TOP
|
特許
|
意匠
|
商標
特許ウォッチ
Twitter
他の特許を見る
10個以上の画像は省略されています。
公開番号
2025138591
公報種別
公開特許公報(A)
公開日
2025-09-25
出願番号
2025035434
出願日
2025-03-06
発明の名称
バルクSiC結晶を成長させるシードユニット及び装置
出願人
サイクリスタル ゲーエムベーハー
代理人
個人
,
個人
主分類
C30B
29/36 20060101AFI20250917BHJP(結晶成長)
要約
【課題】SiC種結晶における温度場に公知のアプローチに比べてより簡単且つより良好に影響を与えられるシードユニット及び装置を提供する。
【解決手段】シードユニット(1)は、バルクSiC単結晶を成長させることを意図し、成長させるべきバルクSiC単結晶を成長させるためにウェハー前側(4)に配置された成長表面(4a)を有するウェハー状の単結晶構造のSiC種結晶(2)を有する。SiC種結晶(2)は軸方向に延びる結晶長手中間軸(6)を有する。半径方向が軸方向と垂直に指向している。シードユニット(1)はまた、SiC種結晶(2)のウェハー後側(5)に配置された後側層部品(3)を有し、その構造は、結晶長手中間軸(6)から出発して半径方向に変化し、そのため半径方向の温度勾配が、バルクSiC単結晶の成長中にSiC種結晶(2)内で調節される。
【選択図】図1
特許請求の範囲
【請求項1】
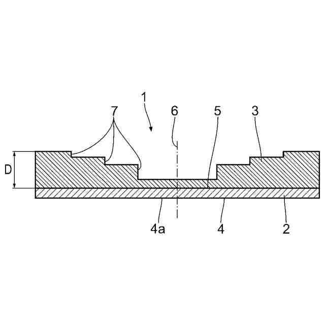
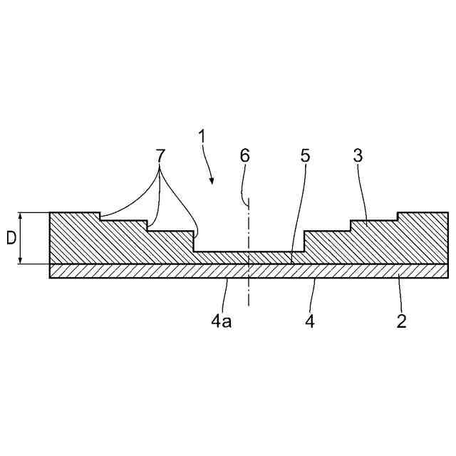
バルクSiC単結晶を成長させるシードユニットであって、
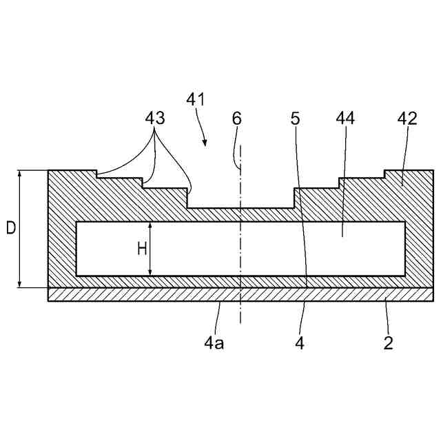
a)成長させるべきバルクSiC単結晶を成長させるためにウェハー前側(4)に配置された成長表面(4a)を有するウェハー状の単結晶構造のSiC種結晶(2)と、
b)前記SiC種結晶(2)のウェハー後側(5)に配置された後側層部品(3;22;24;32;37;42)と、を含み、
a1)前記SiC種結晶(2)は軸方向に延びる結晶長手中間軸(6)を有し、半径方向が前記軸方向と垂直に指向しており、
b1)前記後側層部品の構造が、前記結晶長手中間軸(6)から出発して半径方向に変化し、そのため半径方向の温度勾配が、前記バルクSiC単結晶の成長中に前記SiC種結晶(2)内で調節される、
シードユニット。
続きを表示(約 970 文字)
【請求項2】
前記後側層部品(3;22;42)が単層から成る、ことを特徴とする請求項1に記載のシードユニット。
【請求項3】
前記単層が、0.5μm~10μmの、特に1μm~5μmの軸方向の層厚さを有する、ことを特徴とする請求項2に記載のシードユニット。
【請求項4】
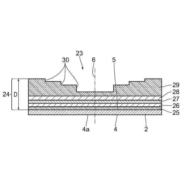
前記後側層部品(24;32;37)が、複数の単層(25,26,27,28,29;33,34,35;38,39;40)から成る、ことを特徴とする請求項1に記載のシードユニット。
【請求項5】
前記複数の単層(25,26,27,28,29;33,34,35;38,39;40)の少なくとも幾つかが、軸方向に上下に及び/又は半径方向に隣同士に配置されている、ことを特徴とする請求項4に記載のシードユニット。
【請求項6】
全ての前記単層(25,26,27,28,29;33,34,35;38,39;40)の軸方向の全体的な層厚さが、0.5μm~20μm、特に1μm~10μmである、ことを特徴とする請求項4又は5に記載のシードユニット。
【請求項7】
前記単層(25,26,27,28,29;33,34,35;38,39;40)が、少なくとも部分的に、相互に異なる層材料を有する、ことを特徴とする請求項4~6のいずれか一項に記載のシードユニット。
【請求項8】
