TOP
|
特許
|
意匠
|
商標
特許ウォッチ
Twitter
他の特許を見る
10個以上の画像は省略されています。
公開番号
2025174185
公報種別
公開特許公報(A)
公開日
2025-11-28
出願番号
2024080309
出願日
2024-05-16
発明の名称
レジスト組成物、レジストパターン形成方法、及び高分子化合物
出願人
東京応化工業株式会社
代理人
個人
,
個人
,
個人
,
個人
主分類
G03F
7/039 20060101AFI20251120BHJP(写真;映画;光波以外の波を使用する類似技術;電子写真;ホログラフイ)
要約
【課題】レジストパターンを形成する際に、高感度化が図られ、LWRが低減され、高エッチング耐性、かつ、現像液による膜減り(DL)が抑制されるレジスト組成物の提供。
【解決手段】一般式(a01)で表される構成単位(a01)と、一般式(a02)で表される構成単位(a02)と、一般式(a10)で表される構成単位(a10)を有する樹脂成分(A1)を含有する、レジスト組成物。式中、na11及びna21は、それぞれ独立に、0又は1である。Ra
01
は、水素又は直鎖状若しくは分岐鎖状のアルキル基である。Ra
02
は直鎖状若しくは分岐鎖状のアルキル基である。na12及びna22が、それぞれ独立に、1又は2である。
<com:Image com:imageContentCategory="Drawing"> <com:ImageFormatCategory>TIFF</com:ImageFormatCategory> <com:FileName>2025174185000090.tif</com:FileName> <com:HeightMeasure com:measureUnitCode="Mm">52</com:HeightMeasure> <com:WidthMeasure com:measureUnitCode="Mm">170</com:WidthMeasure> </com:Image>
【選択図】なし
特許請求の範囲
【請求項1】
露光により酸を発生し、かつ、酸の作用により現像液に対する溶解性が変化するレジスト組成物であって、
酸の作用により現像液に対する溶解性が変化する樹脂成分(A1)を含有し、
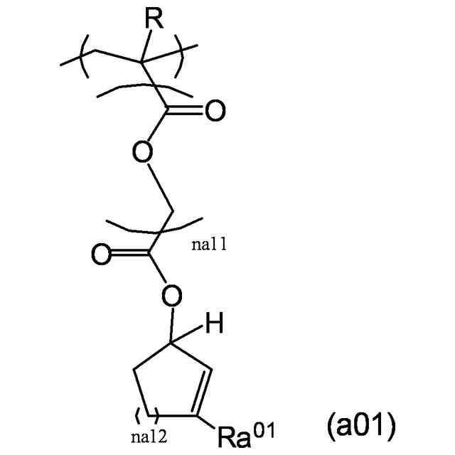
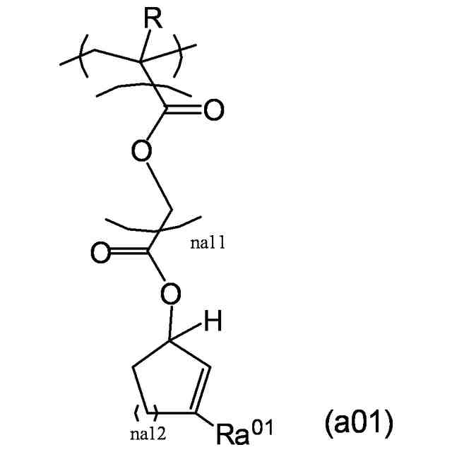
前記樹脂成分(A1)は、下記一般式(a01)で表される構成単位(a01)と、下記一般式(a02)で表される構成単位(a02)と、下記一般式(a10-1)で表される構成単位(a10)を有する、レジスト組成物。
TIFF
2025174185000084.tif
62
170
[式中、Rは、水素原子、炭素数1~5のアルキル基又は炭素数1~5のハロゲン化アルキル基である。na11は、0又は1である。Ra
01
は、水素又は直鎖状若しくは分岐鎖状のアルキル基である。na12は1又は2である。]
TIFF
2025174185000085.tif
61
170
[式中、Rは、水素原子、炭素数1~5のアルキル基又は炭素数1~5のハロゲン化アルキル基である。na21は、0又は1である。Ra
02
は直鎖状若しくは分岐鎖状のアルキル基である。na22は、1又は2である。]
TIFF
2025174185000086.tif
33
170
[式中、Wは重合性基含有基である。Wa
x0
は、置換基を有してもよい芳香族炭化水素基である。nax0は、1以上の整数である。]
続きを表示(約 960 文字)
【請求項2】
前記一般式(a01)中、Ra
01
はメチル基である、請求項1に記載のレジスト組成物。
【請求項3】
前記一般式(a02)中、Ra
02
はイソプロピル基である、請求項1に記載のレジスト組成物。
【請求項4】
支持体上に、請求項1に記載のレジスト組成物を用いてレジスト膜を形成する工程、前記レジスト膜を露光する工程、及び前記露光後のレジスト膜を現像してレジストパターンを形成する工程を有する、レジストパターン形成方法。
【請求項5】
下記一般式(a01)で表される構成単位(a01)と、下記一般式(a02)で表される構成単位(a02)と、下記一般式(a10-1)で表される構成単位(a10)を有する、高分子化合物。
