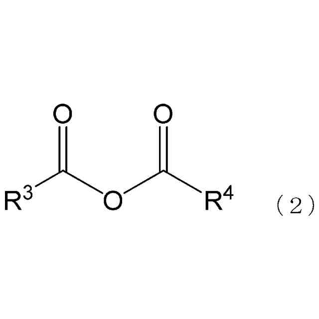
前記リガンド反応性基を有する化合物が、下記式(1)で表される化合物及びその塩、下記式(2)で表される化合物、並びに下記式(3)で表される化合物から選ばれる1種又は2種以上である、請求項1に記載のクロマトグラフィー用担体の製造方法。
TIFF
2025154979000009.tif
17
170
〔式(1)中、R
1
及びR
2
は、相互に独立に、水素原子又は置換若しくは非置換の炭化水素基を示す。〕
TIFF
2025154979000010.tif
27
170
〔式(2)中、R
3
及びR
4
は、相互に独立に、置換又は非置換の炭化水素基を示し、R
3
及びR
4
が互いに結合して環状構造を形成してもよい。〕
TIFF
2025154979000011.tif
11
170
〔式(3)中、R
5
は、置換又は非置換の炭化水素基を示し、Xは、環状エーテル基を示す。〕
【請求項3】
前記リガンド反応性基を有する化合物が、1-[3-(ジメチルアミノ)プロピル]-3-エチルカルボジイミド、1-[3-(ジメチルアミノ)プロピル]-3-エチルカルボジイミドの塩、N,N’-ジシクロヘキシルカルボジイミド、N,N’-ジイソプロピルカルボジイミド、無水マレイン酸、無水プロピオン酸、無水酢酸、ピバル酸無水物、無水コハク酸、グルタル酸無水物、プロピレンオキシド、ブチレンオキシド、グリシジルメチルエーテル、エチルグリシジルエーテル、グリシドール、エピクロロヒドリン、及びエピブロモヒドリンから選ばれる1種又は2種以上の化合物である、請求項1に記載のクロマトグラフィー用担体の製造方法。
【請求項4】
前記リガンド反応性基を有する化合物が、下記式(1)で表される化合物及びその塩から選ばれる少なくとも1種の化合物である、請求項1に記載のクロマトグラフィー用担体の製造方法。
TIFF
2025154979000012.tif
17
170
〔式(1)中、R
1
及びR
2
は、相互に独立に、水素原子、アルキル基、シクロアルキル基、アミノアルキル基、モノアルキルアミノアルキル基、又はジアルキルアミノアルキル基を示す。〕
【請求項5】
前記リガンド反応性基を有する化合物の使用量が、リガンドが固定された多孔質粒子の乾燥重量1gに対して0.01~15ミリモルである、請求項1に記載のクロマトグラフィー用担体の製造方法。
【請求項6】
工程Bの反応を、水系媒体中pH8~14で行う、請求項1に記載のクロマトグラフィー用担体の製造方法。
【請求項7】
工程A-1と工程Bの間に以下の工程A-2を更に備え、工程A-2で得られた親水性基含有リガンド固定多孔質粒子を前記工程A-1後のリガンドが固定された多孔質粒子として工程Bで用いる、請求項1に記載のクロマトグラフィー用担体の製造方法。
(工程A-2)工程A-1でリガンドが固定された多孔質粒子と、ヒドロキシ基及びメルカプト基から選ばれる少なくとも1種の親水性基を分子内に合計で2個以上有する化合物とを反応させる工程
【請求項8】
以下の工程A-P1及び工程A-P2を更に備え、工程A-P2で架橋剤及び親水化剤から選ばれる少なくとも1種を反応させた多孔質粒子を前記多孔質粒子として工程A-1で用いる、請求項7に記載のクロマトグラフィー用担体の製造方法。
(工程A-P1)水系媒体中にモノマー組成物を分散させ懸濁重合させる工程
(工程A-P2)工程A-P1で得られた多孔質粒子と、架橋剤及び親水化剤から選ばれる少なくとも1種とを反応させる工程
【請求項9】
