TOP
|
特許
|
意匠
|
商標
特許ウォッチ
Twitter
他の特許を見る
10個以上の画像は省略されています。
公開番号
2025162739
公報種別
公開特許公報(A)
公開日
2025-10-28
出願番号
2024066134
出願日
2024-04-16
発明の名称
砥粒の製造方法、化学機械研磨用組成物および研磨方法
出願人
JSR株式会社
代理人
個人
,
個人
,
個人
,
個人
主分類
H01L
21/304 20060101AFI20251021BHJP(基本的電気素子)
要約
【課題】シリコン酸化膜を高速で研磨することができ、かつ、シリコン酸化膜の研磨の際の研磨欠陥の発生を抑制できるとともに、貯蔵後の研磨特性にも優れた化学機械研磨用組成物、およびこれを用いた研磨方法を提供する。また、該化学機械研磨用組成物に用いられ得る砥粒の製造方法を提供する。
【解決手段】本発明に係る化学機械研磨用組成物は、砥粒と、液状媒体とを含有し、前記砥粒の表面に、ポリマー鎖が共有結合によりグラフト化されており、前記砥粒が、その表面に下記一般式(3)で表される部分構造および下記一般式(4)で表される部分構造からなる群より選択される少なくとも1種の部分構造を有する。
-NR
2
R
3
・・・・(3)
-N
+
R
2
R
3
R
4
M
-
・・・・(4)
(上記式(3)および(4)中、R
2
、R
3
およびR
4
は各々独立して、水素原子または置換もしくは非置換の炭化水素基を表す。M
-
は陰イオンを表す。)
【選択図】なし
特許請求の範囲
【請求項1】
砥粒の製造方法であって、
水酸基(-OH)が共有結合を介して表面に固定化された粒子と、エポキシ基を有するアルコキシシラン(A)と、を含有する混合物を加熱する工程(a)と、
前記工程(a)の後に、塩基性化合物を添加して加熱する工程(b)と、
前記工程(b)の後に、ポリアルキレンオキシド鎖を有するアルコキシシラン(C)を添加して加熱する工程(c)と、
を含む、砥粒の製造方法。
続きを表示(約 1,600 文字)
【請求項2】
砥粒の製造方法であって、
水酸基(-OH)が共有結合を介して表面に固定化された粒子と、アミノ基を有するアルコキシシラン(B)と、を含有する混合物を加熱する工程(d)と、
前記工程(d)の後に、ポリアルキレンオキシド鎖を有するアルコキシシラン(C)を添加して加熱する工程(e)と、
を含む、砥粒の製造方法。
【請求項3】
前記粒子がシリカ粒子である、請求項1または請求項2に記載の砥粒の製造方法。
【請求項4】
前記アルコキシシラン(C)が有するポリアルキレンオキシド鎖が、下記一般式(1)で表される繰り返し単位および下記一般式(2)で表される繰り返し単位からなる群より選択される少なくとも1種の繰り返し単位を有する、請求項1または請求項2に記載の砥粒の製造方法。
-(CH
2
CH
2
O)- ・・・・(1)
-(CHR
1
CH
2
O)- ・・・・(2)
(式中、R
1
はC
m
H
2m+1
を示し、m=1~4の整数である。)
【請求項5】
前記塩基性化合物が、アンモニアおよびアミノ基を有する化合物からなる群より選択される少なくとも1種である、請求項1に記載の砥粒の製造方法。
【請求項6】
前記砥粒が、その表面に下記一般式(3)で表される部分構造および下記一般式(4)で表される部分構造からなる群より選択される少なくとも1種の部分構造を有する、請求項1または請求項2に記載の砥粒の製造方法。
-NR
2
R
3
・・・・(3)
-N
+
R
2
R
3
R
4
M
-
・・・・(4)
(上記式(3)および(4)中、R
2
、R
3
およびR
4
は各々独立して、水素原子または置換もしくは非置換の炭化水素基を表す。M
