TOP
|
特許
|
意匠
|
商標
特許ウォッチ
Twitter
他の特許を見る
公開番号
2025139740
公報種別
公開特許公報(A)
公開日
2025-09-29
出願番号
2024038742
出願日
2024-03-13
発明の名称
癒着防止ゲル形成剤セット、癒着防止ゲル形成剤セットの使用方法、および二液混合型の主剤
出願人
住友ベークライト株式会社
代理人
個人
主分類
C08L
57/06 20060101AFI20250919BHJP(有機高分子化合物;その製造または化学的加工;それに基づく組成物)
要約
【課題】スプレー成膜性および噴霧拡散性に優れた癒着防止ゲル形成剤セットを提供する。
【解決手段】本発明の癒着防止ゲル形成剤セットは、二液混合式スプレー塗布により癒着防止ゲルを形成するために用い、下記の(i)~(iii)のいずれかの条件を満たし、かつ、粘度が、それぞれ、100.0mPa・s以下である第一剤および第二剤を含む。
(i)前記第一剤が(X)および(Y)を含み、前記第二剤が(X)を含まず(Y)を含む
(ii)前記第一剤が(X)および(Y)を含み、前記第二剤が(X)および(Y)を含む
(iii)前記第一剤が(X)を含み(Y)を含まず、前記第二剤が(X)および(Y)を含む
(X):重量平均分子量が1,000以上50,000以下であり、2つ以上の水酸基を有する化合物
(Y):重量平均分子量が10,000以上35,000以下であり、ホスホリルコリン基およびフェニルボロン酸基を含む高分子
【選択図】なし
特許請求の範囲
【請求項1】
二液混合式スプレー塗布により癒着防止ゲルを形成するために用いる、二液混合型の主剤であって、
(X):重量平均分子量が1,000以上50,000以下であり、2つ以上の水酸基を有する化合物と、
(Y):重量平均分子量が10,000以上35,000以下であり、ホスホリルコリン基およびフェニルボロン酸基を含む高分子と、を含み、
下記の手順に従って測定される、粘度が100.0mPa・s以下である、
二液混合型の主剤。
(手順)
室温25℃下、コーンロータの角度1°34’、回転速度50rpmの条件にて、コーンプレート型粘度計を用いて、粘度を測定する。
続きを表示(約 1,600 文字)
【請求項2】
請求項1に記載の二液混合型の主剤であって、
(X)の濃度が15重量%以下、かつ、(Y)の濃度が20重量%以下である、二液混合型の主剤。
【請求項3】
請求項1又は2に記載の二液混合型の主剤であって、
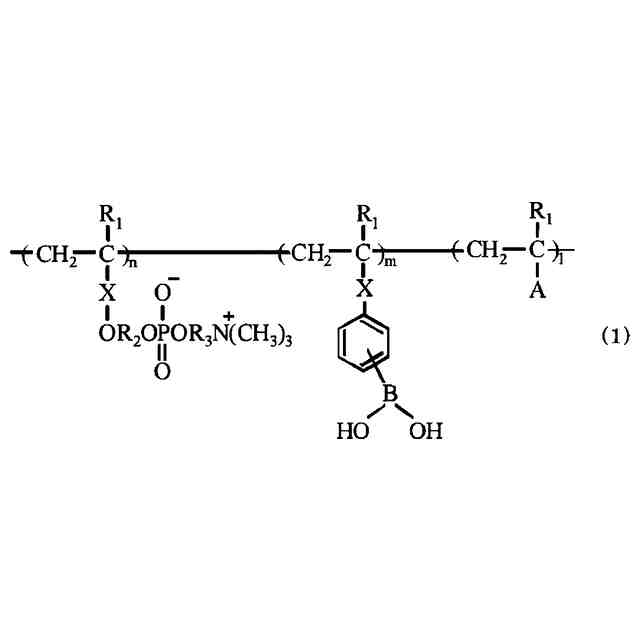
(Y)の前記高分子が、下記の一般式(1)で表される骨格を備える高分子を含む、二液混合型の主剤。
TIFF
2025139740000005.tif
55
153
(上記一般式(1)中、R
1
は、水素原子、メチル基またはエチル基を表し、R
2
は炭素数2から12のアルキル基またはオキシエチレン基を示し、R
3
は炭素数2から4のアルキル基を示し、Xは、単結合または置換基を有していてもよいフェニル基、-C(O)-、-C(O)O-、-O-、-C(O)NH-もしくは-S-で示される基を表し、Aは、水素原子、ハロゲン原子または任意の有機置換基を表し、n、mおよびlは、それぞれ順に、0.01~0.99、0.01~0.99、および0~0.98を表す(ただし、n、mおよびlの総和は1.00である。))
【請求項4】