多孔質粒子と、当該多孔質粒子に固定されたリガンドと、-C(=O)-O-C(=O)-で表される基、カルボジイミド基、及び環状エーテル基から選ばれる少なくとも1種のリガンド反応性基を有する化合物に由来する部分構造とを有し、
前記リガンドが、プロテインA、プロテインG、プロテインL及びこれらの類縁物質から選ばれる1種又は2種以上のリガンドであり、
前記リガンドのアミノ基及びカルボキシ基から選ばれる少なくとも1種の官能基が、前記部分構造で化学修飾されており、
下記式:
化学修飾率(モル%) = (化学修飾された官能基のモル数) / (化学修飾された官能基のモル数と化学修飾されていない官能基のモル数との和) × 100
で算出される化学修飾率が、1~70モル%である、クロマトグラフィー用担体。
【請求項10】
前記リガンドのアミノ基が前記部分構造で化学修飾されている、請求項9に記載のクロマトグラフィー用担体。
(【請求項11】以降は省略されています)
発明の詳細な説明
【技術分野】
【0001】
本発明は、クロマトグラフィー用担体の製造方法、クロマトグラフィー用担体、クロマトグラフィーカラム、及び抗体又はその断片の単離方法に関する。
続きを表示(約 1,500 文字)
【背景技術】
【0002】
抗体は近年、研究用試薬、抗体医薬などに広く利用されている。これら試薬や医薬用の抗体は、一般にクロマトグラフィーによる単離を経て製造される。このようなクロマトグラフィーに用いる担体には、抗体やその断片に対する動的結合容量を備えることや、単離の際にリガンドが漏出しにくいこと、不純物が非特異吸着しにくいことなどが求められる。例えば、メジアン粒径を特定範囲に調整するなどすることで、抗体に対する動的結合容量を大きくした担体が知られている(特許文献1)。
【先行技術文献】
【特許文献】
【0003】
特表2008-523140号公報
WO2020/040307号公報
【発明の概要】
【発明が解決しようとする課題】
【0004】
また、アルカリ耐性を改善させ、抗体の単離に繰り返し用いた場合でもリガンドが漏出しにくくするために、ポリペプチド鎖を変異させたイムノグロブリン結合タンパク質をリガンドとすることが提案されているが(特許文献2)、タンパク質リガンド低漏出性の更なる改善が求められている。また、上記のようなアルカリ耐性を改善させるためのポリペプチド鎖の変異は、元々のイムノグロブリン結合タンパク質の動的結合容量を低下させ得るため、抗体又はその断片に対する動的結合容量を大きくすることと、タンパク質リガンドの漏出を抑えることとの両立は難しかった。
本発明が解決しようとする課題は、抗体又はその断片に対する動的結合容量が大きく、且つ抗体の単離に繰り返し用いた場合でもタンパク質リガンドが漏出しにくいクロマトグラフィー用担体を提供することにある。
【課題を解決するための手段】
【0005】
上記課題は、下記<1>~<15>の手段により解決された。
<1> 以下の工程A-1及び工程Bを備える、クロマトグラフィー用担体の製造方法(以下、本発明のクロマトグラフィー用担体の製造方法とも称する)。
(工程A-1)多孔質粒子に、プロテインA、プロテインG、プロテインL及びこれらの類縁物質から選ばれる1種又は2種以上のリガンドを固定する工程
(工程B)工程A-1後のリガンドが固定された多孔質粒子と、-C(=O)-O-C(=O)-で表される基、カルボジイミド基、及び環状エーテル基から選ばれる少なくとも1種のリガンド反応性基を有する化合物とを反応させる工程
【0006】
