TOP
|
特許
|
意匠
|
商標
特許ウォッチ
Twitter
他の特許を見る
10個以上の画像は省略されています。
公開番号
2025146686
公報種別
公開特許公報(A)
公開日
2025-10-03
出願番号
2025018397
出願日
2025-02-06
発明の名称
表示光学系および表示装置
出願人
キヤノン株式会社
代理人
個人
,
個人
,
個人
主分類
G02B
17/08 20060101AFI20250926BHJP(光学)
要約
【課題】表示光学系に波長分散特性を制御できる回折面を用いて、全長を短縮しつつ倍率色収差や非点収差等の諸収差を低減する。
【解決手段】表示光学系Lは、表示面IDに表示された画像を観察側にて表示する表示光学系であり、第1の反射面HM1と、第2の反射面とHM2と、波長分散特性が制御された回折面moeとを有する。基準波長をd線、主分散をF線とC線としたときの回折面のアッベ数ν
0
は、-0.2<1/ν
0
<0.2なる条件を満足する。
【選択図】図1
特許請求の範囲
【請求項1】
表示面に表示された画像を観察側にて表示する表示光学系であって、
第1の反射面と、
第2の反射面と、
波長分散特性が制御された回折面とを有し、
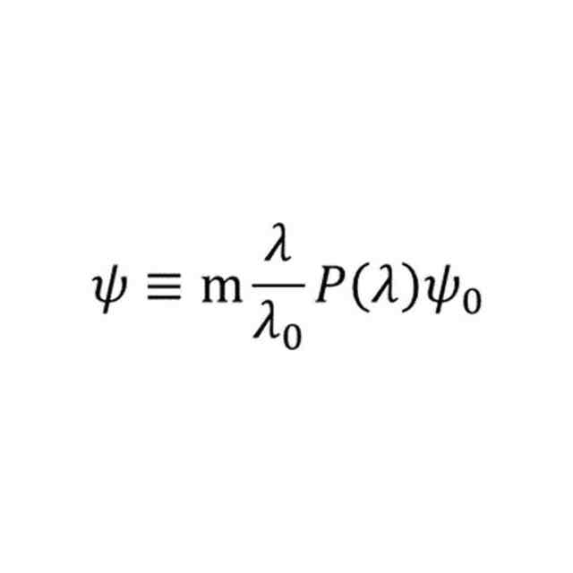
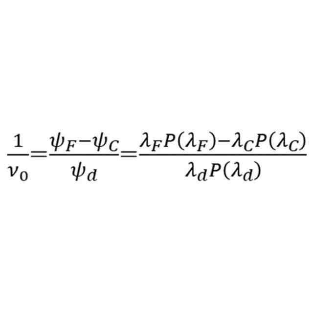
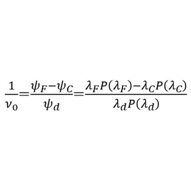
基準波長をd線、主分散をF線とC線としたときの前記回折面のアッベ数をν
0
とし、d線、F線およびC線のそれぞれの波長λ
d
、λ
F
、λ
C
における光路差関数をψ
d
、ψ
F
、ψ
C
、それぞれの波長λ
d
、λ
F
、λ
C
における面の光路差分散をP(λ
d
)、P(λ
F
)、P(λ
C
)として、
JPEG
2025146686000012.jpg
19
104
であるとき、
-0.2<1/ν
0
<0.2
なる条件を満足することを特徴とする表示光学系。
続きを表示(約 1,200 文字)
【請求項2】
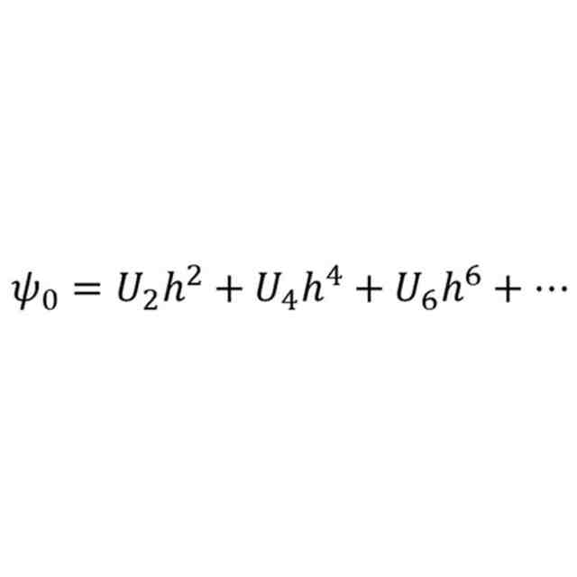
前記回折面の焦点距離をfmoe、前記表示光学系の焦点距離をfとするとき、
0.5<fmoe/f<3.0
なる条件を満足することを特徴とする請求項1に記載の表示光学系。
【請求項3】
前記第1および第2の反射面の合成焦点距離をfref、前記表示光学系の焦点距離をfとするとき、
-0.6<f/fref<0.6
なる条件を満足することを特徴とする請求項1に記載の表示光学系。
【請求項4】
少なくとも1つの屈折レンズを有することを特徴とする請求項1に記載の表示光学系。
【請求項5】
前記屈折レンズの焦点距離をf_lens、前記表示光学系の焦点距離をfとするとき、
-0.6<f/f_lens<0.6
なる条件を満足することを特徴とする請求項4に記載の表示光学系。
【請求項6】
前記屈折レンズのd線を基準とするアッベ数をνd_lensとするとき、
40<νd_lens<80
なる条件を満足することを特徴とする請求項4に記載の表示光学系。