請求項3に記載の二液混合型の主剤であって、
前記一般式(1)中、m/nが、0.01以上1.00以下である、二液混合型の主剤。
【請求項5】
請求項1又は2に記載の二液混合型の主剤であって、
増粘剤を実質的に含まない、二液混合型の主剤。
【請求項6】
請求項1又は2に記載の二液混合型の主剤であって、
(X)の前記化合物が、単糖類、多糖類、低分子アルコール、および水溶性ポリマーアルコールからなる群から選ばれる一または二以上を含む、二液混合型の主剤。
【請求項7】
二液混合式スプレー塗布により癒着防止ゲルを形成するために用いる、癒着防止ゲル形成剤セットであって、
下記の(i)~(iii)のいずれかの条件を満たす、第一剤および第二剤を含み、
下記の手順に従って測定される、前記第一剤および前記第二剤の粘度が、それぞれ、100.0mPa・s以下である、
癒着防止ゲル形成剤セット。
(i)前記第一剤が(X)および(Y)を含み、前記第二剤が(X)を含まず(Y)を含む
(ii)前記第一剤が(X)および(Y)を含み、前記第二剤が(X)および(Y)を含む
(iii)前記第一剤が(X)を含み(Y)を含まず、前記第二剤が(X)および(Y)を含む
(X):重量平均分子量が1,000以上50,000以下であり、2つ以上の水酸基を有する化合物
(Y):重量平均分子量が10,000以上35,000以下であり、ホスホリルコリン基およびフェニルボロン酸基を含む高分子
(手順)
室温25℃下、コーンロータの角度1°34’、回転速度50rpmの条件にて、コーンプレート型粘度計を用いて、粘度を測定する。
【請求項8】
請求項7に記載の癒着防止ゲル形成剤セットであって、
前記第一剤を含む第一容器と、前記第二剤を含む第二容器と、を含む、癒着防止ゲル形成剤セット。
【請求項9】
請求項7に記載の癒着防止ゲル形成剤セットであって、
前記第一剤を含む第一容器と、
前記第二剤を含む第二容器と、
前記第一容器および前記第二容器と接続可能なスプレーデバイスと、を備える、癒着防止ゲル形成剤セット。
【請求項10】
請求項7に記載の癒着防止ゲル形成剤セットであって、
前記第一剤と前記第二剤との粘度差が、0mPa・s以上99mPa・s以下である、癒着防止ゲル形成剤セット。
(【請求項11】以降は省略されています)
発明の詳細な説明
【技術分野】
【0001】
本発明は、癒着防止ゲル形成剤セット、癒着防止ゲル形成剤セットの使用方法、および二液混合型の主剤に関する。
続きを表示(約 4,300 文字)
【背景技術】
【0002】
これまで癒着防止技術について様々な開発がなされてきた。この種の技術として、例えば、特許文献1に記載の技術が知られている。特許文献1には、多価水酸基を有する化合物と、ホスホリルコリン基およびフェニルボロン酸基を含有する高分子とを含む組成物を主成分とする、組織癒着およびまたは関節拘縮防止材が記載されている(特許文献1の請求項1等)。
また、同文献の実施例17には、5%PMBV(ホスホリルコリン基とフェニルボロン酸基とを含有する高分子)水溶液と5%PVA(ポリビニルアルコール)水溶液とを混合し、BVゲル(三次元架橋体)を作製した、実施例20には、BVゲルを縫合部周囲に粘着させたと記述されている。
【先行技術文献】
【特許文献】
【0003】
国際公開第2009/066746号
【発明の概要】
【発明が解決しようとする課題】
【0004】