-
は陰イオンを表す。)
【請求項7】
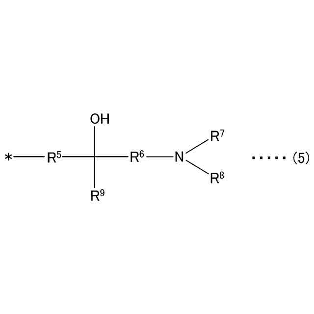
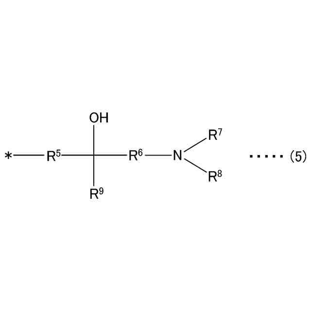
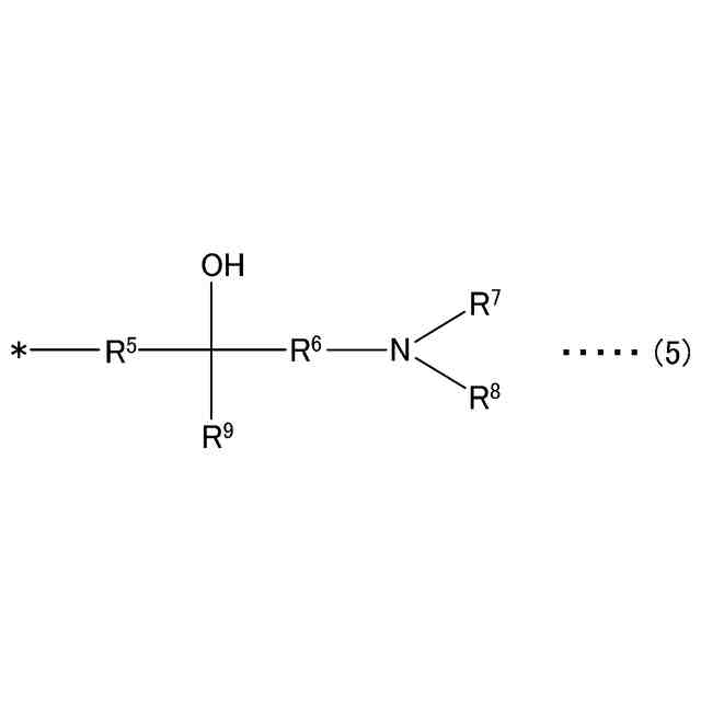
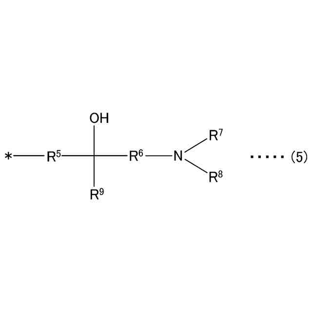
前記砥粒が、その表面に下記一般式(5)で表される部分構造を有する、請求項1に記載の砥粒の製造方法。
TIFF
2025162739000009.tif
33
140
(式(5)中、R
5
は単結合または炭素数1以上の2価の有機基を表し、R
6
は炭素数1以上の2価の有機基を表し、R
7
、R
8
およびR
9
は各々独立して水素原子または炭素数
1以上の1価の有機基を表し、*は結合手を表す。)
【請求項8】
前記砥粒が、その表面に下記一般式(6)で表される部分構造を有する、請求項1または請求項2に記載の砥粒の製造方法。
TIFF
2025162739000010.tif
25
130
(式(6)中、R
10
は炭素数1以上の2価の有機基を表し、R
11
およびR
12
は各々独立して水素原子または炭素数1以上の1価の有機基を表し、*は結合手を表す。)
【請求項9】
前記砥粒を含有する化学機械研磨用組成物中において、前記砥粒のゼータ電位が0mV以上である、請求項1または請求項2に記載の砥粒の製造方法。
【請求項10】
請求項1または請求項2に記載の方法によって製造される砥粒と、
液状媒体と、
を含有する、化学機械研磨用組成物。
(【請求項11】以降は省略されています)
発明の詳細な説明
【技術分野】
【0001】
本発明は、砥粒の製造方法、化学機械研磨用組成物および研磨方法に関する。
続きを表示(約 1,400 文字)
【背景技術】
【0002】
半導体集積回路の製造技術の向上に伴い、半導体素子の高集積化、高速動作が求められている。これに伴い、半導体素子における微細回路の製造工程において要求される半導体基板表面の平坦性は益々厳しくなってきており、化学機械研磨(Chemical Mechanical Polishing、以下「CMP」ともいう。)が半導体素子の製造工程に不可欠な技術となっている。
【0003】
CMPは、例えば、多層配線形成工程における層間絶縁膜の平坦化、金属プラグ形成、埋め込み配線(ダマシン配線)形成において活用されている。このような工程においてバランスの取れた研磨特性を実現すべく、様々な研磨用組成物(スラリー)が提案されている(例えば、特許文献1~2参照)。
【先行技術文献】
【特許文献】
【0004】
特開2008-235652号公報
国際公開第2017-057155号
【発明の概要】
【発明が解決しようとする課題】
【0005】
上述のような化学機械研磨用組成物においては、半導体素子の製造工程の歩留まり向上のために、シリコン酸化膜の研磨速度の向上およびシリコン酸化膜の研磨の際の研磨欠陥の発生の抑制が求められている。さらに、上述のような化学機械研磨用組成物において、砥粒としてシリカを使用する場合、化学機械研磨用組成物の貯蔵に伴う時間経過により、砥粒が凝集して粗大粒子が発生しやすくなり、化学機械研磨用組成物の貯蔵後の研磨特性が損なわれやすい。たとえば化学機械研磨用組成物の貯蔵に伴う砥粒の凝集によって、シリコン酸化膜の研磨速度が低下し、シリコン酸化膜の研磨後の研磨傷が増大する傾向があった。
【0006】
本発明に係る幾つかの態様は、シリコン酸化膜を高速で研磨することができ、かつ、シリコン酸化膜の研磨の際の研磨欠陥の発生を抑制できるとともに、貯蔵後の研磨特性にも優れた化学機械研磨用組成物、およびこれを用いた研磨方法を提供するものである。
