TOP
|
特許
|
意匠
|
商標
特許ウォッチ
Twitter
他の特許を見る
10個以上の画像は省略されています。
公開番号
2025141281
公報種別
公開特許公報(A)
公開日
2025-09-29
出願番号
2024041150
出願日
2024-03-15
発明の名称
二次電池用制御装置および二次電池の制御方法
出願人
株式会社日立製作所
代理人
弁理士法人磯野国際特許商標事務所
主分類
H01M
10/48 20060101AFI20250919BHJP(基本的電気素子)
要約
【課題】二次電池の状態を適切に推定できるようにする。
【解決手段】第1の二次電池または他の第2の二次電池に対して、所定の基準経過時間以上に渡って予め測定した、通電後の休止期間における経過時間tに対する電圧値のプロットである、一または複数の基準曲線v
i
(t)を記憶部403から読み出す機能と、基準経過時間よりも短いデータ取得期間tdに渡って、休止時の第1の二次電池について計測した実測値と、の関係に基づいて、一の基準曲線を選択する機能と、選択した基準曲線の基準経過時間またはそれ以降における電圧値に基づいて、第1の二次電池の開回路電圧を推定する機能と、を計算部400,401,404に設けた。
【選択図】図7
特許請求の範囲
【請求項1】
第1の二次電池に対する通電および休止を実行する実行部と、計算部と、を備え、
前記計算部は、
前記第1の二次電池または他の第2の二次電池に対して、所定の基準経過時間以上に渡って予め測定した、通電後の休止期間における経過時間に対する電圧値のプロットである、一または複数の基準曲線を記憶部から読み出す機能と、
前記基準経過時間よりも短いデータ取得期間に渡って、休止時の前記第1の二次電池について計測した実測値と、の関係に基づいて、一の前記基準曲線を選択する機能と、
選択した前記基準曲線の前記基準経過時間またはそれ以降における前記電圧値に基づいて、前記第1の二次電池の開回路電圧を推定する機能と、を備える
ことを特徴とする二次電池用制御装置。
続きを表示(約 1,600 文字)
【請求項2】
前記計算部は、
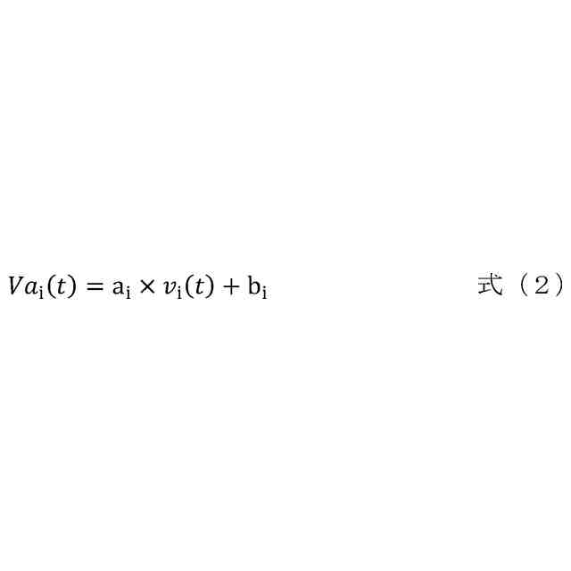
各々の前記基準曲線に対して第1の実数を乗算し、乗算結果に第2の実数を加算することによって、各々の前記基準曲線に対応する補正後基準曲線を算出する機能と、
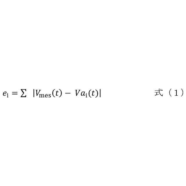
各々の前記補正後基準曲線と前記実測値との差分値が最小になるように、各々の前記基準曲線に対応して前記第1および第2の実数を決定する機能と、をさらに備え、
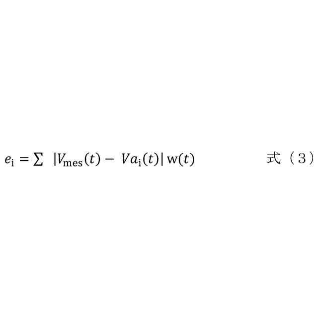
前記開回路電圧を推定する機能は、一または複数の前記補正後基準曲線のうち前記実測値との前記差分値が最小である前記補正後基準曲線の前記基準経過時間またはそれ以降における前記電圧値を、前記第1の二次電池の開回路電圧を推定するものである
ことを特徴とする請求項1に記載の二次電池用制御装置。
【請求項3】
前記計算部は、
複数の前記経過時間における前記実測値と前記補正後基準曲線における前記電圧値との差分の絶対値の総和を前記差分値とする
ことを特徴とする請求項2に記載の二次電池用制御装置。
【請求項4】
前記計算部は、
複数の前記経過時間における前記実測値と前記補正後基準曲線における前記電圧値との差分の絶対値に所定の重み関数を乗算した結果の総和を前記差分値とする
ことを特徴とする請求項2に記載の二次電池用制御装置。