【請求項7】
前記表示光学系の焦点距離をf、前記表示光学系に含まれる光学面のうち前記表示面に対して最も近い光学面と最も遠い光学面との間の光軸上の距離をOLとするとき、
0.1<OL/f<1.0
なる条件を満足することを特徴とする請求項1に記載の表示光学系。
【請求項8】
前記表示光学系の焦点距離をf、前記表示面における最大像高をHととするとき、
0.5<H/f<1.0
なる条件を満足することを特徴とする請求項1に記載の表示光学系。
【請求項9】
前記最大像高から前記観察面の中心に到達する光線が、前記表示面における光軸中心から離れた位置から出射することを特徴とする請求項8に記載の表示光学系。
【請求項10】
前記回折面の主分散をg線とF線とするときのF線以下の波長域でのアッベ数をν
0,gF
とし、d線、g線およびF線のそれぞれの波長λ
d
、λ
g
、λ
F
における光路差関数をψ
d
、ψ
g
、ψ
F
、それぞれの波長λ
d
、λ
g
、λ
F
における面の光路差分散をP(λ
d
)、P(λ
g
)、P(λ
F
)として、
JPEG
2025146686000013.jpg
20
105
であるとき、
-0.02<1/ν
0,gF
<0.02
なる条件を満足することを特徴とする請求項1に記載の表示光学系。
(【請求項11】以降は省略されています)
発明の詳細な説明
【技術分野】
【0001】
本発明は、ヘッドマウントディスプレイ(HMD)等に好適な表示光学系に関する。
続きを表示(約 1,500 文字)
【背景技術】
【0002】
表示素子に表示された原画像を光学系により拡大して観察者に提示するHMDは観察者の頭部に装着されるため、光学系には、広視野かつ高い光学性能を有しつつ、小型(薄型)であることが求められる。特許文献1には、反射面を用いた光学系が開示されている。
【0003】
一方、従来の回折面とは異なり、4分の1波長サイズの微細形状を用いて波長分散特性が制御された回折面が特許文献2に開示されている。
【先行技術文献】
【特許文献】
【0004】
特許第7207986号公報
米国特許第10,670,782号明細書
【発明の概要】
【発明が解決しようとする課題】
【0005】
特許文献1にて開示された光学系では、倍率色収差と非点収差の補正が不足しており、十分な光学性能が得られていない。またこの光学系には、光学要素として強い屈折力を有する屈折レンズが用いられており、そのレンズの厚みやコバの制約が広い視野角を得るための光学系の全長に大きな影響を与える。このため、光学系の全長と重量の増加を招いている。
【0006】
本発明は、波長分散特性を制御できる回折面を用いて、全長を短縮しつつ倍率色収差や非点収差等の諸収差を低減できるようにした表示光学系および表示装置を提供する。
【課題を解決するための手段】
【0007】
本発明の一側面としての表示光学系は、表示面に表示された画像を観察側にて表示する表示光学系であり、第1の反射面と、第2の反射面と、波長分散特性が制御された回折面とを有する。基準波長をd線、主分散をF線とC線としたときの回折面(またはメタサーフェス)のアッベ数ν
0
