TOP
|
特許
|
意匠
|
商標
特許ウォッチ
Twitter
他の特許を見る
10個以上の画像は省略されています。
公開番号
2025139397
公報種別
公開特許公報(A)
公開日
2025-09-26
出願番号
2024038313
出願日
2024-03-12
発明の名称
円すいころ軸受
出願人
NTN株式会社
代理人
個人
,
個人
,
個人
,
個人
,
個人
主分類
F16C
33/54 20060101AFI20250918BHJP(機械要素または単位;機械または装置の効果的機能を生じ維持するための一般的手段)
要約
【課題】内輪案内形式の円すいころ軸受において、保持器の振れ回りを抑え、安定した状態で軸受を運転することができる円すいころ軸受を提供する。
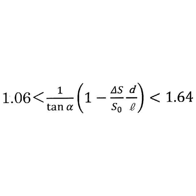
【解決手段】円すいころ軸受1は、保持器5が、小径側環状部6、大径側環状部7、および小径側環状部6と大径側環状部7を繋ぐ柱部8を有する内輪案内形式である。小径側環状部6と内輪2の小鍔部2bとの間の小径側すきまS1、大径側環状部7と内輪2の大鍔部2cとの間の大径側すきまS2、円すいころ4の平均ころ径d、ころ長さlおよび外輪角度αが以下の関係を満たす。但しΔS=S2-S1、S
0
=0.5(固定値)
【数4】
<com:Image com:imageContentCategory="Drawing"> <com:ImageFormatCategory>TIFF</com:ImageFormatCategory> <com:FileName>2025139397000006.tif</com:FileName> <com:HeightMeasure com:measureUnitCode="Mm">18</com:HeightMeasure> <com:WidthMeasure com:measureUnitCode="Mm">170</com:WidthMeasure> </com:Image> 【選択図】図1
特許請求の範囲
【請求項1】
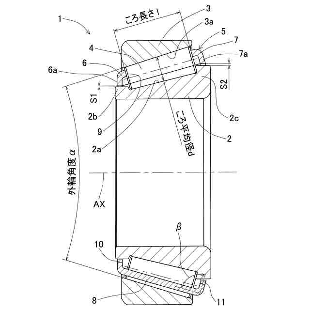
小鍔部および大鍔部を有する内輪と、外輪と、これら内輪と外輪との間に介在する複数の円すいころと、これら円すいころを保持する保持器とを備え、前記保持器が、小径側環状部、大径側環状部、およびこれら小径側環状部と大径側環状部を繋ぐ円周方向複数箇所の柱部を有する内輪案内形式の円すいころ軸受であって、
前記小径側環状部と前記小鍔部との間の径方向すきまである小径側すきまS1、前記大径側環状部と前記大鍔部との間の径方向すきまである大径側すきまS2、前記円すいころの平均ころ径d、ころ長さl、および前記外輪の転走面が傾斜する円すい開き角度である外輪角度αが、以下の関係を満たす円すいころ軸受。
TIFF
2025139397000005.tif
20
170
但し、ΔS=S2-S1、S
0
=0.5(固定値)
続きを表示(約 650 文字)
【請求項2】
請求項1に記載の円すいころ軸受において、前記大径側環状部が、前記柱部に対して内径側に屈曲して延びるフランジ状部を有し、このフランジ状部の前記柱部に対して成す屈曲角度が、前記柱部が軸受軸心に対して傾く角度である保持器角度を基準として90°±10°の範囲である円すいころ軸受。
【請求項3】
請求項1または請求項2に記載の円すいころ軸受において、前記大径側環状部が、前記柱部に対して円弧状の曲げ部分を介し内径側に屈曲して延びるフランジ状部を有し、前記曲げ部分の内径側表面の曲率半径である曲げ部分R寸法が、前記大径側環状部の前記柱部が延びる方向の長さである軸方向長さに対し、20%~90%の範囲にある円すいころ軸受。