しかしながら、本発明者が検討した結果、上記特許文献1に記載のような、関節拘縮防止材において、スプレー成膜性の点で改善の余地があることが判明した。
【課題を解決するための手段】
【0005】
二液混合型のゲル形成剤として、PMBV水溶液(主剤)およびPVA水溶液(副剤)の二液が知られている。
特許文献1では、スプレーを用いて噴霧しておらず、主剤と副剤との液液混合により、ゲルを形成し、得られたゲルを縫合部周囲に粘着させている。
本発明者は、主剤および副剤の噴霧について検討したところ、主剤および副剤を別々に噴霧して対象表面で混合させた場合、スプレーにより形成された塗膜に液垂れが発生することが判明した。
これに対して、主剤および副剤の少なくとも一方の粘度を高めると、スプレー成膜性を向上できるが、反対に、スプレーノズルから噴霧された噴霧粒子の拡散状態が不良となり、噴霧拡散性が低下することが判明した。つまり、主剤および副剤の粘度という技術要素のみを制御した場合、スプレー成膜性と噴霧拡散性とがトレードオフの関係になる。
このような知見に基づき、さらに鋭意研究したところ、主剤に副剤の少なくとも一部を事前に混合させたプレミックス品を、二液混合型のゲル形成剤のいずれか一方又は両方に活用し、かつ、2液の粘度を低く制御することにより、スプレー噴霧時におけるスプレー成膜性および噴霧拡散性を向上できることを見出し、本発明を完成するに至った。
【0006】
本発明の一態様によれば、以下の癒着防止ゲル形成剤セット、癒着防止ゲル形成剤セットの使用方法、および二液混合型の主剤が提供される。
1. 二液混合式スプレー塗布により癒着防止ゲルを形成するために用いる、二液混合型の主剤であって、
(X):重量平均分子量が1,000以上50,000以下であり、2つ以上の水酸基を有する化合物と、
(Y):重量平均分子量が10,000以上35,000以下であり、ホスホリルコリン基およびフェニルボロン酸基を含む高分子と、を含み、
下記の手順に従って測定される、粘度が100.0mPa・s以下である、
二液混合型の主剤。
(手順)
室温25℃下、コーンロータの角度1°34’、回転速度50rpmの条件にて、コーンプレート型粘度計を用いて、粘度を測定する。
2. 1.に記載の二液混合型の主剤であって、
(X)の濃度が15重量%以下、かつ、(Y)の濃度が20重量%以下である、二液混合型の主剤。
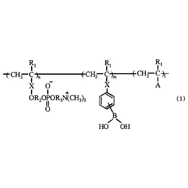
3. 1.又は2.に記載の二液混合型の主剤であって、
(Y)の前記高分子が、下記の一般式(1)で表される骨格を備える高分子を含む、二液混合型の主剤。
TIFF
2025139740000001.tif
55
153
(上記一般式(1)中、R
1
は、水素原子、メチル基またはエチル基を表し、R
2
は炭素数2から12のアルキル基またはオキシエチレン基を示し、R
3
は炭素数2から4のアルキル基を示し、Xは、単結合または置換基を有していてもよいフェニル基、-C(O)-、-C(O)O-、-O-、-C(O)NH-もしくは-S-で示される基を表し、Aは、水素原子、ハロゲン原子または任意の有機置換基を表し、n、mおよびlは、それぞれ順に、0.01~0.99、0.01~0.99、および0~0.98を表す(ただし、n、mおよびlの総和は1.00である。))
4. 3.に記載の二液混合型の主剤であって、
前記一般式(1)中、m/nが、0.01以上1.00以下である、二液混合型の主剤。