【請求項5】
前記計算部は、
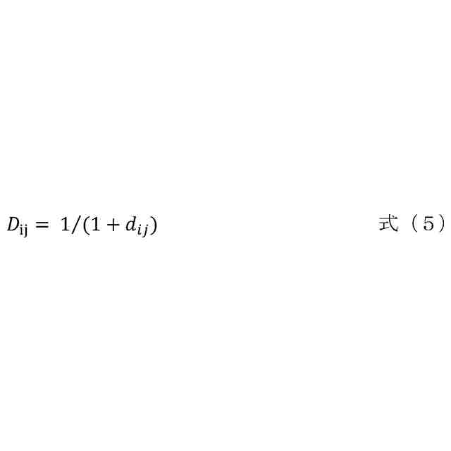
前記電圧値と前記経過時間とを軸とする二次元平面において、前記経過時間および前記実測値による複数の計測点と各々の前記計測点に対する前記補正後基準曲線における直近の点との距離の総和を前記差分値とする
ことを特徴とする請求項2に記載の二次電池用制御装置。
【請求項6】
前記計算部は、
前記第1の二次電池において前記基準経過時間以上の前記休止期間が発生すると、前記休止期間における前記第1の二次電池の電圧に基づいて、新たな前記基準曲線を生成する
ことを特徴とする請求項2に記載の二次電池用制御装置。
【請求項7】
前記記憶部は、
有線または無線により、複数の二次電池用制御装置と通信する
ことを特徴とする請求項6に記載の二次電池用制御装置。
【請求項8】
前記実行部は、前記第1の二次電池に対して充電または放電である通電動作と、休止動作とを繰り返し実行させるものであり、
前記計算部は、
前記休止動作の度に、前記第1の二次電池における累積した充電または放電の容量値である累積容量値と、前記第1の二次電池の開回路電圧の推定値である開回路電圧推定値と、を取得する機能と、
前記累積容量値と、前記開回路電圧推定値と、を前記記憶部に記憶させる機能と、
前記累積容量値と、前記開回路電圧推定値と、に基づいて、前記第1の二次電池の充電曲線または放電曲線を取得する機能と、をさらに備える
ことを特徴とする請求項1ないし7の何れか一項に記載の二次電池用制御装置。
【請求項9】
第1の二次電池に対する通電および休止を実行させる過程と、
前記第1の二次電池または他の第2の二次電池に対して、所定の基準経過時間以上に渡って予め測定した、通電後の休止期間における経過時間に対する電圧値のプロットである、一または複数の基準曲線を記憶部から読み出す過程と、
前記基準経過時間よりも短いデータ取得期間に渡って、休止時の前記第1の二次電池について計測した実測値と、の関係に基づいて、一の前記基準曲線を選択する過程と、
選択した前記基準曲線の前記基準経過時間またはそれ以降における前記電圧値に基づいて、前記第1の二次電池の開回路電圧を推定する過程と、をコンピュータに実行させる
ことを特徴とする二次電池の制御方法。
発明の詳細な説明
【技術分野】
【0001】
本発明は、二次電池用制御装置および二次電池の制御方法に関する。
続きを表示(約 2,600 文字)
【背景技術】
【0002】
本技術分野の背景技術として、下記特許文献1の明細書、段落0080には、「以上説明したように、本発明によって、二次電池の内部における正極全体の充放電カーブと負極全体の充放電カーブの状況を非破壊で知ることができる。これにより、非破壊で電池劣化の要因を特定でき、高精度な寿命判定が可能になる。さらに、本発明によれば、再現計算の結果を応用することによって、劣化電池の適切な使用範囲を高精度で判断したり、充放電反応種の減少量を非破壊で取得したりすることも可能である。」と記載されている。
また、下記特許文献2の要約には、「開放電圧測定手段23a-1が、バッテリの充電又は放電が終了した後、予め定めた時間を経過してから一定の時間の間にバッテリの開放電圧を測定する。近似式決定手段23a-2が、複数の開放電圧と、想定した想定開回路電圧との差値により、べき数が負である予め定めた累乗近似式を決定する。演算制御手段23a-3は、累乗近似式のべき数が-0.5となるか、又は、略-0.5となるまで、累乗近似式の決定を近似式決定手段に想定開回路電圧を更新して繰り返し実行させ、何れかが満たされたときの想定開回路電圧を開回路電圧と推定する。」と記載されている。