前記後側層部品(3;22;24;32;37;42)の各々の単層(25,26,27,28,29;33,34,35;38,39;40)が、炭素及び炭化物の群から選択される材料である層材料から成る、又はこの群の少なくとも1つの材料を含む、ことを特徴とする請求項2~7のいずれか一項に記載のシードユニット。
【請求項9】
前記後側層部品(3;22;24;32;42)が、前記結晶長手中間軸(6)から出発して半径方向に増加する軸方向の部品厚さを有する、ことを特徴とする請求項1~8のいずれか一項に記載のシードユニット。
【請求項10】
前記軸方向の部品厚さが連続的に又は個別の段により増加する、ことを特徴とする請求項9に記載のシードユニット。
(【請求項11】以降は省略されています)
発明の詳細な説明
【技術分野】
【0001】
本発明は、バルクSiC結晶を成長させるシードユニット及びバルクSiC結晶を成長させる装置に関する。
続きを表示(約 2,000 文字)
【背景技術】
【0002】
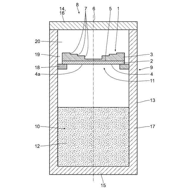
その優れた物理的、化学的、電気的及び光学特性の理由で、半導体材料炭化ケイ素(SiC)は、とりわけ、電力切り替え半導体部品のための、高周波部品のための及び特別な発光半導体部品のための出発原料として使用される。これらの部品(コンポーネント)は、最大の可能なサブストレート直径を有し、最高の可能な品質を有するSiCサブストレート(=SiCウェハー)を必要とする。これらは、高価値のバルクSiC単結晶を基礎とする。
【0003】
このようなバルクSiC単結晶は一般的に、物理気相輸送(PVT)により、例えば特許文献1に記載された昇華法により作られる。その場合、SiC種結晶としての単結晶SiCウェハーが、適切な原料物質と共に成長るつぼに導入される。制御された温度、圧力及びガス条件下で、原料物質が昇華される。ガス種(=SiC、Si
2
C、SiC
2
)が、軸方向の温度勾配の理由でSiC種結晶に輸送され、この位置でそれらガス種はSiC成長気相からSiC種結晶上に析出され、バルクSiC単結晶の状態になる。
【0004】
これらバルクSiC単結晶から、ウェハー状の単結晶SiCサブストレートが、例えばワイヤーソーによって切断され、次に、-特に-部品製造の一部としてのそれらの表面の多段階の研磨処理の後に、特にSiCから成る少なくとも1つのエピタキシャル層を備えられる。欠陥が一般的に、SiCサブストレートから適用されるエピタキシャル層に伝播され、ゆえに部品特性の劣化をもたらす。したがって、部品の品質は基本的に、成長したバルクSiC単結晶とそこから得られるSiCサブストレートの品質に依存する。
【0005】
使用されるSiCサブストレートの幾何学形状は部品のエピタキシャル層の製造にとって非常に重要である。よって、エピタキシャルリアクターにおいて、均質的且つ高品質のエピタキシャル層成長のために非常に重要である良好な熱カップリングは基本的に、相当な反りを有さないSiCサブストレートの場合にのみ実現される。対照的に、悪い幾何学的特性を有する、すなわち過度の量の反り及び/又は撓みを有するSiCサブストレートは、エピタキシャル工程からより悪い品質及び/又は低めの歩留まりを不可避的にもたらす。
【0006】
バルクSiC単結晶の成長中、軸方向の温度勾配は、原料物質からSiC種結晶への物質輸送の決定的な原因となる。一方で、それが経済的に有益な成長速度をもたらす可能性が高いが、他方で、バルクSiC単結晶から作られるSiCサブストレートに前述した問題をもたらす熱応力が結晶体積においてかなり生じる可能性は高くない。成長るつぼ内に広がる軸方向の温度勾配のおかげで、SiC種結晶のより暖かいウェハー後側とSiC種結晶の背後のより冷たいるつぼ領域の間の温度差はまた、SiC種結晶の後側で作られる。SiC種結晶のウェハー後側からリヤへの物質の蒸発と、SiC種結晶のウェハー前側で成長するバルクSiC単結晶における関連する欠陥形成を避けるために、後側不動態化がSiC種結晶で実行される。
【0007】
例えば、特許文献2は、SiC種結晶が、そのウェハー後側に、炭素、特にグラファイトから成る多層保護層を備えられることを記載している。
