TOP
|
特許
|
意匠
|
商標
特許ウォッチ
Twitter
他の特許を見る
10個以上の画像は省略されています。
公開番号
2025137463
公報種別
公開特許公報(A)
公開日
2025-09-19
出願番号
2025033811
出願日
2025-03-04
発明の名称
相分離構造形成用樹脂組成物、相分離構造を含む構造体の製造方法、及びブロックコポリマー
出願人
東京応化工業株式会社
代理人
個人
主分類
C08L
53/00 20060101AFI20250911BHJP(有機高分子化合物;その製造または化学的加工;それに基づく組成物)
要約
【課題】垂直配向性に優れ、欠陥の発生が抑制された相分離構造を形成可能な相分離構造形成用樹脂組成物、これを用いた相分離構造を含む構造体の製造方法、及び前記相分離構造形成用樹脂組成物に用いるブロックコポリマーを提供する。
【解決手段】第1のブロックと第2のブロックとを有するブロックコポリマーを含有し、第1のブロックは、下記一般式(b1)で表される構成単位の繰り返し構造からなる重合体で構成され、第2のブロックは、下記一般式(b2m)で表される構成単位と、下記一般式(b2g)で表される構成単位とが無秩序に配列している構造からなるランダム共重合体で構成される、相分離構造形成用樹脂組成物。
<com:Image com:imageContentCategory="Drawing"> <com:ImageFormatCategory>TIFF</com:ImageFormatCategory> <com:FileName>2025137463000019.tif</com:FileName> <com:HeightMeasure com:measureUnitCode="Mm">48</com:HeightMeasure> <com:WidthMeasure com:measureUnitCode="Mm">134</com:WidthMeasure> </com:Image>
【選択図】なし
特許請求の範囲
【請求項1】
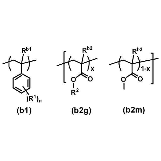
第1のブロックと第2のブロックとを有するブロックコポリマーを含有する相分離構造形成用樹脂組成物であって、
前記第1のブロックは、下記一般式(b1)で表される構成単位の繰り返し構造からなる重合体で構成され、
前記第2のブロックは、下記一般式(b2m)で表される構成単位と、下記一般式(b2g)で表される構成単位とが無秩序に配列している構造からなるランダム共重合体で構成される、
相分離構造形成用樹脂組成物。
TIFF
2025137463000017.tif
46
134
[式(b1)中、R
1
は、アルキル基である。R
b1
は、水素原子、又はメチル基である。nは、0以上5以下の整数である。
式(b2g)中、R
2
は、置換基を有していてもよい炭素原子数2以上のアルキル基、置換基を有していてもよいシクロアルキル基、又は-R
3
-Arで表される基である。R
3
は、単結合、又はメチレン基である。Arは、置換基を有していてもよい芳香族基である。
式(b2g)及び式(b2m)中、R
b2
は、水素原子、炭素原子数1以上5以下のアルキル基、又は炭素原子数1以上5以下のハロゲン化アルキル基である。
xは、モル比を表し、0超0.8以下である。]
続きを表示(約 1,100 文字)
【請求項2】
前記第1のブロックの構成単位のモル数と、前記第2のブロックの構成単位のモル数との合計に対する、前記第1のブロックの構成単位のモル数の割合が、20モル%以上80モル%以下である、請求項1に記載の相分離構造形成用樹脂組成物。
【請求項3】
さらにホモポリマーを含有する、請求項1に記載の相分離構造形成用樹脂組成物。
【請求項4】
前記ホモポリマーは、前記一般式(b1)で表される構成単位の繰り返し構造からなる重合体を含む、請求項3に記載の相分離構造形成用樹脂組成物。
【請求項5】
前記ホモポリマーの数平均分子量は、1000以上である、請求項3に記載の相分離構造形成用樹脂組成物。
【請求項6】
