TOP
|
特許
|
意匠
|
商標
特許ウォッチ
Twitter
他の特許を見る
10個以上の画像は省略されています。
公開番号
2025141596
公報種別
公開特許公報(A)
公開日
2025-09-29
出願番号
2024041608
出願日
2024-03-15
発明の名称
液晶配向剤、液晶配向膜、液晶素子、重合体及び化合物
出願人
JSR株式会社
代理人
個人
,
個人
,
個人
主分類
G02F
1/1337 20060101AFI20250919BHJP(光学)
要約
【課題】優れた塗布性を示しながら、高温環境下で長時間使用した場合にも性能が低下しにくく信頼性が高い液晶素子を得ることができる液晶配向剤を提供すること。
【解決手段】ポリアミック酸、ポリアミック酸エステル及びポリイミドよりなる群から選択される少なくとも1種であって、式(1)で表される部分構造を有する重合体(P)を含有する液晶配向剤とする。R
1
は、炭素数2~20のアルキル基、フルオロアルキル基等である。R
2
は、(n1+1)価の芳香環基、(n1+1)価の脂環基又は(n1+1)価の複素環基である。R
4
は2価の芳香環基である。Z
1
及びZ
2
は、水素原子、ハロゲン原子、シアノ基、ニトロ基、炭素数1~5のアルコキシ基、炭素数1~6のアルキル基、又は炭素数1~6のフルオロアルキル基である。Z
1
及びZ
2
は同時に水素原子にならない。R
5
は、炭素数1~12の直鎖状のアルカンジイル基等である。
<com:Image com:imageContentCategory="Drawing"> <com:ImageFormatCategory>TIFF</com:ImageFormatCategory> <com:FileName>2025141596000041.tif</com:FileName> <com:HeightMeasure com:measureUnitCode="Mm">24</com:HeightMeasure> <com:WidthMeasure com:measureUnitCode="Mm">170</com:WidthMeasure> </com:Image> 【選択図】なし
特許請求の範囲
【請求項1】
ポリアミック酸、ポリアミック酸エステル及びポリイミドよりなる群から選択される少なくとも1種であって、下記式(1)で表される部分構造を有する重合体(P)を含有する、液晶配向剤。
TIFF
2025141596000037.tif
24
170
(式(1)中、R
1
は、炭素数2~20のアルキル基、フルオロアルキル基又はシアン化アルキル基である。X
1
は、単結合、酸素原子、*
1
-COO-又は*
1
-OCO-である。「*
1
」は、R
1
との結合手を表す。R
2
は、(n1+1)価の芳香環基、(n1+1)価の脂環基又は(n1+1)価の複素環基である。R
3
は、単結合、2価の芳香環基、2価の脂環基又は2価の複素環基である。X
2
は、単結合、酸素原子、*
2
-COO-、*
2
-OCO-、*
2
-R
6
O-、*
2
-OR
6
-、炭素数1~3のアルカンジイル基又はビニレン基である。R
6
は、炭素数1~3のアルカンジイル基である。「*
2
」は、R
3
との結合手を表す。R
4
は2価の芳香環基である。Z
1
及びZ
2
は、互いに独立して、水素原子、ハロゲン原子、シアノ基、ニトロ基、炭素数1~5のアルコキシ基、炭素数1~6のアルキル基、又は炭素数1~6のフルオロアルキル基である。ただし、Z
1
及びZ
2
は同時に水素原子にならない。X
3
は、酸素原子、硫黄原子又は-NR
7
-である。R
7
は、水素原子又は1価の有機基である。R
5
は、炭素数1~12の直鎖状のアルカンジイル基であるか、又は、炭素数1~12の直鎖状のアルカンジイル基における1つ以上のメチレン基が-O-、-COO-若しくは-NR
8
CO-により置き換えられ、かつ-CH
2
-でX
3
に結合する2価の基である。R
8
