TOP
|
特許
|
意匠
|
商標
特許ウォッチ
Twitter
他の特許を見る
10個以上の画像は省略されています。
公開番号
2025143987
公報種別
公開特許公報(A)
公開日
2025-10-02
出願番号
2024043533
出願日
2024-03-19
発明の名称
情報処理システム、及び予測方法
出願人
株式会社日立製作所
代理人
藤央弁理士法人
主分類
G16H
50/00 20180101AFI20250925BHJP(特定の用途分野に特に適合した情報通信技術)
要約
【課題】治療法とバイオマーカーの未知の関係の予測精度を向上する。
【解決手段】治療法とバイオマーカーと疾患の既知の三項関係から、治療法とバイオマーカーの未知の二項関係を予測する情報処理システムであって、前記既知の三項関係から、前記疾患毎に、前記治療法と前記バイオマーカーの二項関係を表現する疾患別二部グラフを生成し、前記疾患別二部グラフから、前記治療法同士の疾患別治療法間類似度、前記治療法同士の疾患横断型治療法間類似度、前記バイオマーカー同士の疾患別バイオマーカー間類似度、及び前記バイオマーカー同士の疾患横断型バイオマーカー間類似度を算出し、未知のエッジの疾患別予測スコアと疾患横断型予測スコアを算出し、出力する。
【選択図】図1
特許請求の範囲
【請求項1】
治療法とバイオマーカーと疾患の既知の三項関係から、治療法とバイオマーカーの未知の二項関係を予測する情報処理システムであって、
所定の処理を実行する演算装置と、前記演算装置に接続された記憶デバイスとを有する計算機によって構成され、
前記演算装置が、前記既知の三項関係から、前記疾患毎に、前記治療法と前記バイオマーカーの二項関係を表現する疾患別二部グラフを生成する二部グラフ生成部と、
前記演算装置が、前記疾患別二部グラフから、疾患毎の前記治療法同士の疾患別治療法間類似度、全ての疾患における前記治療法同士の疾患横断型治療法間類似度、疾患毎の前記バイオマーカー同士の疾患別バイオマーカー間類似度、及び全ての疾患における前記バイオマーカー同士の疾患横断型バイオマーカー間類似度を算出するノード間類似度算出部と、
前記演算装置が、前記疾患別二部グラフ、前記疾患別治療法間類似度、前記疾患横断型治療法間類似度、前記疾患別バイオマーカー間類似度、及び前記疾患横断型バイオマーカー間類似度を用いて、未知のエッジの疾患別予測スコアと疾患横断型予測スコアの少なくとも一つを算出する未知エッジ予測部と、
前記演算装置が、前記疾患別治療法間類似度、前記疾患横断型治療法間類似度、前記疾患別バイオマーカー間類似度、前記疾患横断型バイオマーカー間類似度、前記疾患別予測スコア、及び前記疾患横断型予測スコアの少なくとも一つを出力する出力部と、を備えることを特徴とする情報処理システム。
続きを表示(約 2,800 文字)
【請求項2】
請求項1に記載の情報処理システムであって、
前記二部グラフ生成部は、前記疾患別二部グラフのエッジを表現する疾患別隣接行列G
(i)
を生成し、
前記ノード間類似度算出部は、
前記疾患別隣接行列G
(i)
に基づいて、前記疾患別治療法間類似度を表す疾患別治療法間類似度行列T
(i)
、
前記疾患別隣接行列G
(i)
に基づいて、前記疾患別バイオマーカー間類似度を表す疾患別バイオマーカー間類似度行列B
(i)
、
前記疾患別隣接行列G
(i)
