TOP
|
特許
|
意匠
|
商標
特許ウォッチ
Twitter
他の特許を見る
10個以上の画像は省略されています。
公開番号
2025151344
公報種別
公開特許公報(A)
公開日
2025-10-09
出願番号
2024052719
出願日
2024-03-28
発明の名称
処理液、これを用いた基板の処理方法、及び半導体基板の製造方法
出願人
東京応化工業株式会社
代理人
弁理士法人薫風国際特許商標事務所
主分類
H01L
21/304 20060101AFI20251002BHJP(基本的電気素子)
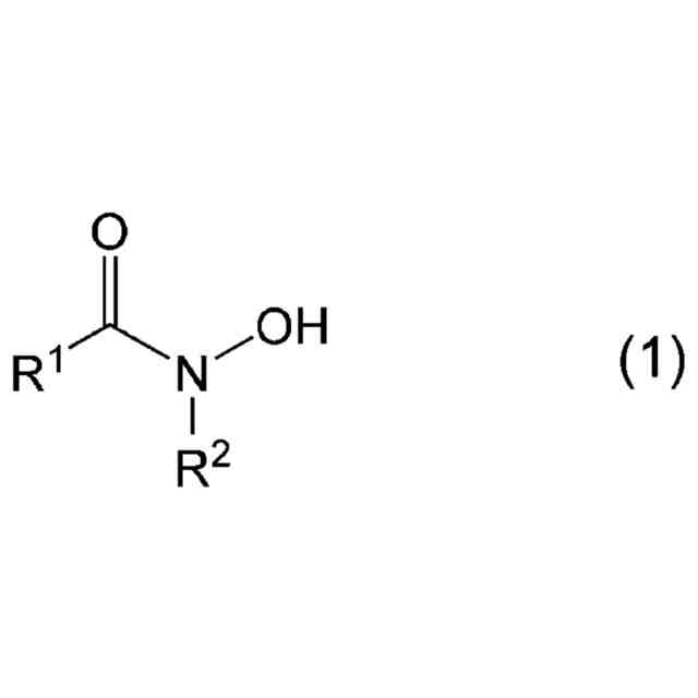
要約
【課題】金属含有層のダメージ抑制と洗浄性を両立できる処理液、これを用いた基板の処理方法及び半導体基板の製造方法を提供する。
【解決手段】処理液は、一般式(1)で表される化合物、化合物の水和物及び化合物の塩からなる群より選択される少なくとも1種の防食剤と、エッチャントと、水と、を含む。
<com:Image com:imageContentCategory="Drawing"> <com:ImageFormatCategory>JPEG</com:ImageFormatCategory> <com:FileName>2025151344000015.jpg</com:FileName> <com:HeightMeasure com:measureUnitCode="Mm">42</com:HeightMeasure> <com:WidthMeasure com:measureUnitCode="Mm">161</com:WidthMeasure> </com:Image>
式中、R
1
は、置換若しくは無置換の脂肪族炭化水素基、置換若しくは無置換の脂環式炭化水素基、又は、置換若しくは無置換の芳香族炭化水素基を表し、R
2
は、水素原子、カルボニル基を含有する有機基を表し、R
1
及びR
2
は互いに結合して環構造を形成する。
【選択図】なし
特許請求の範囲
【請求項1】
下記一般式(1)で表される化合物(1)、前記化合物(1)の水和物、及び前記化合物(1)の塩からなる群より選択される少なくとも1種の防食剤と、
エッチャントと、
水と、を含む処理液。
JPEG
2025151344000012.jpg
42
161
(式中、R
1
は、置換若しくは無置換の脂肪族炭化水素基、置換若しくは無置換の脂環式炭化水素基、又は、置換若しくは無置換の芳香族炭化水素基を表し、R
2
は、水素原子、カルボニル基を含有する有機基を表し、R
1
及びR
2
は互いに結合して、環構造を形成していてもよい。)
続きを表示(約 990 文字)
【請求項2】
前記一般式(1)中のR
1
及びR
2
の少なくともいずれかは、置換又は無置換の炭素数1~15の脂肪族炭化水素基である、
請求項1に記載の処理液。
【請求項3】
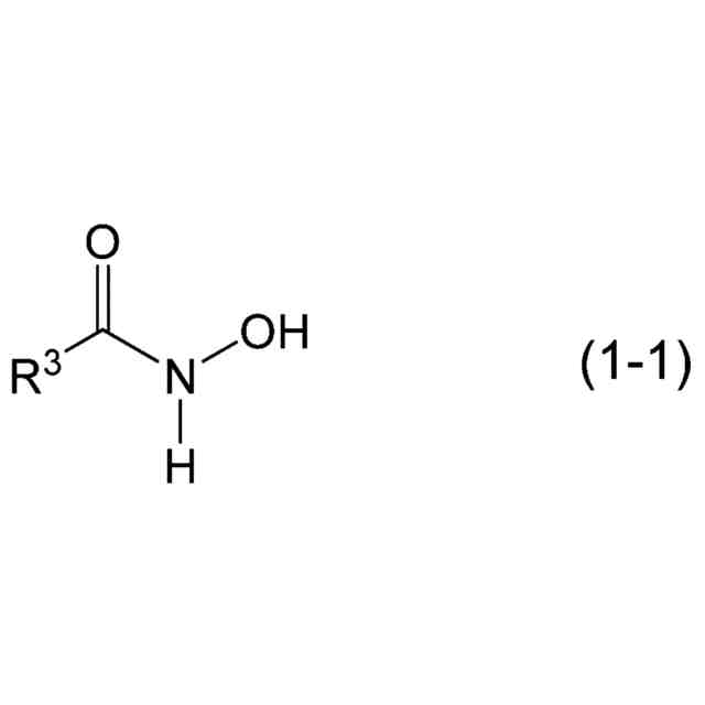
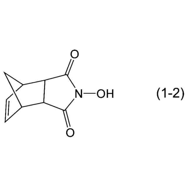
前記化合物(1)は、下記式(1-1)で表される化合物(1-1)又は下記式(1-2)で表される化合物(1-2)である、
請求項1又は2に記載の処理液。
JPEG
2025151344000013.jpg
43
161
(式中、R
3
は、置換若しくは無置換の炭素数1~15の脂肪族炭化水素基、置換若しくは無置換の炭素数1~15の脂環式炭化水素基、又は、置換若しくは無置換の芳香族炭化水素基を表す。)
JPEG
2025151344000014.jpg
51
161
【請求項4】
前記エッチャントは、過酸化水素、フッ化水素、ヒドロキシルアミン、ヒドロキシルアミン誘導体、及びアルカノールアミンからなる群より選択される少なくとも1種である、