TIFF
2025174185000087.tif
62
170
[式中、Rは、水素原子、炭素数1~5のアルキル基又は炭素数1~5のハロゲン化アルキル基である。na11は、0又は1である。Ra
01
は、水素又は直鎖状若しくは分岐鎖状のアルキル基である。na12は1又は2である。]
TIFF
2025174185000088.tif
61
170
[式中、Rは、水素原子、炭素数1~5のアルキル基又は炭素数1~5のハロゲン化アルキル基である。na21は、0又は1である。Ra
02
は直鎖状若しくは分岐鎖状のアルキル基である。na22は、1又は2である。]
TIFF
2025174185000089.tif
33
170
[式中、Wは重合性基含有基である。Wa
x0
は、置換基を有してもよい芳香族炭化水素基である。nax0は、1以上の整数である。]
【請求項6】
前記一般式(a01)中、Ra
01
はメチル基である、請求項5に記載の高分子化合物。
【請求項7】
前記一般式(a02)中、Ra
02
はイソプロピル基である、請求項5に記載の高分子化合物。
発明の詳細な説明
【技術分野】
【0001】
本発明は、レジスト組成物、レジストパターン形成方法、及び化合物に関する。
続きを表示(約 1,700 文字)
【背景技術】
【0002】
近年、半導体素子や液晶表示素子の製造においては、リソグラフィー技術の進歩により急速にパターンの微細化が進んでいる。微細化の手法としては、一般に、露光光源の短波長化(高エネルギー化)が行われている。
レジスト材料には、これらの露光光源に対する感度、微細な寸法のパターンを再現できる解像性等のリソグラフィー特性が求められる。
このような要求を満たすレジスト材料として、従来、酸の作用により現像液に対する溶解性が変化する基材成分と、露光により酸を発生する酸発生剤成分と、を含有する化学増幅型レジスト組成物が用いられている。
【0003】
レジスト材料には、これらの露光光源に対する感度、微細な寸法のパターンを再現できる解像性等のリソグラフィー特性が求められる。
このような要求を満たすレジスト材料として、従来、酸の作用により現像液に対する溶解性が変化する基材成分と、露光により酸を発生する酸発生剤成分と、を含有する化学増幅型レジスト組成物が用いられている。
化学増幅型レジスト組成物においては、一般的に、リソグラフィー特性等の向上のために、前記基材成分として、複数の構成単位を有する樹脂が用いられている。
【0004】
例えば、特許文献1には、不飽和結合を有する酸解離性基が結合した構成単位を有する樹脂成分を含有するレジスト組成物が開示されている。
【先行技術文献】
【特許文献】
【0005】
特開2019-120759号公報
【発明の概要】
【発明が解決しようとする課題】
【0006】
リソグラフィー技術のさらなる進歩、応用分野の拡大等が進み、急速にパターンの微細化が進んでいる。そして、これに伴い、半導体素子等を製造する際には、微細なパターンを良好な形状で形成できる技術が求められる。例えば、EUVやEBによるリソグラフィーでは、数十nmの微細なパターン形成が目標とされる。
しかしながら、特許文献1に記載されているような従来のレジスト組成物においては、更なる解像性の向上が必要である。
【0007】
本発明は、上記事情に鑑みてなされたものであって、レジストパターンを形成する際に、高感度化が図られ、LWRが低減され、高エッチング耐性、かつ、現像液による膜減り(DL)が抑制されるレジスト組成物、当該レジスト組成物を用いたレジストパターン形成方法、当該レジスト組成物に用いる基材成分の原料として有用な高分子化合物を提供することを課題とする。
【課題を解決するための手段】
【0008】
上記の課題を解決するために、本発明は以下の構成を採用した。
すなわち、本発明の第1の態様は、露光により酸を発生し、かつ、酸の作用により現像液に対する溶解性が変化するレジスト組成物であって、酸の作用により現像液に対する溶解性が変化する樹脂成分(A1)を含有し、前記樹脂成分(A1)は、下記一般式(a0-1)で表される構成単位(a01)と、下記一般式(a0-2)で表される構成単位(a02)と、下記一般式(a10-1)で表される構成単位を有する、レジスト組成物である。