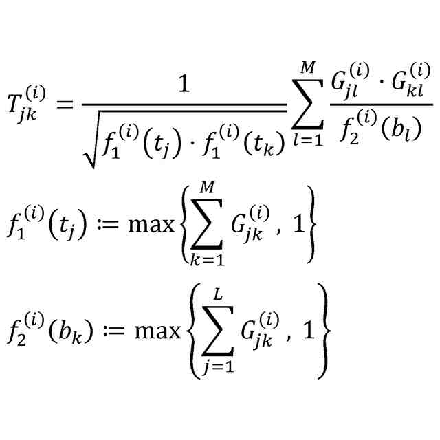
及び前記疾患別治療法間類似度行列T
(i)
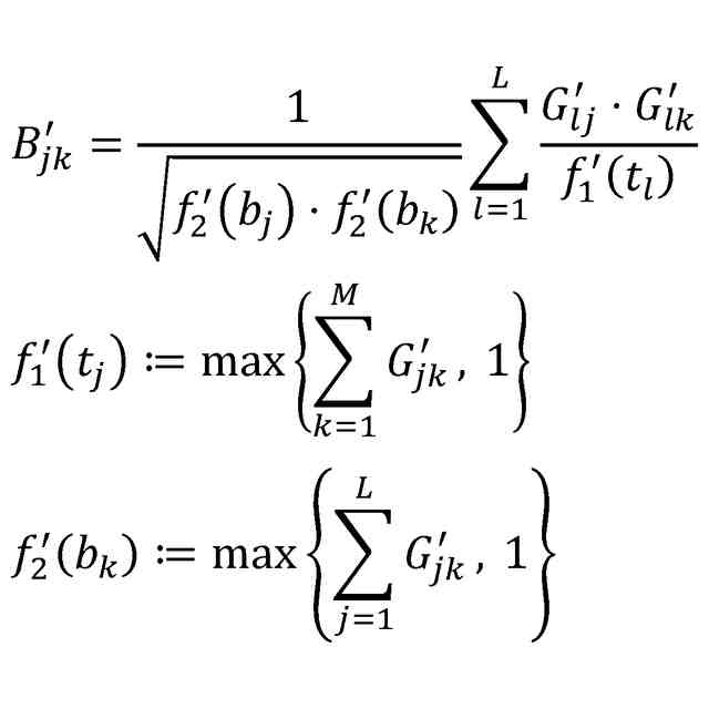
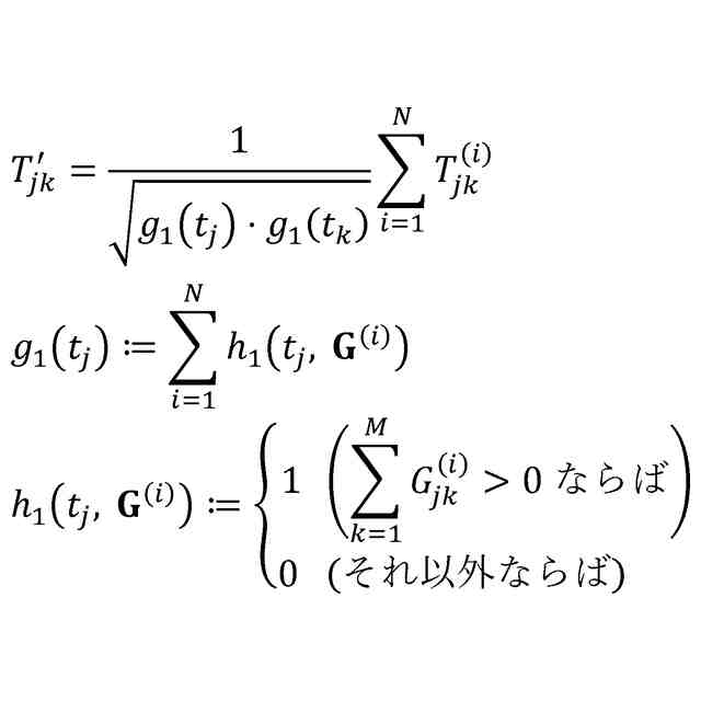
に基づいて、前記疾患横断型治療法間類似度を表す疾患横断型治療法間類似度行列T'、及び
前記疾患別隣接行列G
(i)
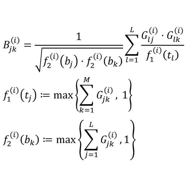
及び前記疾患別バイオマーカー間類似度行列B
(i)
に基づいて、前記疾患横断型バイオマーカー間類似度を表す疾患横断型バイオマーカー間類似度行列B'を算出することを特徴とする情報処理システム。
【請求項3】
請求項2に記載の情報処理システムであって、
前記ノード間類似度算出部は、
前記疾患別隣接行列G
(i)
におけるノードの共通性に基づいて前記疾患別治療法間類似度行列T
(i)
、
前記疾患別隣接行列G
(i)
におけるノードの共通性に基づいて前記疾患別バイオマーカー間類似度行列B
(i)
、
前記疾患別隣接行列G
(i)
及び前記疾患別治療法間類似度行列T
(i)
におけるノードの共通性に基づいて前記疾患横断型治療法間類似度行列T'、及び
前記疾患別隣接行列G
(i)
及び前記疾患別バイオマーカー間類似度行列B
(i)
におけるノードの共通性に基づいて前記疾患横断型バイオマーカー間類似度行列B'を算出することを特徴とする情報処理システム。
【請求項4】
請求項3に記載の情報処理システムであって、
前記ノード間類似度算出部は、
前記疾患別隣接行列G
(i)
において共通して繋がるノードの数が多ければ類似度が高くなる前記疾患別治療法間類似度行列T
(i)
、及び
前記疾患別隣接行列G
(i)
において共通して繋がるノードの数が多ければ類似度が高くなる前記疾患別バイオマーカー間類似度行列B
(i)
、
前記疾患別隣接行列G
(i)
及び前記疾患別治療法間類似度行列T
(i)
におけるノードの数が多ければ類似度が高くなる前記疾患横断型治療法間類似度行列T'、
前記疾患別隣接行列G
(i)
及び前記疾患別バイオマーカー間類似度行列B
(i)
におけるノードの数が多ければ類似度が高くなる前記疾患横断型バイオマーカー間類似度行列B'を算出することを特徴とする情報処理システム。
【請求項5】
請求項1に記載の情報処理システムであって、
前記二部グラフ生成部は、前記既知の三項関係から、前記治療法と前記バイオマーカーの既知の二項関係を抽出し、前記治療法と前記バイオマーカーの二項関係を表す疾患横断型二部グラフ、及び前記疾患横断型二部グラフのエッジを表す疾患横断型隣接行列G'を生成し、
前記ノード間類似度算出部は、前記疾患横断型隣接行列G'におけるノードの共通性に基づいて疾患横断型治療法間類似度行列T'、及び疾患横断型バイオマーカー間類似度行列B'を算出することを特徴とする情報処理システム。
【請求項6】
請求項2に記載の情報処理システムであって、
前記未知エッジ予測部は、前記疾患別隣接行列G
(i)
、前記疾患別治療法間類似度行列T
(i)
、前記疾患別バイオマーカー間類似度行列B
(i)
、前記疾患横断型治療法間類似度行列T'、及び前記疾患横断型バイオマーカー間類似度行列B'を用いて、前記治療法と前記バイオマーカーの間の既知又は未知の関係の前記疾患別予測スコアを表わす疾患別予測隣接行列P
