TOP
|
特許
|
意匠
|
商標
特許ウォッチ
Twitter
他の特許を見る
公開番号
2025150419
公報種別
公開特許公報(A)
公開日
2025-10-09
出願番号
2024051282
出願日
2024-03-27
発明の名称
膀胱がん用抗がん剤の製造方法
出願人
イスクラ産業株式会社
,
学校法人早稲田大学
,
国立大学法人東京農工大学
代理人
個人
,
個人
主分類
A61K
31/568 20060101AFI20251002BHJP(医学または獣医学;衛生学)
要約
【課題】優れた抗膀胱がん作用を発揮する膀胱がん用抗がん剤を提供する。
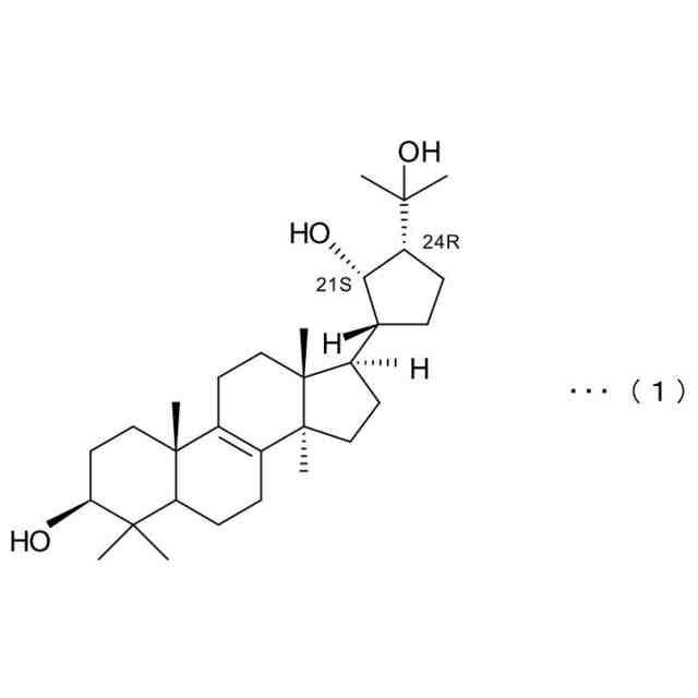
【解決手段】本発明の膀胱がん用抗がん剤は、イノノツサンA、イノノツトリオールA、21,24-シクロペンタ-3β,21,25-トリヒドロキシラノスタ-8-エン、及びイノノツサンBから選ばれる少なくとも一つを有効成分として含有することを特徴とする。
【選択図】なし
特許請求の範囲
【請求項1】
イノノツサンA、イノノツトリオールA、21,24-シクロペンタ-3β,21,25-トリヒドロキシラノスタ-8-エン、及びイノノツサンBから選ばれる少なくとも一つを有効成分として含有することを特徴とする膀胱がん用抗がん剤。
続きを表示(約 110 文字)
【請求項2】
前記有効成分は、チャーガから抽出されたものである請求項1に記載の膀胱がん用抗がん剤。
【請求項3】
前記膀胱がんは、筋層浸潤性膀胱がんである請求項1又は2に記載の膀胱がん用抗がん剤。
発明の詳細な説明
【技術分野】
【0001】
本発明は、膀胱がん用抗がん剤に関する。
続きを表示(約 1,600 文字)
【背景技術】
【0002】
一般に、白樺の木に寄生するキノコとしてチャーガ(Chaga、和名:カバノアナタケ)が知られている。チャーガは、β-D-グルカン、SOD(スーパーオキシドジスムターゼ)、リグニン等の機能性成分を含有し、摂取により免疫機能を増加させる作用等が期待されている。
【0003】
従来より、チャーガ由来の成分を含有する組成物として特許文献1,2に開示されるような組成物が知られている。特許文献1は、チャーガ(カバノアナタケ)の抽出物を含む抗糖化剤について開示する。特許文献2は、米糠抽出物、米麹抽出物、チャーガ(カバノアナタケ)液体培養液の抽出物等を含む混合物を乳酸菌発酵することを特徴とする健康機能組成物について開示する。
【先行技術文献】
【特許文献】
【0004】
特開2019-43887号公報
特開2007-153813号公報
【発明の概要】
【発明が解決しようとする課題】
【0005】
本発明は、チャーガ中において、優れた抗膀胱がん作用を発揮するトリテルペン類を発見したことに基づくものである。本発明は、新規な膀胱がん用抗がん剤を提供することを目的とする。
【課題を解決するための手段】
【0006】
本発明者らは、前記の課題を解決するべく研究した結果、イノノツサンA、イノノツトリオールA、21,24-シクロペンタ-3β,21,25-トリヒドロキシラノスタ-8-エン、又はイノノツサンBが優れた抗膀胱がん活性を有することを見出した。
【0007】
上記課題を解決する各態様を記載する。