前記ホモポリマーの含有量が、前記ブロックコポリマーの含有量100質量部に対して、20質量部以上200質量部以下である、請求項3に記載の相分離構造形成用樹脂組成物。
【請求項7】
支持体上に、請求項1~6のいずれか1項に記載の相分離構造形成用樹脂組成物を塗布して、ブロックコポリマーを含む層を形成することと、
前記のブロックコポリマーを含む層を相分離させることと、
を有する、相分離構造を有する構造体の製造方法。
【請求項8】
第1のブロックと第2のブロックとを有するブロックコポリマーであって、
前記第1のブロックは、下記一般式(b1)で表される構成単位の繰り返し構造からなる重合体で構成され、
前記第2のブロックは、下記一般式(b2m)で表される構成単位と、下記一般式(b2g)で表される構成単位とが無秩序に配列している構造からなるランダム共重合体で構成される、
ブロックコポリマー。
TIFF
2025137463000018.tif
47
134
[式(b1)中、R
1
は、アルキル基である。R
b1
は、水素原子、又はメチル基である。nは、0以上5以下の整数である。
式(b2g)中、R
2
は、置換基を有していてもよい炭素原子数2以上のアルキル基、置換基を有していてもよいシクロアルキル基、又は-R
3
-Arで表される基である。R
3
は、単結合、又はメチレン基である。Arは、置換基を有していてもよい芳香族基である。
式(b2g)及び式(b2m)中、R
b2
は、水素原子、炭素原子数1以上5以下のアルキル基、又は炭素原子数1以上5以下のハロゲン化アルキル基である。
xは、モル比を表し、0超0.8以下である。]
発明の詳細な説明
【技術分野】
【0001】
本発明は、相分離構造形成用樹脂組成物、相分離構造を含む構造体の製造方法、及びブロックコポリマーに関する。
続きを表示(約 1,700 文字)
【背景技術】
【0002】
近年、大規模集積回路(LSI)のさらなる微細化に伴い、より繊細な構造体を加工する技術が求められている。
このような要望に対し、互いに非相溶性のブロック同士が結合したブロックコポリマーの自己組織化により形成される相分離構造を利用して、より微細なパターンを形成する技術の開発が行われている(例えば、特許文献1参照)。
【0003】
上記ブロックコポリマーは、互いに非相溶性のブロック同士の反発によりミクロな領域で分離(相分離)し、熱処理等を行うことで、規則的な周期構造の構造体を形成する。この周期構造として、具体的には、シリンダー(柱状)、ラメラ(板状)、スフィア(球状)等が挙げられる。
【0004】
ブロックコポリマーの相分離構造を利用するためには、ミクロ相分離により形成される自己組織化ナノ構造を、特定の領域のみに形成し、かつ、所望の方向へ配列させることが必須である。これらの位置制御及び配向制御を実現するために、ガイドパターンによって相分離パターンを制御するグラフォエピタキシーや、基板の化学状態の違いによって相分離パターンを制御するケミカルエピタキシー等のプロセスが提案されている(例えば、非特許文献1参照)。
【0005】
ブロックコポリマーは、相分離により規則的な周期構造の構造体を形成する。
「構造体の周期」とは、相分離構造の構造体が形成された際に観察される相構造の周期を意味し、互いに非相溶である各相の長さの和をいう。相分離構造が基板表面に対して垂直なシリンダー構造を形成する場合、構造体の周期(L
0
)は、隣接する2つのシリンダー構造の中心間距離(ピッチ)となる。
【0006】
構造体の周期(L
0
)は、重合度N、及び、フローリー-ハギンズ(Flory-Huggins)の相互作用パラメータχ等の固有重合特性によって決まることが知られている。すなわち、χとNとの積「χ・N」が大きくなるほど、ブロックコポリマーにおける異なるブロック間の相互反発は大きくなる。このため、χ・N>10.5(以下「強度分離限界点」という)のときには、ブロックコポリマーにおける異種類のブロック間の反発が大きく、相分離が起こる傾向が強くなる。そして、強度分離限界点においては、構造体の周期はおよそN
2/3
・χ
1/6
となり、下式(1)の関係が成り立つ。つまり、構造体の周期は、分子量と、異なるブロック間の分子量比と、に相関する重合度Nに比例する。
【0007】
