TOP
|
特許
|
意匠
|
商標
特許ウォッチ
Twitter
他の特許を見る
10個以上の画像は省略されています。
公開番号
2025150086
公報種別
公開特許公報(A)
公開日
2025-10-09
出願番号
2024050786
出願日
2024-03-27
発明の名称
水電解システムの運用装置及び水電解システムの運用方法
出願人
株式会社日立製作所
代理人
弁理士法人信友国際特許事務所
主分類
C25B
15/023 20210101AFI20251002BHJP(電気分解または電気泳動方法;そのための装置)
要約
【課題】水電解スタックの劣化状態に応じて、安全性と経済性を考慮した運用条件を策定することができなかった。
【解決手段】水電解スタック21と、水電解スタック21に直流電力を供給する直流電源22と、水電解スタックに流れる電流を計測する電流監視装置24と、水電解スタック21に印加される電圧を計測する電圧監視装置23と、を有する水電解システム1の運用装置10において、時系列の電流計測値と電圧計測値を用いて劣化状態に応じて変化する水電解スタック21の電気抵抗を推定し、推定した電気抵抗を閾値と比較して水電解スタック21の劣化状態を判定し、水電解スタック21の劣化状態に応じて水電解スタック21の運用条件を定める演算部13と、演算部13が定めた水電解スタック21の運用条件を表示装置12に出力する表示制御部11と、を備える。
【選択図】図4
特許請求の範囲
【請求項1】
水電解スタックと、前記水電解スタックに直流電力を供給して前記水電解スタックを駆動させる直流電源と、前記水電解スタックに流れる電流を計測する電流監視装置と、前記水電解スタックに印加される電圧を計測する電圧監視装置と、を有する水電解システムの運用装置であって、
前記電流監視装置の電流計測値と前記電圧監視装置の電圧計測値を受け取り、時系列の前記電流計測値と前記電圧計測値を用いて劣化状態に応じて変化する前記水電解スタックの電気抵抗を推定し、推定した前記電気抵抗を、該電気抵抗が上昇しているかどうかを判定するための閾値と比較して前記水電解スタックの劣化状態を判定し、前記水電解スタックの劣化状態に応じて前記水電解スタックの運用条件を定める演算部と、
前記演算部が定めた前記水電解スタックの運用条件を表示装置に出力する表示制御部と、を備える
水電解システムの運用装置。
続きを表示(約 1,300 文字)
【請求項2】
複数の前記水電解スタックが多接続されており、
前記演算部は、前記水電解スタックの各々の劣化状態を判定し、前記水電解スタックの劣化状態に応じて、前記水電解スタックの運用条件を定める
請求項1に記載の水電解システムの運用装置。
【請求項3】
前記演算部は、
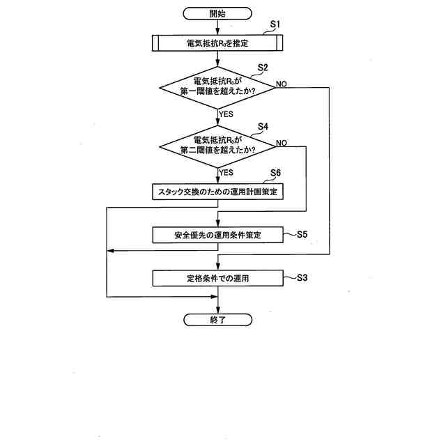
前記電気抵抗を前記閾値としての第一閾値と比較し、前記電気抵抗が第一閾値以下である場合は、前記水電解スタックに運用条件として定格条件を設定し、
前記電気抵抗が第一閾値を超える場合は、前記電気抵抗を第一閾値よりも大きい第二閾値と比較し、前記電気抵抗が第二閾値以下である場合は、前記水電解スタックに安全優先の運用条件を設定する
請求項1又は2に記載の水電解システムの運用装置。
【請求項4】
前記演算部は、時系列の前記電流計測値と前記電圧計測値を用いて劣化状態に応じて変化する前記水電解スタックの反応過電圧を推定し、
前記電気抵抗が第一閾値以下である場合は、前記反応過電圧を、該反応過電圧が上昇しているかどうかを判定するための反応過電圧閾値と比較し、前記反応過電圧が反応過電圧閾値以下である場合は、前記水電解スタックに運用条件として前記定格条件を設定し、
前記反応過電圧が反応過電圧閾値を超える場合は、前記水電解スタックの運用温度を上げる設定を行う
請求項3に記載の水電解システムの運用装置。
【請求項5】
前記演算部は、