5. 1.~4.のいずれか一つに記載の二液混合型の主剤であって、
増粘剤を実質的に含まない、二液混合型の主剤。
6. 1.~5.のいずれか一つに記載の二液混合型の主剤であって、
(X)の前記化合物が、単糖類、多糖類、低分子アルコール、および水溶性ポリマーアルコールからなる群から選ばれる一または二以上を含む、二液混合型の主剤。
7. 二液混合式スプレー塗布により癒着防止ゲルを形成するために用いる、癒着防止ゲル形成剤セットであって、
下記の(i)~(iii)のいずれかの条件を満たす、第一剤および第二剤を含み、
下記の手順に従って測定される、前記第一剤および前記第二剤の粘度が、それぞれ、100.0mPa・s以下である、
癒着防止ゲル形成剤セット。
(i)前記第一剤が(X)および(Y)を含み、前記第二剤が(X)を含まず(Y)を含む
(ii)前記第一剤が(X)および(Y)を含み、前記第二剤が(X)および(Y)を含む
(iii)前記第一剤が(X)を含み(Y)を含まず、前記第二剤が(X)および(Y)を含む
(X):重量平均分子量が1,000以上50,000以下であり、2つ以上の水酸基を有する化合物
(Y):重量平均分子量が10,000以上35,000以下であり、ホスホリルコリン基およびフェニルボロン酸基を含む高分子
(手順)
室温25℃下、コーンロータの角度1°34’、回転速度50rpmの条件にて、コーンプレート型粘度計を用いて、粘度を測定する。
8. 7.に記載の癒着防止ゲル形成剤セットであって、
前記第一剤を含む第一容器と、前記第二剤を含む第二容器と、を含む、癒着防止ゲル形成剤セット。
9. 7または8.に記載の癒着防止ゲル形成剤セットであって、
前記第一剤を含む第一容器と、
前記第二剤を含む第二容器と、
前記第一容器および前記第二容器と接続可能なスプレーデバイスと、を備える、癒着防止ゲル形成剤セット。
10. 7.~9.のいずれか一つに記載の癒着防止ゲル形成剤セットであって、
前記第一剤と前記第二剤との粘度差が、0mPa・s以上99mPa・s以下である、癒着防止ゲル形成剤セット。
11. 下記の(i)~(iii)のいずれかの条件を満たし、かつ、下記の手順に従って測定される粘度が、それぞれ、100.0mPa・s以下である第一剤および第二剤を準備する、準備工程を含む、癒着防止ゲル形成剤セットの使用方法。
(i)前記第一剤が(X)および(Y)を含み、前記第二剤が(X)を含まず(Y)を含む
(ii)前記第一剤が(X)および(Y)を含み、前記第二剤が(X)および(Y)を含む
(iii)前記第一剤が(X)を含み(Y)を含まず、前記第二剤が(X)および(Y)を含む
(X):重量平均分子量が1,000以上50,000以下であり、2つ以上の水酸基を有する化合物
(Y):重量平均分子量が10,000以上35,000以下であり、ホスホリルコリン基およびフェニルボロン酸基を含む高分子
(手順)
室温25℃下、コーンロータの角度1°34’、回転速度50rpmの条件にて、コーンプレート型粘度計を用いて、粘度を測定する。
12. 11.に記載の癒着防止ゲル形成剤セットの使用方法であって、
【発明の効果】
【0007】
本発明によれば、スプレー成膜性および噴霧拡散性に優れた癒着防止ゲル形成剤セット、癒着防止ゲル形成剤セットの使用方法、および二液混合型の主剤が提供される。
【発明を実施するための形態】
【0008】
本実施形態の癒着防止ゲル形成剤セットの概要を説明する。
【0009】