【請求項4】
請求項1または請求項2に記載の円すいころ軸受において、前記小径側環状部および前記大径側環状部が、前記柱部に対して内径側に屈曲して延びるフランジ状部を有し、このフランジ状部に、このフランジ状部の軸受軸方向の内外に対して潤滑油の通過を許容する通油路が設けられている円すいころ軸受。
【請求項5】
請求項4に記載の円すいころ軸受において、前記通油路は、前記フランジ状部の円周方向複数箇所に設けられた切欠状または窓状の通油路である円すいころ軸受。
【請求項6】
請求項1または請求項2に記載の円すいころ軸受において、前記大径側環状部の前記小径側環状部に対する断面積比が1.0~1.2である円すいころ軸受。
発明の詳細な説明
【技術分野】
【0001】
本発明は、遠心力が作用する部位、例えば、建設機械等の遊星減速機部、特に遠心力が大きい1段目の遊星部等に利用できる円すいころ軸受に関する。
続きを表示(約 2,000 文字)
【背景技術】
【0002】
従来、内輪案内形式の円すいころ軸受において、保持器の両フランジ状部と内輪の案内すきまS1,S2をパラメータX(0.69<X<1.12)で規定している。これにより、保持器の傾きを抑制し、保持器の摩耗が生じ難い円すいころ軸受を提供している(特許文献1)。
【先行技術文献】
【特許文献】
【0003】
特開2022-42038号公報
【発明の概要】
【発明が解決しようとする課題】
【0004】
特許文献1では、案内すきまS1,S2の比率でパラメータXを規定している。このため、案内すきまS1,S2の絶対値が小さくなると、図13のように、前記パラメータXの規定された範囲(0.69<X<1.12)から外れる領域になる場合がある。なお内輪案内形式の円すいころ軸受では、案内すきまの絶対値が小さい方が保持器発生応力は小さくなり、案内すきまの絶対値管理も重要である。
【0005】
本発明の目的は、内輪案内形式の円すいころ軸受において、保持器の振れ回りを抑え、安定した状態で軸受を運転することができる円すいころ軸受を提供することである。
【課題を解決するための手段】
【0006】
本発明の円すいころ軸受は、小鍔部および大鍔部を有する内輪と、外輪と、これら内輪と外輪との間に介在する複数の円すいころと、これら円すいころを保持する保持器とを備え、前記保持器が、小径側環状部、大径側環状部、およびこれら小径側環状部と大径側環状部を繋ぐ円周方向複数箇所の柱部を有する内輪案内形式の円すいころ軸受であって、
前記小径側環状部と前記小鍔部との間の径方向すきまである小径側すきまS1、前記大径側環状部と前記大鍔部との間の径方向すきまである大径側すきまS2、前記円すいころの平均ころ径d、ころ長さl、および前記外輪の転走面が傾斜する円すい開き角度である外輪角度αが、以下の関係を満たす円すいころ軸受。
TIFF
2025139397000002.tif
20
170
但し、ΔS=S2-S1、S
0
は径方向すきまの基準すきま0.5mmである。
S1、S2、d、lの単位はそれぞれmmである。
前記「内輪案内形式」とは、内輪の小鍔部の外周面に対して、小径側環状部が僅かな径方向すきまを介して対向するかまたは接触すると共に、大鍔部の外周面に対して、大径側環状部が僅かな径方向すきまを介して対向するかまたは接触する形式を言う。
【0007】
この構成によると、内輪の鍔外径と保持器内径のすきまにおいて、案内側と非案内側のすきまの差ΔSを小さく制限する。これにより、遠心力が作用した場合の保持器の自転軸と内輪の軸とのズレが少ない状態で軸受を回転させることができる。よって、従来の円すいころ軸受よりも、保持器の振れ回りを小さくし、保持器の摩耗を抑制することができる。