前記電気抵抗が第一閾値を超える場合は、前記電気抵抗を第二閾値と比較し、前記電気抵抗が第二閾値を超える場合は、前記水電解スタックを交換するための運用計画を策定する
請求項3に記載の水電解システムの運用装置。
【請求項6】
前記安全優先の運用条件は、電解質膜の劣化を抑制するための運用条件である
請求項3に記載の水電解システムの運用装置。
【請求項7】
前記第一閾値は、前記水電解スタックの定格状態での運用時間と定格寿命の差が一定基準に達するときの電気抵抗の基準値であると定義された
請求項3に記載の水電解システムの運用装置。
【請求項8】
前記第二閾値は、前記水電解スタックの定格状態での運用時間と定格寿命が等しいときの電気抵抗の基準値であると定義された
請求項3に記載の水電解システムの運用装置。
【請求項9】
前記反応過電圧閾値は、前記水電解スタックの定格状態での運用時間と定格寿命の差が一定基準に達するときの反応過電圧の基準値であると定義された
請求項4に記載の水電解システムの運用装置。
【請求項10】
前記直流電源は直流電力を定常状態から変化させ、
前記演算部は、前記直流電源の直流電力が定常状態から変化した後の、所定の時間間隔で計測された前記電流計測値と前記電圧計測値とを取得し、前記所定の時間間隔における前記電流計測値の差分と前記電圧計測値の差分を利用して、任意の時刻における前記水電解スタックの前記電気抵抗を推定する
請求項1に記載の水電解システムの運用装置。
(【請求項11】以降は省略されています)
発明の詳細な説明
【技術分野】
【0001】
本発明は、水電解システムの運用装置及び水電解システムの運用方法に関する。
続きを表示(約 1,700 文字)
【背景技術】
【0002】
近年、二酸化炭素をはじめとする温室効果ガスの排出量増加に伴い、地球温暖化等の環境問題や石油資源の枯渇等のエネルギー問題等が注目を集めている。このような観点から、クリーンな代替エネルギーとして水素エネルギーが注目されている。しかし、水素エネルギーで既存の化石燃料を代替するためには、大量の水素が必要となる。
【0003】
水素を製造する手段の1つとして、水電解装置がある。地球温暖化の抑制に向けて、大規模な水電解装置の実証プロジェクトが進んでいる。中でも、欧州では洋上風力の発電電力を活用した数十MWの水素製造装置の実証プロジェクトが進行しており、今後も水電解装置の大型化は継続するものと考えられる。水電解装置によるMW級の水素製造において、水電解スタック(水電解槽)は、数百V、数千Aという低電圧及び大電流特性を有しているのが特徴である。
【0004】
ところで、水電解スタックを停止すると酸素発生電極に塗布された触媒が酸化還元され、電極の劣化が進むことが知られている。さらに、多直並列構成の水電解システムの場合、電極上の高酸化状態にある酸化物が放電することにより、水電解スタックに大きな逆電流が流れる可能性があり、劣化はさらに進んでしまう。また、水電解スタックが停止している間は水素を製造できないため、経済的な損失が生じる。
【0005】
その一方で、水電解スタックは運用時間が長くなると、反応にかかわる過電圧が高くなる。このため、安全かつ安価に水素製造を実現するために、電気化学特性の変化に応じて水電解装置の運用計画を策定する必要がある。従来は、水電解装置の定常時における水電解スタックの電圧を計測し、劣化していない水電解スタックの同一条件における電圧上昇と比較することで、水電解装置の運用シーケンスを決める。
【0006】
例えば、特許文献1には、水電解槽の運用条件(電圧、電流、温度)に着目し、電流及び温度に対する電圧マップ、並びに、電圧及び温度に対する電流マップのいずれかである性能マップを、計測した水電解槽の電流値、電圧値、温度値に基づいて更新し、水電解槽を運用する水電解システムが開示されている。
【先行技術文献】
【特許文献】
【0007】