本実施形態の癒着防止ゲル形成剤セットは、二液混合式スプレー塗布により癒着防止ゲルを形成するために用いる、第一剤および第二剤の組み合わせである。
この癒着防止ゲル形成剤セットは、
下記の(i)~(iii)のいずれかの条件を満たす、第一剤および第二剤を含み、
下記の手順に従って測定される、第一剤および第二剤の粘度が、それぞれ、100.0mPa・s以下である。
(i)第一剤が(X)および(Y)を含み、第二剤が(X)を含まず(Y)を含む
(ii)第一剤が(X)および(Y)を含み、第二剤が(X)および(Y)を含む
(iii)第一剤が(X)を含み(Y)を含まず、第二剤が(X)および(Y)を含む
(X):重量平均分子量が1,000以上50,000以下であり、2つ以上の水酸基を有する化合物
(Y):重量平均分子量が10,000以上35,000以下であり、ホスホリルコリン基およびフェニルボロン酸基を含む高分子
(手順)
室温25℃下、コーンロータの角度1°34’、回転速度50rpmの条件にて、コーンプレート型粘度計を用いて、粘度を測定する。
【0010】
現在の癒着防止技術において、フィルム状の癒着防止材を施術組織に貼り付ける手法が大部分を占めている。フィルム状の癒着防止材は、体内に存在する水分により粘着を発揮するものだが、貼り付けた後に移動させ難く、貼り付け部位の調整が難しい点が知られている。
(【0011】以降は省略されています)
この特許をJ-PlatPat(特許庁公式サイト)で参照する
関連特許
ユニチカ株式会社
透明シート
1か月前
株式会社カネカ
硬化性組成物
2か月前
ユニチカ株式会社
透明シート
2日前
東レ株式会社
熱硬化性樹脂組成物
1か月前
丸住製紙株式会社
変性パルプ
2日前
住友精化株式会社
吸水剤の製造方法
12日前
東レ株式会社
ポリエステルフィルム
6日前
東レ株式会社
ポリエステルフィルム
3か月前
東レ株式会社
引抜成形品の製造方法
1か月前
愛知電機株式会社
加熱処理設備
3か月前
東ソー株式会社
樹脂組成物および蓋材
20日前
東レ株式会社
ポリオレフィン微多孔膜
2か月前
東ソー株式会社
樹脂組成物および蓋材
20日前
花王株式会社
樹脂組成物
2か月前
UBE株式会社
衝撃吸収材
2日前
日本特殊陶業株式会社
樹脂成形体
12日前
アイカ工業株式会社
光硬化性樹脂組成物
3か月前
株式会社コバヤシ
光硬化性組成物
1か月前
株式会社大阪ソーダ
熱可塑性材料用組成物
2か月前
富士フイルム株式会社
組成物
3か月前
株式会社カネカ
硬化性組成物
12日前
株式会社カネカ
硬化性組成物
1か月前
株式会社クラレ
水性エマルジョン及び接着剤
3か月前
東レ株式会社
ポリエステル組成物の製造方法
5日前
東亞合成株式会社
硬化性組成物
2か月前
株式会社村田製作所
樹脂組成物
2か月前
伯東株式会社
ビニル化合物中の重合防止方法
1か月前
東ソー株式会社
温度応答性ビーズの製造方法
14日前
アキレス株式会社
燻蒸用生分解性樹脂シート
1か月前
株式会社イーテック
組成物
1か月前
東ソー株式会社
末端変性ポリマー及び光学素子
2か月前
東ソー株式会社
導電性高分子溶液及びその用途
1か月前
株式会社リコー
炭素繊維含有樹脂組成物
1か月前
株式会社イーテック
組成物
2か月前
帝人株式会社
軽量ゴムおよびゴム成形体
2か月前
東レ株式会社
二軸配向ポリプロピレンフィルム
1か月前
続きを見る
他の特許を見る