(i)
、及び前記疾患横断型予測スコアを表す疾患横断型予測隣接行列P'を算出することを特徴とする情報処理システム。
【請求項7】
請求項6に記載の情報処理システムであって、
前記未知エッジ予測部は、前記疾患別治療法間類似度行列T
(i)
と前記疾患横断型治療法間類似度行列T'の和に前記疾患別隣接行列G
(i)
を乗じた値と、前記疾患別バイオマーカー間類似度行列B
(i)
と前記疾患横断型バイオマーカー間類似度行列B'の和に前記疾患別隣接行列G
(i)
を乗じた値との和を用いて、前記疾患別予測隣接行列P
(i)
及び前記疾患横断型予測隣接行列P'を算出することを特徴とする情報処理システム。
【請求項8】
請求項1に記載の情報処理システムであって、
前記出力部は、所定の閾値より類似度が大きく、かつ所定の閾値より予測スコアが大きい前記治療法と前記バイオマーカーの二項関係を出力することを特徴とする情報処理システム。
【請求項9】
請求項1に記載の情報処理システムであって、
前記出力部は、
表示すべき治療法を入力として受け付け、
前記入力された治療法との間の類似度が所定の閾値以上の治療法を抽出し、前記抽出された治療法を出力する、又は
前記入力された治療法との間の予測スコアが所定の閾値以上のバイオマーカーを抽出し、前記抽出されたバイオマーカーを出力することを特徴とする情報処理システム。
【請求項10】
請求項1に記載の情報処理システムであって、
前記出力部は、
表示すべきバイオマーカーを入力として受け付け、
前記入力されたバイオマーカーとの間の類似度が所定の閾値以上のバイオマーカーを抽出し、前記抽出されたバイオマーカーを出力する、又は
前記入力されたバイオマーカーとの間の予測スコアが所定の閾値以上の治療法を抽出し、前記抽出された治療法を出力することを特徴とする情報処理システム。
(【請求項11】以降は省略されています)
発明の詳細な説明
【技術分野】
【0001】
本発明は、未知のバイオマーカーを予測する情報処理システムに関する。
続きを表示(約 2,500 文字)
【背景技術】
【0002】
精密医療では、治療効果や副作用を予測するバイオマーカーが治療選択で重要な役割を果たすが、既知のバイオマーカーの知識のみでは治療効果や副作用を高精度で予測することは困難である。そのため、治療法とバイオマーカーの未知の関係の予測が必要とされている。
【0003】
本技術分野の背景技術として、既知の関係に基づいてグラフを構築し、元のグラフに存在しないエッジ、すなわち未知の関係を予測する方法がある。例えば、特許文献1(中国特許第109033754号明細書)には、二分ネットワークに基づく疾患関連LncRNA予測方法および装置であって、LncRNAと疾患との間の既知の関連関係のデータセットに従って、疾患およびLncRNAに基づく二分ネットワークを構築するステップと、共通の近隣に基づいて疾患類似性I及びLncRNA類似性Iを計算するステップと、SimRank類似度に基づいて疾患類似度IIとLncRNA類似度IIを計算するステップと、拡張疾患類似性及び拡張LncRNA類似性を取得するステップと、拡張疾患類似性及び拡張LncRNA類似性をバイナリネットワークに還流するステップと、疾患とLncRNAの間の関連度を計算するステップを含む方法が記載されている。