は、水素原子又は炭素数1~6のアルキル基である。n1は1~3の整数である。n2は0~3の整数である。ただし、n1が2以上の場合、複数のX
1
は同一又は異なり、複数のR
1
は同一又は異なる。n2が2以上の場合、複数のX
2
は同一又は異なり、複数のR
3
は同一又は異なる。「*」は結合手を表す。)
続きを表示(約 1,600 文字)
【請求項2】
上記式(1)中のR
2
が、(n1+1)価の脂環基である、請求項1に記載の液晶配向剤。
【請求項3】
上記式(1)中のX
2
が、単結合、酸素原子、*
2
-R
6
O-、*
2
-OR
6
-、炭素数1~3のアルカンジイル基又はビニレン基である、請求項1に記載の液晶配向剤。
【請求項4】
上記式(1)中のZ
1
及びZ
2
のうち一方が、ハロゲン原子、炭素数1~5のアルコキシ基、炭素数1~6のアルキル基、又は炭素数1~6のフルオロアルキル基であって、他方が水素原子である、請求項1に記載の液晶配向剤。
【請求項5】
上記式(1)において、R
2
が、(n1+1)価の脂環基であり、
X
2
が、単結合、酸素原子、*
2
-R
6
O-、*
2
-OR
6
-炭素数1~3のアルカンジイル基又はビニレン基であり、
Z
1
及びZ
2
のうち一方が、ハロゲン原子、炭素数1~5のアルコキシ基、炭素数1~6のアルキル基、又は炭素数1~6のフルオロアルキル基であって、他方が水素原子である、請求項1に記載の液晶配向剤。
【請求項6】
前記重合体(P)が、上記式(1)で表される部分構造を有するジアミンに由来する構造単位を含む、請求項1に記載の液晶配向剤。
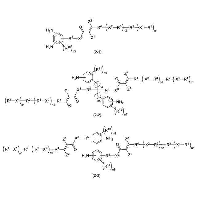
【請求項7】
前記ジアミンが、下記式(2-1)~式(2-3)のいずれかで表される、請求項6に記載の液晶配向剤。
TIFF
2025141596000038.tif
133
170
(式(2-1)~式(2-3)中、R
1
、X
1
、R
2
、R
3
、X
2
、R
4
、Z
1
、Z
2
、X
3
、R
5
、n1及びn2は、上記式(1)と同義である。R
10
、R
11
、R
12
、R
13
及びR
14
は、互いに独立して、置換基である。n3は0~3の整数である。n4及びn5は、互いに独立して0~3の整数である。n6及びn7は、互いに独立して0~5の整数である。n8及びn9は、互いに独立して0~4の整数である。n3が2以上の場合、複数のR
10
は同一又は異なり、n6が2以上の場合、複数のR
11
は同一又は異なり、n7が2以上の場合、複数のR
12
は同一又は異なり、n8が2以上の場合、複数のR
13
は同一又は異なり、n9が2以上の場合、複数のR
14
は同一又は異なる。)
【請求項8】
前記重合体(P)が、上記式(1)で表される部分構造を有しないジアミンに由来する構造単位を更に含む、請求項6に記載の液晶配向剤。
【請求項9】
上記式(1)で表される部分構造を有しない重合体(Q)を更に含有する、請求項1に記載の液晶配向剤。
【請求項10】
環状エーテル基、環状チオエーテル基、イソシアネート基、保護されたイソシアネート基、メチロール基、保護されたメチロール基、環状カーボネート基、重合性炭素-炭素結合含有基、保護されたアミノ基、シラノール基、及びアルコキシシリル基よりなる群から選択される少なくとも1種の基を分子内に2個以上有する化合物を更に含有する、請求項1に記載の液晶配向剤。
(【請求項11】以降は省略されています)
発明の詳細な説明
【技術分野】
【0001】
本発明は、液晶配向剤、液晶配向膜、液晶素子、重合体及び化合物に関する。
続きを表示(約 2,800 文字)
【背景技術】
【0002】
液晶素子は、液晶層中の液晶分子を一定の方向に配向させる機能を有する液晶配向膜を備えている。液晶配向膜は、一般に、重合体成分が有機溶媒に溶解されてなる液晶配向剤を基板表面に塗布し、好ましくは加熱することによって基板上に形成される。
【0003】