は、
-0.2<1/ν
0
<0.2
なる条件を満足することを特徴とする。アッベ数ν
0
については後述する。なお、上記表示光学系を有する表示装置も、本発明の他の一側面を構成する。
【発明の効果】
【0008】
本発明によれば、波長分散特性を制御できる回折面を用いて、全長を短縮しつつ倍率色収差や非点収差等の諸収差を低減できる表示光学系を提供することができる。
【図面の簡単な説明】
【0009】
実施例1の表示光学系の断面図。
実施例1の表示光学系の収差図。
実施例2の表示光学系の断面図。
実施例2の表示光学系の収差図。
実施例3の表示光学系の断面図。
実施例3の表示光学系の収差図。
実施例4の表示光学系の断面図。
実施例4の表示光学系の収差図。
実施例5の表示光学系の断面図。
実施例5の表示光学系の収差図。
実施例6の表示光学系の断面図。
実施例6の表示光学系の収差図。
実施例7の表示光学系の断面図。
実施例7の表示光学系の収差図。
実施例8の表示光学系の断面図。
実施例8の表示光学系の収差図。
実施例9の表示光学系の断面図。
実施例9の表示光学系の収差図。
各実施例における偏光を利用した光学系の光路の説明図。
各実施例における偏光を利用した光学系の光路の別の説明図。
各実施例の表示光学系を用いたHMDを示す図。
【発明を実施するための形態】
【0010】
以下、本発明の実施例について図面を参照しながら説明する。
(【0011】以降は省略されています)
この特許をJ-PlatPat(特許庁公式サイト)で参照する
関連特許
キヤノン株式会社
トナー
今日
キヤノン株式会社
撮像装置
今日
キヤノン株式会社
電子機器
2日前
キヤノン株式会社
記録装置
今日
キヤノン株式会社
定着装置
8日前
キヤノン株式会社
収容装置
8日前
キヤノン株式会社
表示装置
7日前
キヤノン株式会社
発光装置
7日前
キヤノン株式会社
電子機器
4日前
キヤノン株式会社
現像剤容器
1日前
キヤノン株式会社
半導体装置
2日前
キヤノン株式会社
画像形成装置
4日前
キヤノン株式会社
吐出素子基板
今日
キヤノン株式会社
画像形成装置
4日前
キヤノン株式会社
映像表示装置
4日前
キヤノン株式会社
画像形成装置
8日前
キヤノン株式会社
画像形成装置
2日前
キヤノン株式会社
画像処理装置
1日前
キヤノン株式会社
画像形成装置
4日前
キヤノン株式会社
表示システム
1日前
キヤノン株式会社
画像表示装置
今日
キヤノン株式会社
画像形成装置
1日前
キヤノン株式会社
画像形成装置
1日前
キヤノン株式会社
画像形成装置
4日前
キヤノン株式会社
情報処理装置
今日
キヤノン株式会社
画像形成装置
4日前
キヤノン株式会社
画像形成装置
4日前
キヤノン株式会社
画像形成装置
8日前
キヤノン株式会社
画像形成装置
8日前
キヤノン株式会社
画像形成装置
7日前
キヤノン株式会社
画像形成装置
7日前
キヤノン株式会社
画像形成装置
7日前
キヤノン株式会社
画像形成装置
今日
キヤノン株式会社
画像形成装置
4日前
キヤノン株式会社
画像形成装置
4日前
キヤノン株式会社
画像形成装置
4日前
続きを見る
他の特許を見る