保持器の振れ回りを小さくことで、ジャイロモーメントによる保持器の軸方向の動きを小さくし、安定した状態で軸受を運転させることができる。
【0008】
この構成において、外輪角度αは20°を超え40°未満であることが好ましい。外輪角度αが20°以下では、アキシアル荷重を負荷する能力が小さい。外輪角度αが40°以上では、アキシアル荷重を負荷する能力が大きいが、ラジアル荷重を負荷する能力が小さくなる。遊星減速部等の遠心力が作用する環境で使用される円すいころ軸受では、主にラジアル荷重を負荷するため、外輪角度αが大きい軸受製品が適用されるケースが少ない。また、遊星減速機の歯車のかみあい等によりアキシアル荷重の発生が考えられるため、外輪角度αは、20°以下ではアキシアル荷重を負荷する能力が不足する可能性がある。
【0009】
前記大径側環状部が、前記柱部に対して内径側に屈曲して延びるフランジ状部を有し、このフランジ状部の前記柱部に対して成す屈曲角度が、前記柱部が軸受軸心に対して傾く角度である保持器角度を基準として90°±10°の範囲であってもよい。このように、フランジ状部の前記屈曲角度が90°±10°の範囲にあることで、保持器を内輪案内形式とする上で適切な形状となる。
【0010】
前記大径側環状部が、前記柱部に対して円弧状の曲げ部分を介し内径側に屈曲して延びるフランジ状部を有し、前記曲げ部分の内径側表面の曲率半径である曲げ部分R寸法が、前記大径側環状部の前記柱部が延びる方向の長さである軸方向長さに対し、20%~90%の範囲にあってもよい。
(【0011】以降は省略されています)
この特許をJ-PlatPat(特許庁公式サイト)で参照する
関連特許
NTN株式会社
玉軸受
12日前
NTN株式会社
作業装置
18日前
NTN株式会社
軸受装置
12日前
NTN株式会社
密封装置
18日前
NTN株式会社
軸受装置
12日前
NTN株式会社
軸受装置
12日前
NTN株式会社
焼結軸受
12日前
NTN株式会社
軸受装置
12日前
NTN株式会社
転がり軸受
13日前
NTN株式会社
荷積込装置
13日前
NTN株式会社
転がり軸受
12日前
NTN株式会社
回転伝達装置
13日前
NTN株式会社
シール付軸受
18日前
NTN株式会社
回転伝達装置
13日前
NTN株式会社
車輪用軸受装置
13日前
NTN株式会社
車輪用軸受装置
18日前
NTN株式会社
リンク作動装置
14日前
NTN株式会社
軸受装置及び間座
13日前
NTN株式会社
シェル形針状ころ軸受
14日前
NTN株式会社
ブーツ付等速自在継手
11日前
NTN株式会社
等速自在継手用ブーツ
11日前
NTN株式会社
軸受装置および機械装置
11日前
NTN株式会社
等速自在継手の外側継手部材
11日前
NTN株式会社
連結機構及びこれを備えた研削盤
14日前
NTN株式会社
軸受装置および異常検知システム
14日前
NTN株式会社
軸受装置および異常検知システム
12日前
NTN株式会社
軌道輪保持器一体型スラストころ軸受
14日前
NTN株式会社
ピッキング装置およびピッキング方法
13日前
NTN株式会社
パラレルリンク機構およびリンク作動装置
14日前
NTN株式会社
データ集積装置およびデータ集積システム
13日前
NTN株式会社
試料の選別採取配置方法および採取配置装置
18日前
NTN株式会社
等速自在継手用外側継手部材及びこれを備える固定式等速自在継手
12日前
NTN株式会社
ひずみセンサ付き軸受装置、ひずみセンサ付き外輪間座、および工作機械用スピンドル装置
13日前
個人
留め具
7日前
個人
鍋虫ねじ
1か月前
個人
紛体用仕切弁
1か月前
続きを見る
他の特許を見る