態様1の膀胱がん用抗がん剤は、イノノツサンA、イノノツトリオールA、21,24-シクロペンタ-3β,21,25-トリヒドロキシラノスタ-8-エン、及びイノノツサンBから選ばれる少なくとも一種を有効成分として含有する。
【0008】
態様2は、態様1に記載の膀胱がん用抗がん剤において、前記有効成分は、チャーガから抽出されたものである。
態様3は、態様1又は2に記載の膀胱がん用抗がん剤において、前記膀胱がんは、筋層浸潤性膀胱がんである。
【発明の効果】
【0009】
本発明の膀胱がん用抗がん剤は、優れた抗膀胱がん作用を発揮できる。
【図面の簡単な説明】
【0010】
図1は、チャーガから画分15-9、画分25-3、画分25-5、及び画分26-2を得るための分画スキームを示す。
図2は、画分15-9の質量分析において、ESI-MS(ポジティブモード)の結果を示す。
図3は、画分25-3の質量分析において、ESI-MS(ポジティブモード)の結果を示す。
図4は、画分25-5の質量分析において、ESI-MS(ポジティブモード)の結果を示す。
図5は、画分26-2の質量分析において、ESI-MS(ポジティブモード)の結果を示す。
図6は、画分15-9中の成分(イノノツサンA)について、
1
H-NMRスペクトルの測定結果を示す。
図7は、画分25-3中の成分(イノノツトリオールA)について、
1
H-NMRスペクトルの測定結果を示す。
図8は、画分25-5中の成分(21,24-シクロペンタ-3β,21,25-トリヒドロキシラノスタ-8-エン)について、
1
H-NMRスペクトルの測定結果を示す。
図9は、画分26-2中の成分(イノノツサンB)について、
1
H-NMRスペクトルの測定結果を示す。
【発明を実施するための形態】
(【0011】以降は省略されています)
この特許をJ-PlatPat(特許庁公式サイト)で参照する
関連特許
個人
貼付剤
14日前
個人
足踏み器具
3日前
個人
短下肢装具
3か月前
個人
洗井間専家。
7か月前
個人
白内障治療法
8か月前
個人
嚥下鍛錬装置
4か月前
個人
排尿補助器具
27日前
個人
前腕誘導装置
3か月前
個人
アイマスク装置
2か月前
個人
汚れ防止シート
1か月前
個人
歯の修復用材料
4か月前
個人
バッグ式オムツ
4か月前
個人
腰ベルト
17日前
個人
胸骨圧迫補助具
2か月前
個人
矯正椅子
5か月前
個人
ホバーアイロン
7か月前
個人
ウォート指圧法
25日前
個人
湿布連続貼り機。
2か月前
個人
車椅子持ち上げ器
8か月前
個人
陣痛緩和具
4か月前
個人
シャンプー
6か月前
三生医薬株式会社
錠剤
7か月前
個人
歯の保護用シール
5か月前
個人
哺乳瓶冷まし容器
3か月前
個人
美容セット
5日前
個人
性行為補助具
3か月前
株式会社八光
剥離吸引管
5か月前
個人
エア誘導コルセット
2か月前
個人
服薬支援装置
7か月前
個人
治療用酸化防御装置
2か月前
株式会社コーセー
化粧料
24日前
株式会社結心
手袋
8か月前
株式会社大野
骨壷
4か月前
個人
形見の製造方法
4か月前
株式会社松風
口腔用組成物
4か月前
株式会社コロナ
サウナ装置
6か月前
続きを見る
他の特許を見る