【先行技術文献】
【特許文献】
【0004】
中国特許第109033754号明細書
【発明の概要】
【発明が解決しようとする課題】
【0005】
治療法とバイオマーカーの未知の関係の予測において、バイオマーカーは治療法だけでなく疾患にも関わるため、疾患を考慮せずに治療法とバイオマーカーの関係を予測する場合、偽の関係が予測され、予測精度が低下する可能性がある。そのため、バイオマーカーと治療法と疾患の3種類の情報を同時に考慮して、治療法とバイオマーカーの未知の関係を高精度で予測することが必要である。しかし、特許文献1に記載された技術は、疾患とlncRNAの未知の関係を予測するために、疾患部とlncRNA部を持つ二部グラフを生成し、疾患ノード間類似度とlncRNAノード間類似度を算出し、算出した類似度に基づいて未知のエッジを予測するものであるが、3種類の情報を同時に扱うことは考慮されていない。
【0006】
本発明は、疾患を考慮して、治療法とバイオマーカーの未知の関係を高精度で予測することを目的とする。
【課題を解決するための手段】
【0007】
本願において開示される発明の代表的な一例を示せば以下の通りである。すなわち、治療法とバイオマーカーと疾患の既知の三項関係から、治療法とバイオマーカーの未知の二項関係を予測する情報処理システムであって、所定の処理を実行する演算装置と、前記演算装置に接続された記憶デバイスとを有する計算機によって構成され、前記演算装置が、前記既知の三項関係から、前記疾患毎に、前記治療法と前記バイオマーカーの二項関係を表現する疾患別二部グラフを生成する二部グラフ生成部と、前記演算装置が、前記疾患別二部グラフから、疾患毎の前記治療法同士の疾患別治療法間類似度、全ての疾患における前記治療法同士の疾患横断型治療法間類似度、疾患毎の前記バイオマーカー同士の疾患別バイオマーカー間類似度、及び全ての疾患における前記バイオマーカー同士の疾患横断型バイオマーカー間類似度を算出するノード間類似度算出部と、前記演算装置が、前記疾患別二部グラフ、前記疾患別治療法間類似度、前記疾患横断型治療法間類似度、前記疾患別バイオマーカー間類似度、及び前記疾患横断型バイオマーカー間類似度を用いて、未知のエッジの疾患別予測スコアと疾患横断型予測スコアの少なくとも一つを算出する未知エッジ予測部と、前記演算装置が、前記疾患別治療法間類似度、前記疾患横断型治療法間類似度、前記疾患別バイオマーカー間類似度、前記疾患横断型バイオマーカー間類似度、前記疾患別予測スコア、及び前記疾患横断型予測スコアの少なくとも一つを出力する出力部と、を備えることを特徴とする。
【発明の効果】
【0008】
本発明の一態様によれば、治療法とバイオマーカーの未知の関係を高精度に予測できる。上記した以外の課題、構成及び効果は、以下の発明を実施するための形態の説明により明らかにされる。
【図面の簡単な説明】
【0009】
本発明の実施例1の情報処理システムの構成を示すブロック図である。
本発明の実施例1のエンティティ集合データの構成を示す図である。
本発明の実施例1の三項関係データの構成を示す図である。
本発明の実施例1の二部グラフ生成処理のフローチャートである。
本発明の実施例1の疾患エンティティd
i
の疾患別二部グラフを示す図である。
本発明の実施例1の疾患別隣接行列G
(i)
を示す図である。