液晶配向規制力を有する有機膜を得る方法としては、従来、有機膜をラビングする方法、酸化ケイ素を斜方蒸着する方法、及び長鎖アルキル基を有する単分子膜を形成する方法のほか、感光性の有機膜に光照射する方法(光配向法)等が知られている。これらのうち、光配向法は、静電気や埃の発生を抑制しつつ、膜に液晶配向性を均一に付与できることから、近年、種々検討が進められている(例えば、特許文献1や特許文献2参照)。特許文献1及び特許文献2には、シンナメート構造を有する重合体を用いて光配向法により液晶配向膜を形成することが開示されている。
【0004】
近年、液晶テレビの普及が進んでおり、いわゆる「第8世代」や「第10世代」と呼ばれる大型ラインも稼動している。大型ラインを使用して基板を大型化するメリットとしては、基板一枚から複数枚のパネルが取れるため、工程時間を削減でき、コストを低減できる点、液晶表示素子自体の大型化に対応できる点が挙げられる。その反面、基板の大型化により、液晶配向剤の印刷の均一性を大面積にわたって確保することが困難であるというデメリットがある。これに対し、均一な塗布を期待できることから、液晶配向膜の形成にインクジェット塗布法を利用する検討がなされている。
【先行技術文献】
【特許文献】
【0005】
特開2011-100099号公報
特開2022-173076号公報
【発明の概要】
【発明が解決しようとする課題】
【0006】
液晶素子は、従来はテレビが主な市場であったが、近年、表示デバイスとしての活躍の場を広げている。液晶素子は、例えば、車載装置やデジタルサイネージ、モバイル・タブレット等といった幅広い用途で、かつ多種多様な場面で使用されている。また、液晶素子の用途の拡大に伴い、従来では想定されていなかった過酷な環境下で液晶素子が使用されることも増えつつある。
【0007】
そこで、液晶素子には、高温環境下で長時間使用した場合にも性能が低下しにくく、信頼性が高いことが従来にも増して求められている。高温環境下における長時間の使用にも耐え得る信頼性(以下、「高温信頼性」ともいう。)を確保するためには、剛直なメソゲン構造を重合体に導入することが有効と考えられる。しかしながら、剛直なメソゲン構造を重合体に導入した場合、重合体の溶解性の低下を招き、液晶配向剤の塗布性を確保できないことが懸念される。かかる場合、液晶素子の性能が低下したり、製品歩留まりの低下を招いたりすることが懸念される。
【0008】
本発明は上記課題に鑑みなされたものであり、優れた塗布性を示しながら、高温環境下で長時間使用した場合にも性能が低下しにくく信頼性が高い液晶素子を得ることができる液晶配向剤を提供することを主たる目的とする。
【課題を解決するための手段】
【0009】
本発明によれば、一つの態様において、ポリアミック酸、ポリアミック酸エステル及びポリイミドよりなる群から選択される少なくとも1種であって、下記式(1)で表される部分構造を有する重合体(P)を含有する液晶配向剤が提供される。
TIFF
2025141596000001.tif
24
169
(式(1)中、R
1
は、炭素数2~20のアルキル基、フルオロアルキル基又はシアン化アルキル基である。X
1
は、単結合、酸素原子、*
1
-COO-又は*
1
-OCO-である。「*
1
」は、R
1
との結合手を表す。R
2
は、(n1+1)価の芳香環基、(n1+1)価の脂環基又は(n1+1)価の複素環基である。R
3
は、単結合、2価の芳香環基、2価の脂環基又は2価の複素環基である。X
2
は、単結合、酸素原子、*
2
-COO-、*
2
-OCO-、*
2
-R
6
O-、*
2
-OR
6
-、炭素数1~3のアルカンジイル基又はビニレン基である。R
6
は、炭素数1~3のアルカンジイル基である。「*
2
」は、R
3
との結合手を表す。R
4
は2価の芳香環基である。Z
1
及びZ
2
は、互いに独立して、水素原子、ハロゲン原子、シアノ基、ニトロ基、炭素数1~5のアルコキシ基、炭素数1~6のアルキル基、又は炭素数1~6のフルオロアルキル基である。ただし、Z
1
及びZ
2
は同時に水素原子にならない。X