【0007】
また、本発明に係る幾つかの態様は、上述の化学機械研磨用組成物に用いられ得る砥粒の製造方法を提供するものである。
【課題を解決するための手段】
【0008】
本発明に係る砥粒の製造方法の一態様は、
水酸基(-OH)が共有結合を介して表面に固定化された粒子と、エポキシ基を有するアルコキシシラン(A)と、を含有する混合物を加熱する工程(a)と、
前記工程(a)の後に、塩基性化合物を添加して加熱する工程(b)と、
前記工程(b)の後に、ポリアルキレンオキシド鎖を有するアルコキシシラン(C)を添加して加熱する工程(c)と、
を含む。
【0009】
本発明に係る砥粒の製造方法の一態様は、
水酸基(-OH)が共有結合を介して表面に固定化された粒子と、アミノ基を有するアルコキシシラン(B)と、を含有する混合物を加熱する工程(d)と、
前記工程(d)の後に、ポリアルキレンオキシド鎖を有するアルコキシシラン(C)を添加して加熱する工程(e)と、
を含む。
【0010】
前記砥粒の製造方法のいずれかの態様において、
前記粒子がシリカ粒子であってもよい。
(【0011】以降は省略されています)
この特許をJ-PlatPat(特許庁公式サイト)で参照する
関連特許
JSR株式会社
重合体
1日前
JSR株式会社
化学機械研磨用組成物及び研磨方法
1か月前
JSR株式会社
化学機械研磨用組成物及び研磨方法
1か月前
JSR株式会社
砥粒の製造方法、化学機械研磨用組成物および研磨方法
1か月前
JSR株式会社
パターン化位相差板の製造方法及びパターン化位相差板
10日前
JSR株式会社
液晶配向剤、液晶配向膜、液晶素子、重合体及び化合物
2か月前
JSR株式会社
液晶配向剤、液晶配向膜、液晶素子、重合体及び化合物
2か月前
JSR株式会社
液晶配向剤、液晶配向膜及びその製造方法、並びに液晶素子
1か月前
JSR株式会社
化合物及び樹脂
24日前
JSR株式会社
重合体及び化合物
1か月前
JSR株式会社
クロマトグラフィー用担体の製造方法及びクロマトグラフィー用担体
1か月前
JSR株式会社
感放射線性樹脂組成物及びパターン形成方法
2か月前
JSR株式会社
重合体、組成物、硬化物、積層体及び電子部品
2か月前
JSR株式会社
レジストパターンの形成方法及び感放射線性樹脂組成物
2か月前
JSR株式会社
感光性着色組成物、硬化物、画像表示パネル、カラーフィルター、画像表示装置、及び硬化物の製造方法
2か月前
JSR株式会社
感放射線性組成物、硬化膜及びその製造方法、液晶表示装置並びに有機EL表示装置
1か月前
JSR株式会社
組成物、組成物の製造方法、光学フィルム、光学フィルムの製造方法、層、層の製造方法、光学フィルター、光学素子、固体撮像装置、およびカメラモジュール
2か月前
東ソー株式会社
絶縁電線
1か月前
APB株式会社
蓄電セル
1か月前
日機装株式会社
加圧装置
1日前
日新イオン機器株式会社
イオン源
1日前
マクセル株式会社
電源装置
1か月前
ローム株式会社
半導体装置
1か月前
株式会社東芝
端子台
1か月前
日新イオン機器株式会社
イオン源
1か月前
株式会社GSユアサ
蓄電装置
1か月前
三菱電機株式会社
回路遮断器
24日前
株式会社GSユアサ
蓄電装置
1か月前
株式会社ホロン
冷陰極電子源
1か月前
株式会社GSユアサ
蓄電装置
1か月前
富士電機株式会社
電磁接触器
16日前
株式会社GSユアサ
蓄電装置
16日前
トヨタ自動車株式会社
蓄電装置
1か月前
日新イオン機器株式会社
基板処理装置
1か月前
個人
電源ボックス及び電子機器
1日前
株式会社東芝
電子源
1日前
続きを見る
他の特許を見る