【0008】
特許文献3が、物質蒸発を回避するために、SiC種結晶が、そのウェハー後側に、硬質炭素、特にダイヤモンド状炭素、ダイヤモンド、タンタル又は炭化タンタルから成る単層保護層又は多層保護層を備えられることを記載している。特許文献3はまた、場合により後側保護層を備えたSiC種結晶が、接着剤層により又は機械的なホルダーにより成長用に使用されるるつぼのるつぼカバーに固定されることを記載している。
【0009】
特許文献4が、SiC種結晶内の温度が一様にされる別なアプローチを記載している。このようにして、SiC種結晶における温度差及びそれから生じる内部応力が減少される。この目的のために、移動可能な適合要素を含むマルチパート断熱材がSiC種結晶の後側に配置される。前記適合要素の移動は、SiC種結晶の後側に設けられるキャビティがその寸法をそれぞれの(熱)条件に適合され得ることを意味する。しかしながら、この構造は複雑であり、ゆえに高価でもある。
【0010】
特許文献5は、SiC種結晶の後側に配置されるマルチパートの付加的な加熱装置を記載しており、成長工程中においても狙い通りに温度場を変更させられるように、その単一部品が移動され得る。この構造でさえ複雑であり、高価である。
【先行技術文献】
【特許文献】
(【0011】以降は省略されています)
この特許をJ-PlatPat(特許庁公式サイト)で参照する
関連特許
株式会社CUSIC
SiC積層体の製造方法
5か月前
SECカーボン株式会社
結晶成長装置
7か月前
アムジエン・インコーポレーテツド
SLC30A8発現を阻害するためのRNAiコンストラクト及びその使用方法
1か月前
住友金属鉱山株式会社
結晶育成装置
3か月前
学校法人 東洋大学
マルチカラー結晶の結晶成長方法
6か月前
株式会社FLOSFIA
構造体および構造体の製造方法
3か月前
株式会社SUMCO
単結晶の製造方法
5か月前
信越化学工業株式会社
炭化金属被覆材料
5か月前
富士電機株式会社
半導体装置及びその製造方法
11日前
コマディール・エス アー
サファイア棒状体の製造方法
6か月前
セイコーエプソン株式会社
人工水晶製造装置
3か月前
株式会社C&A
処理装置および方法
6か月前
信越半導体株式会社
半導体ウェーハの製造方法
1か月前
株式会社レゾナック
SiCエピタキシャルウェハ
6か月前
日本碍子株式会社
AlN単結晶基板及びデバイス
2か月前
住友金属鉱山株式会社
圧電性酸化物単結晶基板の製造方法
6か月前
住友金属鉱山株式会社
圧電性酸化物単結晶基板の製造方法
5か月前
住友金属鉱山株式会社
単結晶の育成方法及びその装置
1か月前
住友電気工業株式会社
炭化珪素基板の製造方法
4か月前
信越半導体株式会社
3C-SiC単結晶基板の評価方法
4か月前
住友電気工業株式会社
炭化珪素基板の製造方法
4か月前
住友化学株式会社
窒化物積層体の製造方法および窒化物積層体
4か月前
旭化成株式会社
結晶の製造方法、六方晶系半導体結晶及び素子
6か月前
サイクリスタル ゲーエムベーハー
バルクSiC結晶の製造方法
2か月前
株式会社Kanazawa Diamond
ダイヤモンド
6か月前
株式会社SUMCO
単結晶シリコンインゴットの製造方法
5か月前
グローバルウェーハズ・ジャパン株式会社
半導体基板の製造方法
5か月前
三菱マテリアル電子化成株式会社
シリコンインゴット
1か月前
株式会社豊田中央研究所
種結晶基板および種結晶基板付黒鉛サセプタ
7か月前
住友化学株式会社
窒化物結晶基板の製造方法、および窒化物結晶基板
7か月前
学校法人 名城大学
結晶成長用基板の作製方法
3か月前
信越半導体株式会社
SiGe基板の作製方法及びSiGe基板
27日前
住友化学株式会社
窒化物結晶基板、および窒化物結晶基板の製造方法
5か月前
信越半導体株式会社
ヘテロエピタキシャルウェーハの製造方法
5か月前
株式会社レゾナック
SiCインゴット及びSiC基板の製造方法
4か月前
株式会社SUMCO
エピタキシャルシリコンウェーハ及びその製造方法
5か月前
続きを見る
他の特許を見る