【先行技術文献】
【特許文献】
【0003】
特許第4884404号公報
特開2002-234408号公報
【発明の概要】
【発明が解決しようとする課題】
【0004】
ところで、上述した技術において、二次電池の状態を一層適切に推定したいという要望がある。
この発明は上述した事情に鑑みてなされたものであり、二次電池の状態を適切に推定できる二次電池用制御装置および二次電池の制御方法を提供することを目的とする。
【課題を解決するための手段】
【0005】
上記課題を解決するため本発明の二次電池用制御装置は、
第1の二次電池に対する通電および休止を実行する実行部と、計算部と、を備え、前記計算部は、前記第1の二次電池または他の第2の二次電池に対して、所定の基準経過時間以上に渡って予め測定した、通電後の休止期間における経過時間に対する電圧値のプロットである、一または複数の基準曲線を記憶部から読み出す機能と、前記基準経過時間よりも短いデータ取得期間に渡って、休止時の前記第1の二次電池について計測した実測値と、の関係に基づいて、一の前記基準曲線を選択する機能と、選択した前記基準曲線の前記基準経過時間またはそれ以降における前記電圧値に基づいて、前記第1の二次電池の開回路電圧を推定する機能と、を備えることを特徴とする。
【発明の効果】
【0006】
本発明によれば、二次電池の状態を適切に推定できる。
【図面の簡単な説明】
【0007】
リチウムイオン電池のセルの構造を概念的に示す断面図の一例である。
極板群の構成を概念的に示す断面図の一例である。
電池システムの概念的なブロック図である。
他の電池システムの概念的なブロック図である。
他の電池システムの概念的なブロック図である。
他の電池システムの概念的なブロック図である。
制御装置の構成の一例を概念的に示すブロック図である。
電池の休止期間における電圧緩和プロットの実測値と、補正後基準曲線と、の一例を示す図である。
誤差としてL2ノルムを適用する場合の説明図である。
診断運転処理ルーチンのフローチャートである。
再現計算処理の結果の一例を示す図である。
第1実施例等に対するOCV推定値の誤差を示す図である。
第2実施例等に対するOCV推定値の誤差を示す図である。
【発明を実施するための形態】
【0008】
[実施形態の概要]
リチウムイオン電池は、非水電解質二次電池の一つでありエネルギー密度が高いため、携帯機器のバッテリーや、近年では電気自動車のバッテリーとしても用いられている。但し、リチウムイオン電池は使用に伴い劣化し、内部抵抗の上昇や充放電容量の減少を生じることが知られている。リチウムイオン電池では、正極の活物質としてリチウム金属酸化物、負極の活物質として黒鉛などの炭素材料やシリコン材料、リチウム金属酸化物などが用いられる。リチウムイオン電池の正極および負極は、微小な活物質粒子群にバインダや導電剤等を加えてスラリー化した後、金属箔に塗布して形成する。
【0009】
リチウムイオン電池の内部では、充電時には正極の活物質から放出されたリチウムイオンが負極の活物質に吸蔵され、放電時には負極の活物質に吸蔵されたリチウムイオンが放出され正極の活物質に吸蔵される。このように、リチウムイオンが電極間を移動することで外部回路の電極間に電流が流れる。このようなリチウムイオン電池では、例えば以下のような要因によって、容量が減少する。
(1)正極活物質の電気的な孤立、
(2)負極活物質の電気的な孤立、
(3)電極間を往来するリチウムイオンの固定化