本発明の実施例1のノード間類似度算出処理のフローチャートである。
本発明の実施例1の疾患別治療法間類似度行列T
(i)
を示す図である。
本発明の実施例1の疾患別バイオマーカー間類似度行列B
(i)
を示す図である。
本発明の実施例1の未知エッジ予測処理のフローチャートである。
本発明の実施例1の出力処理のフローチャートである。
本発明の実施例1の出力結果をテーブル形式で表示する操作画面の例を示す図である。
本発明の実施例1の出力結果を二部グラフ形式で表示する操作画面の例を示す図である。
本発明の実施例の効果を示す図である。
【発明を実施するための形態】
【0010】
以下、本発明の実施例を、図面を参照して説明する。
(【0011】以降は省略されています)
この特許をJ-PlatPat(特許庁公式サイト)で参照する
関連特許
株式会社日立製作所
鉄道車両
15日前
株式会社日立製作所
形状制御システム
9日前
株式会社日立製作所
ガス濃度測定装置
15日前
株式会社日立製作所
部品管理装置及び方法
今日
株式会社日立製作所
計画装置および計画方法
21日前
株式会社日立製作所
ソフトウェア生成システム
3日前
株式会社日立製作所
管理システムおよび管理方法
11日前
株式会社日立製作所
情報処理装置、情報処理方法
2日前
株式会社日立製作所
訓練システムおよび訓練方法
11日前
株式会社日立製作所
費用対効果算出方法および装置
9日前
株式会社日立製作所
回転電機および電動機システム
7日前
株式会社日立製作所
情報処理装置及び情報処理方法
7日前
株式会社日立製作所
情報処理装置及び情報処理方法
11日前
株式会社日立製作所
電力変換器およびインバータ装置
11日前
株式会社日立製作所
情報処理システム、及び予測方法
8日前
株式会社日立製作所
蒸発乾固装置および蒸発乾固方法
1日前
株式会社日立製作所
Webページ更新管理装置及び方法
15日前
株式会社日立製作所
音声分析システム及び音声分析方法
15日前
株式会社日立製作所
計算機システム及びデータ検索方法
11日前
株式会社日立製作所
昇降機システム及び昇降機制御方法
11日前
株式会社日立製作所
建物管理システム及び建物管理方法
21日前
株式会社日立製作所
物流計画システム及び物流計画方法
9日前
株式会社日立製作所
通貨管理システム、及び通貨管理方法
15日前
株式会社日立製作所
情報処理システム、及び情報処理方法
今日
株式会社日立製作所
電力監視システムおよび電力監視方法
21日前
株式会社日立製作所
データ出力装置およびデータ出力方法
11日前
株式会社日立製作所
情報処理システム、及び情報処理方法
2日前
株式会社日立製作所
故障要因分析装置及び故障要因分析方法
1日前
株式会社日立製作所
設計図書のチェックシステムおよび方法
7日前
株式会社日立製作所
半導体装置および半導体装置の駆動方法
3日前
株式会社日立製作所
説明情報生成装置及び説明情報生成方法
1日前
株式会社日立製作所
臨床試験計画装置および臨床試験計画方法
2日前
株式会社日立製作所
仮想空間生成装置および仮想空間生成方法
7日前
株式会社日立製作所
計算機システム及びタスクの割当制御方法
21日前
株式会社日立製作所
支援装置、支援方法、及び支援プログラム
21日前
株式会社日立製作所
サービス管理システム及びサービス管理方法
21日前
続きを見る
他の特許を見る