<2> 前記リガンド反応性基を有する化合物が、下記式(1)で表される化合物及びその塩、下記式(2)で表される化合物、並びに下記式(3)で表される化合物から選ばれる1種又は2種以上である、<1>に記載のクロマトグラフィー用担体の製造方法。
【0007】
TIFF
2025154979000001.tif
17
170
【0008】
〔式(1)中、R
1
及びR
2
は、相互に独立に、水素原子又は置換若しくは非置換の炭化水素基を示す。〕
【0009】
TIFF
2025154979000002.tif
27
170
【0010】
〔式(2)中、R
3
及びR
4
は、相互に独立に、置換又は非置換の炭化水素基を示し、R
3
及びR
4
が互いに結合して環状構造を形成してもよい。〕
(【0011】以降は省略されています)
この特許をJ-PlatPat(特許庁公式サイト)で参照する
関連特許
JSR株式会社
化学機械研磨用組成物及び研磨方法
1日前
JSR株式会社
化学機械研磨用組成物及び研磨方法
1日前
JSR株式会社
液晶配向剤、液晶配向膜、液晶素子、重合体及び化合物
15日前
JSR株式会社
液晶配向剤、液晶配向膜、液晶素子、重合体及び化合物
19日前
JSR株式会社
硬化性組成物、硬化膜、有機EL装置、及び硬化樹脂層の形成方法
1か月前
JSR株式会社
クロマトグラフィー用担体の製造方法及びクロマトグラフィー用担体
4日前
JSR株式会社
感放射線性樹脂組成物及びパターン形成方法
1か月前
JSR株式会社
重合体、組成物、硬化物、積層体及び電子部品
23日前
JSR株式会社
レジストパターンの形成方法及び感放射線性樹脂組成物
11日前
JSR株式会社
感光性着色組成物、硬化物、画像表示パネル、カラーフィルター、画像表示装置、及び硬化物の製造方法
22日前
JSR株式会社
硬化性組成物、硬化膜、有機EL装置、及び硬化樹脂層の形成方法
1か月前
JSR株式会社
感放射線性組成物、硬化膜及びその製造方法、液晶表示装置並びに有機EL表示装置
1日前
JSR株式会社
組成物、組成物の製造方法、光学フィルム、光学フィルムの製造方法、層、層の製造方法、光学フィルター、光学素子、固体撮像装置、およびカメラモジュール
11日前
日東電工株式会社
多層断熱材及び多層断熱材の製造方法
1か月前
東ソー株式会社
タンパク質の発現方法
29日前
東ソー株式会社
炭素-窒素結合形成方法
3か月前
株式会社トクヤマ
四塩化炭素の製造方法
3か月前
株式会社トクヤマ
シロキサン類の回収方法
3か月前
株式会社半導体エネルギー研究所
有機化合物
2か月前
株式会社トクヤマ
ビオチン誘導体の製造方法
2か月前
栗田工業株式会社
ギ酸の回収方法
11日前
株式会社トクヤマ
ホルムアミド化合物の製造方法
2か月前
株式会社コスモス
液状炭化水素の増産方法
2か月前
株式会社トクヤマ
チオラクトン誘導体の製造方法
19日前
東ソー株式会社
イソシアネート化合物の製造方法
1か月前
株式会社トクヤマ
ベンザゼピン化合物の製造方法
2か月前
株式会社コスモス
液状炭化水素の増産方法
2か月前
artience株式会社
四塩基酸無水物の製造方法
3か月前
信越化学工業株式会社
新規化合物
3か月前
日産化学株式会社
ピラゾール化合物及び有害生物防除剤
2か月前
国立大学法人東京農工大学
深共晶溶媒
2か月前
本田技研工業株式会社
CO2変換方法
15日前
大阪瓦斯株式会社
メタン製造システム
15日前
三菱ケミカル株式会社
アルコールの製造方法
1か月前
株式会社トクヤマ
アシル化ベンゼン誘導体の酸塩の製造方法
2か月前
JNC株式会社
有機ケイ素化合物およびこれを用いた重合体
1か月前
続きを見る
他の特許を見る