【0010】
上述した特許文献1を応用した技術においては、任意の容量だけ充電あるいは放電した後に開回路状態で保持することで当該の充電容量あるいは放電容量に対応する開回路電圧(以下、適宜OCV(Open Circuit Voltage)という)を取得する、というプロセスによって、二次電池の充放電カーブ(曲線)を得ることが可能であると考えられる。また、微小な電流値で二次電池を充電あるいは放電することによっても、充放電カーブが得られると考えられる。このような手法を採る理由は、電流印加時には電気化学的な過電圧により二次電池の充放電曲線が変形してしまい、診断精度が担保できないためである。そのため、二次電池の充放電曲線を得るためには長時間の測定が必要であり、その間は二次電池システムの稼働を停止することになるためユーザの利便性を損なう恐れがある。
(【0011】以降は省略されています)
この特許をJ-PlatPat(特許庁公式サイト)で参照する
関連特許
株式会社日立製作所
鉄道車両
10日前
株式会社日立製作所
半導体装置
18日前
株式会社日立製作所
ガス濃度測定装置
10日前
株式会社日立製作所
形状制御システム
4日前
株式会社日立製作所
計画装置および計画方法
16日前
株式会社日立製作所
訓練システムおよび訓練方法
6日前
株式会社日立製作所
管理システムおよび管理方法
6日前
株式会社日立製作所
費用対効果算出方法および装置
4日前
株式会社日立製作所
情報処理装置及び情報処理方法
2日前
株式会社日立製作所
回転電機および電動機システム
2日前
株式会社日立製作所
情報処理装置及び情報処理方法
6日前
株式会社日立製作所
状態検知装置及び状態検知方法
18日前
株式会社日立製作所
電力変換器およびインバータ装置
6日前
株式会社日立製作所
情報処理システム、及び予測方法
3日前
株式会社日立製作所
異常検知システム及び異常検知方法
16日前
株式会社日立製作所
物流計画システム及び物流計画方法
4日前
株式会社日立製作所
Webページ更新管理装置及び方法
10日前
株式会社日立製作所
音声分析システム及び音声分析方法
10日前
株式会社日立製作所
建物管理システム及び建物管理方法
16日前
株式会社日立製作所
昇降機システム及び昇降機制御方法
6日前
株式会社日立製作所
計算機システム及びデータ検索方法
6日前
株式会社日立製作所
電力監視システムおよび電力監視方法
16日前
株式会社日立製作所
データ出力装置およびデータ出力方法
6日前
株式会社日立製作所
通貨管理システム、及び通貨管理方法
10日前
株式会社日立製作所
設計図書のチェックシステムおよび方法
2日前
株式会社日立製作所
仮想空間生成装置および仮想空間生成方法
2日前
株式会社日立製作所
支援装置、支援方法、及び支援プログラム
16日前
株式会社日立製作所
計算機システム及びタスクの割当制御方法
16日前
株式会社日立製作所
ビル設備制御システム及びビル設備制御方法
6日前
株式会社日立製作所
統合装置、統合方法、および統合プログラム
6日前
株式会社日立製作所
サービス管理システム及びサービス管理方法
16日前
株式会社日立製作所
作業認識支援システム及び作業認識支援方法
6日前
株式会社日立製作所
電力運用管理システム及び電力運用管理方法
16日前
株式会社日立製作所
ノイズ低減方法、装置、電子機器及び可読媒体
3日前
株式会社日立製作所
仮想化システム及び仮想化システムの制御方法
4日前
株式会社日立製作所
磁場発生装置およびそれを用いた磁気冷凍装置
6日前
続きを見る
他の特許を見る