請求項1又は2に記載の処理液。
【請求項5】
さらに、pH調整剤を含有する、
請求項1又は2に記載の処理液。
【請求項6】
pHが、4~13である、
請求項1又は2に記載の処理液。
【請求項7】
エッチング後の基板を処理するための処理液であり、
前記基板は、チタン原子、アルミニウム原子、及び銅原子からなる群より選択される少なくとも1種の金属を含有する層を有する、
請求項1又は2に記載の処理液。
【請求項8】
請求項1又は2に記載の処理液を用いて、エッチング後の基板を処理する工程を含む、
基板の処理方法。
【請求項9】
前記基板は、チタン原子、アルミニウム原子、及び銅原子からなる群より選択される少なくとも1種の金属を含有する層を有する、
請求項8に記載の基板の処理方法。
【請求項10】
請求項1又は2に記載の処理液を用いて、エッチング後の基板を処理する工程を含む、
半導体基板の製造方法。
(【請求項11】以降は省略されています)
発明の詳細な説明
【技術分野】
【0001】
本発明は、処理液、これを用いた基板の処理方法、及び半導体基板の製造方法に関する。
続きを表示(約 1,300 文字)
【背景技術】
【0002】
配線形成工程において、例えば、基板と、金属配線層と、エッチング停止層と、シリコン系の層間絶縁膜とがこの順に積層した層間絶縁膜上に、ハードマスク層(HM層)を形成し、このHM層をエッチングして配線パターンの原型を形成する。HM層には、窒化チタン(TiN)や酸化チタン(TiO
x
)が含まれる。
【0003】
次に、エッチングされたHM層をマスクとして層間絶縁膜をドライエッチングし、マスクと同様の配線パターンを作製する。次に、HM層を除去し、電解メッキによって、例えば銅金属膜が配線パターン形状の層間絶縁膜に埋め込まれる。
【0004】
ドライエッチング後の素子(基板/金属配線層/エッチング停止層/層間絶縁膜/HM層)には、HM層や層間絶縁膜由来のTi含有残渣やSi含有残渣が付着している。
【0005】
このような基板の処理液としては、例えば、特許文献1には、有機溶媒、親核性アミノン、及び還元剤を含むストリッピング組成物が記載されている。
【先行技術文献】
【特許文献】
【0006】
特許第2819392号公報
【発明の概要】
【発明が解決しようとする課題】
【0007】
ところで、上述した処理液には、各種金属を使用した金属配線層やエッチング停止層等へのダメージ抑制と、洗浄性とを両立できることが求められている。この点、TiN等のチタン原子含有金属層、酸化アルミニウム等のアルミニウム原子含有金属層、又は、銅基板や銅原子含有金属層のダメージ抑制と、チタン系残渣(チタン又はチタン系合金を含有する残渣)やケイ素系残渣(ケイ素原子を含有する残渣)等を除去する際の残渣除去性と、を両立させることについては、改善の余地がある。このようなことから、チタン原子、アルミニウム原子、又は銅原子等を含有する金属含有層のダメージを抑制でき、かつ、チタン原子又はケイ素原子等を含有する残渣の除去性に優れる、処理液の開発が求められている。
【0008】
本発明は、このような事情に鑑みてなされたものであり、金属含有層のダメージ抑制と洗浄性を両立できる処理液、これを用いた基板の処理方法、及び半導体基板の製造方法を提供することを目的とする。
【課題を解決するための手段】
【0009】
本発明者らは、上述した目的を達成するために鋭意検討した結果、特定の構造を有する化合物(1)、この化合物(1)の水和物、及びこの化合物(1)の塩からなる群より選択される少なくとも1種の防食剤と、エッチャントと、水と、を含む処理液とすることを見出して、本発明を完成するに至った。
【0010】
すなわち、本発明は以下のとおりである。
〔1〕