3
は、酸素原子、硫黄原子又は-NR
7
-である。R
7
は、水素原子又は1価の有機基である。R
5
は、炭素数1~12の直鎖状のアルカンジイル基であるか、又は、炭素数1~12の直鎖状のアルカンジイル基における1つ以上のメチレン基が-O-、-COO-若しくは-NR
8
CO-により置き換えられ、かつ-CH
2
-でX
3
に結合する2価の基である。R
8
は、水素原子又は炭素数1~6のアルキル基である。n1は1~3の整数である。n2は0~3の整数である。ただし、n1が2以上の場合、複数のX
1
は同一又は異なり、複数のR
1
は同一又は異なる。n2が2以上の場合、複数のX
2
は同一又は異なり、複数のR
3
は同一又は異なる。「*」は結合手を表す。)
【0010】
本発明によれば、他の一つの態様において、上記の液晶配向剤を用いて形成された液晶配向膜が提供される。また、本発明によれば、他の一つの態様において、上記の液晶配向膜を備える液晶素子が提供される。さらに、本発明によれば、他の一つの態様において、ポリアミック酸、ポリアミック酸エステル及びポリイミドのいずれかの重合体であって、上記式(1)で表される部分構造を有するジアミンに由来する構造単位を含む重合体が提供される。
(【0011】以降は省略されています)
この特許をJ-PlatPat(特許庁公式サイト)で参照する
関連特許
JSR株式会社
化学機械研磨用組成物及び研磨方法
1か月前
JSR株式会社
化学機械研磨用組成物及び研磨方法
1か月前
JSR株式会社
液晶配向剤、液晶配向膜、液晶素子、重合体及び化合物
1か月前
JSR株式会社
砥粒の製造方法、化学機械研磨用組成物および研磨方法
23日前
JSR株式会社
液晶配向剤、液晶配向膜、液晶素子、重合体及び化合物
1か月前
JSR株式会社
液晶配向剤、液晶配向膜及びその製造方法、並びに液晶素子
23日前
JSR株式会社
化合物及び樹脂
8日前
JSR株式会社
重合体及び化合物
23日前
JSR株式会社
硬化性組成物、硬化膜、有機EL装置、及び硬化樹脂層の形成方法
2か月前
JSR株式会社
感放射線性組成物、レジストパターン形成方法、重合体及び化合物
3か月前
JSR株式会社
クロマトグラフィー用担体の製造方法及びクロマトグラフィー用担体
1か月前
JSR株式会社
液晶素子、弱アンカリング膜形成用液晶配向剤及び液晶素子の製造方法
2か月前
JSR株式会社
感放射線性樹脂組成物及びパターン形成方法
2か月前
JSR株式会社
重合体、組成物、硬化物、積層体及び電子部品
1か月前
JSR株式会社
レジストパターンの形成方法及び感放射線性樹脂組成物
1か月前
JSR株式会社
感光性着色組成物、硬化物、画像表示パネル、カラーフィルター、画像表示装置、及び硬化物の製造方法
1か月前
JSR株式会社
硬化性組成物、硬化膜、有機EL装置、及び硬化樹脂層の形成方法
2か月前
JSR株式会社
感放射線性組成物、硬化膜及びその製造方法、液晶表示装置並びに有機EL表示装置
1か月前
JSR株式会社
組成物、組成物の製造方法、光学フィルム、光学フィルムの製造方法、層、層の製造方法、光学フィルター、光学素子、固体撮像装置、およびカメラモジュール
1か月前
日東電工株式会社
多層断熱材及び多層断熱材の製造方法
2か月前
個人
立体像表示装置
1か月前
カンタツ株式会社
光学系
29日前
住友化学株式会社
偏光板
1か月前
株式会社シグマ
結像光学系
13日前
東レ株式会社
積層フィルム
1か月前
株式会社シグマ
結像光学系
23日前
住友化学株式会社
垂直偏光板
1か月前
東レ株式会社
貼合体の製造方法
1か月前
東レ株式会社
赤外線遮蔽構成体
1か月前
日本精機株式会社
ミラーユニット
22日前
古河電気工業株式会社
融着機
29日前
日本電気株式会社
光モジュール
23日前
個人
多方向視差効果のための微細穴加工
24日前
株式会社コシナ
投射ズームレンズ
6日前
豊田合成株式会社
調光装置
今日
日本電気株式会社
光集積回路素子
1か月前
続きを見る
他の特許を見る