特開2023-128750号公報
【発明の概要】
【発明が解決しようとする課題】
【0008】
水電解スタックの電圧上昇と関わる要因として、主に(1)電解質膜の導電率低下による電気抵抗の上昇と、(2)触媒の脱落・比表面積の減少による反応過電圧の上昇が挙げられる。
【0009】
前者(1)は、電解質膜にピンポールなどの破損が発生したことによる電気抵抗の上昇である可能性がある。電解質膜の導電率低下による電気抵抗の上昇は、電解質膜の破損による水素と酸素の混合を招き、水電解装置の停止につながる。このように、電気抵抗の上昇幅によっては水電解装置の停止などの重大な事象につながるリスクがあるため、水電解スタックの運用条件を慎重に決める必要がある。
他方、後者(2)は重大な事象につながるリスクは低い。触媒の脱落・比表面積の減少による反応過電圧の上昇は、触媒劣化によって生じており、電解質膜の破損を誘導しない。このため、反応過電圧の上昇があっても、重大な事象につながるリスクは小さい。
【0010】
上述した特許文献1に記載の水電解システムでは、定常状態時の電圧、電流、温度で水電解槽の状態を診断し、水電解槽を運用している。この特許文献1に記載の水電解システムは、定常状態時の計測結果を基に診断することから、過電圧上昇の要因が分離されていないため、過電圧の発生要因に基づく適切な運用計画を策定することは困難である。例えば、電解質膜の導電率低下により、電気抵抗が上昇しているときに経済性を重視し、水電解槽の温度を上昇させて電解効率を向上する運用を試みると、電解質膜が破損し、水素と酸素が混合する可能性がある。
(【0011】以降は省略されています)
この特許をJ-PlatPat(特許庁公式サイト)で参照する
関連特許
株式会社カネカ
可撓性ガス拡散電極
17日前
本田技研工業株式会社
電解装置
28日前
一般財団法人電力中央研究所
電解反応装置
13日前
本田技研工業株式会社
水電解スタック
13日前
本田技研工業株式会社
CO2電解装置
13日前
株式会社荏原製作所
蒸気発電プラント
6日前
SECカーボン株式会社
カソードアセンブリ
9日前
本田技研工業株式会社
電解セルの製造方法
21日前
古河電気工業株式会社
端子
7日前
NOK株式会社
セルユニット
17日前
NOK株式会社
セルユニット
17日前
NOK株式会社
セルユニット
17日前
株式会社豊田中央研究所
電極
17日前
NOK株式会社
セルユニット
17日前
三菱マテリアル株式会社
皮膜付端子材及びその製造方法
7日前
本田技研工業株式会社
膜電極構造体の製造方法
7日前
東京瓦斯株式会社
水電解システム
24日前
三菱重工業株式会社
皮膜形成装置
6日前
本田技研工業株式会社
電気化学式水素昇圧システム
2日前
本田技研工業株式会社
電気化学式水素昇圧システム
13日前
日本特殊陶業株式会社
ホットモジュール
7日前
日本特殊陶業株式会社
ホットモジュール
7日前
株式会社東芝
電解装置及び電解方法
21日前
株式会社デンソー
セル制御システム
6日前
三菱マテリアル株式会社
酸性電解銅めっき液
27日前
株式会社アイシン
電解システム
7日前
株式会社アイシン
電解システム
8日前
三菱マテリアル株式会社
めっき皮膜付銅端子材及びその製造方法
13日前
日本特殊陶業株式会社
固体酸化物形電解セルおよびその利用
7日前
日本特殊陶業株式会社
固体酸化物形電解セルおよびその利用
7日前
日本特殊陶業株式会社
固体酸化物形電解セルおよびその利用
7日前
株式会社東芝
電解装置および電解方法
13日前
日本特殊陶業株式会社
固体酸化物形電解セルおよびその利用
7日前
一般財団法人電力中央研究所
アンモニア処理設備、発電設備
13日前
日本特殊陶業株式会社
固体酸化物形電解セルおよびその利用
7日前
ノリタケ株式会社
燃料極の評価方法および電気化学セルの製造方法
6日前
続きを見る
他の特許を見る