下記一般式(1)で表される化合物(1)、前記化合物(1)の水和物、及び前記化合物(1)の塩からなる群より選択される少なくとも1種の防食剤と、エッチャントと、水と、を含む処理液である。
(【0011】以降は省略されています)
この特許をJ-PlatPat(特許庁公式サイト)で参照する
関連特許
東京応化工業株式会社
発電装置
1か月前
東京応化工業株式会社
ろ過処理方法、及び多孔質膜
28日前
東京応化工業株式会社
レジスト組成物、及びレジストパターン形成方法
28日前
東京応化工業株式会社
電磁波吸収体、及び電磁波吸収体形成用ペースト
9日前
東京応化工業株式会社
レジスト組成物、およびレジストパターン形成方法
27日前
東京応化工業株式会社
化合物
1か月前
東京応化工業株式会社
レジスト組成物、レジストパターン形成方法、及び光酸発生剤
1か月前
東京応化工業株式会社
システム、移動機構部、位置決め機構部及び培養チップ接続機構
1日前
東京応化工業株式会社
処理液、これを用いた基板の処理方法、及び半導体基板の製造方法
28日前
東京応化工業株式会社
レジスト組成物、レジストパターン形成方法、共重合体及び化合物
1か月前
東京応化工業株式会社
レジスト組成物、レジストパターン形成方法、化合物、及び酸発生剤
1か月前
東京応化工業株式会社
レジスト組成物、レジストパターン形成方法、化合物、及び酸発生剤
1か月前
東京応化工業株式会社
レジスト組成物、レジストパターン形成方法、化合物及び高分子化合物
今日
東京応化工業株式会社
レジスト組成物、レジストパターン形成方法、化合物、および酸発生剤
27日前
東京応化工業株式会社
レジスト組成物、レジストパターン形成方法、化合物、及び酸拡散制御剤
20日前
東京応化工業株式会社
レジスト組成物、レジストパターン形成方法、化合物、及び酸拡散制御剤
1か月前
東京応化工業株式会社
膜蒸留膜、膜蒸留膜の製造方法、膜蒸留モジュール、精製された液体の製造方法
13日前
東京応化工業株式会社
レジスト組成物、レジストパターン形成方法、化合物、酸発生剤、及び酸拡散制御剤
今日
東京応化工業株式会社
レジスト組成物、レジストパターン形成方法、化合物、ラジカル重合開始剤、重合体
22日前
東京応化工業株式会社
感光性組成物、感光性膜、下層膜、相分離構造を有する構造体の製造方法、及び化合物
1か月前
東京応化工業株式会社
相分離構造形成用樹脂組成物、相分離構造を含む構造体の製造方法、及びブロックコポリマー
1か月前
東京応化工業株式会社
ワニス組成物、及びポリイミド膜の製造方法
1か月前
東京応化工業株式会社
多孔質膜、多孔質膜の製造方法、膜蒸留モジュール、膜蒸留装置及び精製された液体の製造方法
23日前
東京応化工業株式会社
レジスト組成物及びレジストパターン形成方法
20日前
東京応化工業株式会社
レジスト組成物、レジストパターン形成方法、化合物、ラジカル重合開始剤、連鎖移動剤及び重合体
27日前
東京応化工業株式会社
レジスト組成物、レジストパターン形成方法、重合体、化合物、ラジカル重合開始剤及び連鎖移動剤
1か月前
東京応化工業株式会社
レジスト組成物、レジストパターン形成方法、化合物、及び酸発生剤
1か月前
東京応化工業株式会社
ネガ型感光性樹脂組成物、樹脂膜の製造方法、パターン化された樹脂膜の製造方法、パターン化されたポリイミド樹脂膜の製造方法、及びポリイミド樹脂前駆体
1か月前
APB株式会社
蓄電セル
13日前
東ソー株式会社
絶縁電線
15日前
個人
フレキシブル電気化学素子
27日前
ローム株式会社
半導体装置
29日前
日新イオン機器株式会社
イオン源
23日前
マクセル株式会社
電源装置
7日前
ローム株式会社
半導体装置
14日前
株式会社東芝
端子台
7日前
続きを見る
他の特許を見る