L
0
∝ a・N
2/3
・χ
1/6
・・・(1)
[式中、L
0
は、構造体の周期を表す。aは、モノマーの大きさを示すパラメータである。Nは、重合度を表す。χは、相互作用パラメータであり、この値が大きいほど、相分離性能が高いことを意味する。]
【0008】
したがって、ブロックコポリマーの組成及び総分子量を調整することによって、構造体の周期(L
0
)を調節することができる。このため、ブロックコポリマーの自己組織化により形成される相分離構造を利用して、比較的大きいL
0
の構造体を形成するために、ブロックコポリマーの分子量を大きくする方法が考えられている。
【先行技術文献】
【特許文献】
【0009】
特開2008-36491号公報
【非特許文献】
【0010】
Proc. SPIE 7637, Alternative Lithographic Technologies II, 76370G (1 April 2010)
【発明の概要】
【発明が解決しようとする課題】
(【0011】以降は省略されています)
この特許をJ-PlatPat(特許庁公式サイト)で参照する
関連特許
東京応化工業株式会社
ろ過処理方法、及び多孔質膜
1か月前
東京応化工業株式会社
レジスト組成物、及びレジストパターン形成方法
1か月前
東京応化工業株式会社
電磁波吸収体、及び電磁波吸収体形成用ペースト
1か月前
東京応化工業株式会社
レジスト組成物、およびレジストパターン形成方法
1か月前
東京応化工業株式会社
処理液、半導体基板の処理方法、及び半導体デバイスの製造方法
10日前
東京応化工業株式会社
システム、移動機構部、位置決め機構部及び培養チップ接続機構
25日前
東京応化工業株式会社
レジスト組成物、レジストパターン形成方法、及び高分子化合物
2日前
東京応化工業株式会社
処理液、これを用いた基板の処理方法、及び半導体基板の製造方法
1か月前
東京応化工業株式会社
レジスト組成物、レジストパターン形成方法、化合物及び酸拡散制御剤
2日前
東京応化工業株式会社
レジスト組成物、レジストパターン形成方法、化合物及び高分子化合物
24日前
東京応化工業株式会社
レジスト組成物、レジストパターン形成方法、化合物、および酸発生剤
1か月前
東京応化工業株式会社
レジスト組成物、レジストパターン形成方法、化合物、及び酸拡散制御剤
1か月前
東京応化工業株式会社
膜蒸留膜、膜蒸留膜の製造方法、膜蒸留モジュール、精製された液体の製造方法
1か月前
東京応化工業株式会社
レジスト組成物、レジストパターン形成方法、化合物、ラジカル重合開始剤、重合体
1か月前
東京応化工業株式会社
レジスト組成物、レジストパターン形成方法、化合物、酸発生剤、及び酸拡散制御剤
24日前
東京応化工業株式会社
レジスト材料、ドライエッチング用レジスト材料、パターン形成方法、及び、構造体
3日前
東京応化工業株式会社
多孔質膜、多孔質膜の製造方法、膜蒸留モジュール、膜蒸留装置及び精製された液体の製造方法
1か月前
東京応化工業株式会社
レジスト組成物及びレジストパターン形成方法
1か月前
東京応化工業株式会社
レジスト組成物、レジストパターン形成方法、化合物、ラジカル重合開始剤、連鎖移動剤及び重合体
1か月前
東京応化工業株式会社
レジスト組成物、レジストパターン形成方法、重合体、化合物、ラジカル重合開始剤及び連鎖移動剤
2か月前
株式会社カネカ
断熱材
23日前
東ソー株式会社
ペレット
1か月前
株式会社カネカ
硬化性組成物
4か月前
ユニチカ株式会社
透明シート
3か月前
ユニチカ株式会社
透明シート
2か月前
株式会社コバヤシ
成形体
1か月前
東レ株式会社
熱硬化性樹脂組成物
3か月前
丸住製紙株式会社
変性パルプ
2か月前
東ソー株式会社
ゴム用接着性改質剤
1か月前
住友精化株式会社
吸水剤の製造方法
2か月前
東レ株式会社
ポリエステルフィルム
1か月前
東ソー株式会社
プラスチゾル組成物
23日前
東レ株式会社
引抜成形品の製造方法
3か月前
東レ株式会社
ポリエステルフィルム
2か月前
横浜ゴム株式会社
重荷重タイヤ
1か月前
東ソー株式会社
樹脂組成物および蓋材
2か月前
続きを見る
他の特許を見る