【0009】
TIFF
2025174185000001.tif
62
170
[式中、Rは、水素原子、炭素数1~5のアルキル基又は炭素数1~5のハロゲン化アルキル基である。na11は、0又は1である。Ra
01
は、水素又は直鎖状若しくは分岐鎖状のアルキル基である。na12は1又は2である。]
【0010】
TIFF
2025174185000002.tif
61
170
[式中、Rは、水素原子、炭素数1~5のアルキル基又は炭素数1~5のハロゲン化アルキル基である。na21は、0又は1である。Ra
02
は直鎖状若しくは分岐鎖状のアルキル基である。na22は、1又は2である。]
(【0011】以降は省略されています)
この特許をJ-PlatPat(特許庁公式サイト)で参照する
関連特許
東京応化工業株式会社
発電装置
2か月前
東京応化工業株式会社
ろ過処理方法、及び多孔質膜
1か月前
東京応化工業株式会社
電磁波吸収体、及び電磁波吸収体形成用ペースト
1か月前
東京応化工業株式会社
レジスト組成物、及びレジストパターン形成方法
1か月前
東京応化工業株式会社
レジスト組成物、およびレジストパターン形成方法
1か月前
東京応化工業株式会社
化合物
2か月前
東京応化工業株式会社
レジスト組成物、レジストパターン形成方法、及び光酸発生剤
2か月前
東京応化工業株式会社
レジスト組成物、レジストパターン形成方法、及び高分子化合物
2日前
東京応化工業株式会社
処理液、半導体基板の処理方法、及び半導体デバイスの製造方法
10日前
東京応化工業株式会社
システム、移動機構部、位置決め機構部及び培養チップ接続機構
25日前
東京応化工業株式会社
処理液、これを用いた基板の処理方法、及び半導体基板の製造方法
1か月前
東京応化工業株式会社
レジスト組成物、レジストパターン形成方法、化合物、及び酸発生剤
2か月前
東京応化工業株式会社
レジスト組成物、レジストパターン形成方法、化合物、及び酸発生剤
2か月前
東京応化工業株式会社
レジスト組成物、レジストパターン形成方法、化合物及び酸拡散制御剤
2日前
東京応化工業株式会社
レジスト組成物、レジストパターン形成方法、化合物、および酸発生剤
1か月前
東京応化工業株式会社
レジスト組成物、レジストパターン形成方法、化合物及び高分子化合物
24日前
東京応化工業株式会社
レジスト組成物、レジストパターン形成方法、化合物、及び酸拡散制御剤
1か月前
東京応化工業株式会社
レジスト組成物、レジストパターン形成方法、化合物、及び酸拡散制御剤
2か月前
東京応化工業株式会社
膜蒸留膜、膜蒸留膜の製造方法、膜蒸留モジュール、精製された液体の製造方法
1か月前
東京応化工業株式会社
レジスト組成物、レジストパターン形成方法、化合物、ラジカル重合開始剤、重合体
1か月前
東京応化工業株式会社
レジスト組成物、レジストパターン形成方法、化合物、酸発生剤、及び酸拡散制御剤
24日前
東京応化工業株式会社
レジスト材料、ドライエッチング用レジスト材料、パターン形成方法、及び、構造体
3日前
東京応化工業株式会社
相分離構造形成用樹脂組成物、相分離構造を含む構造体の製造方法、及びブロックコポリマー
2か月前
東京応化工業株式会社
多孔質膜、多孔質膜の製造方法、膜蒸留モジュール、膜蒸留装置及び精製された液体の製造方法
1か月前
東京応化工業株式会社
レジスト組成物及びレジストパターン形成方法
1か月前
東京応化工業株式会社
レジスト組成物、レジストパターン形成方法、化合物、ラジカル重合開始剤、連鎖移動剤及び重合体
1か月前
東京応化工業株式会社
レジスト組成物、レジストパターン形成方法、重合体、化合物、ラジカル重合開始剤及び連鎖移動剤
2か月前
東京応化工業株式会社
レジスト組成物、レジストパターン形成方法、化合物、及び酸発生剤
2か月前
個人
表示装置
1か月前
個人
雨用レンズカバー
1か月前
株式会社シグマ
絞りユニット
2か月前
キヤノン株式会社
撮像装置
1か月前
平和精機工業株式会社
雲台
3か月前
キヤノン株式会社
撮像装置
1か月前
キヤノン株式会社
撮像装置
2か月前
キヤノン株式会社
撮像装置
2か月前
続きを見る
他の特許を見る