TOP
|
特許
|
意匠
|
商標
特許ウォッチ
Twitter
他の特許を見る
10個以上の画像は省略されています。
公開番号
2025135247
公報種別
公開特許公報(A)
公開日
2025-09-18
出願番号
2024032995
出願日
2024-03-05
発明の名称
レジスト組成物、レジストパターン形成方法、共重合体及び化合物
出願人
東京応化工業株式会社
代理人
個人
,
個人
,
個人
,
個人
主分類
G03F
7/039 20060101AFI20250910BHJP(写真;映画;光波以外の波を使用する類似技術;電子写真;ホログラフイ)
要約
【課題】レジストパターン形成において、高感度化が図られ、ラフネス低減及び膜減り抑制の効果をいずれも高められるレジスト組成物等を提供する。
【解決手段】本発明は、一般式(a00)で表される構成単位と、一般式(a01)で表される構成単位と、一般式(a02)で表される構成単位と、を有する共重合体を含む、レジスト組成物、を採用する。式中、R
0a
、R
0b
、R
01
及びR
02
は、それぞれ独立に、炭素原子数1~5のアルキル基、炭素原子数1~5のハロゲン化アルキル基又は水素原子である。L
00
及びL
01
は、それぞれ独立に、2価の連結基又は単結合である。L
02
は、2価の連結基である。R
Ar
は、特定の置換基を有してもよい芳香族基である。R
X
は、酸解離性基である。Z
-
は、アニオン基である。
<com:Image com:imageContentCategory="Drawing"> <com:ImageFormatCategory>TIFF</com:ImageFormatCategory> <com:FileName>2025135247000120.tif</com:FileName> <com:HeightMeasure com:measureUnitCode="Mm">48</com:HeightMeasure> <com:WidthMeasure com:measureUnitCode="Mm">170</com:WidthMeasure> </com:Image>
【選択図】なし
特許請求の範囲
【請求項1】
露光により酸を発生し、かつ、酸の作用により現像液に対する溶解性が変化するレジスト組成物であって、
酸の作用により現像液に対する溶解性が変化する樹脂成分を含有し、
前記樹脂成分は、
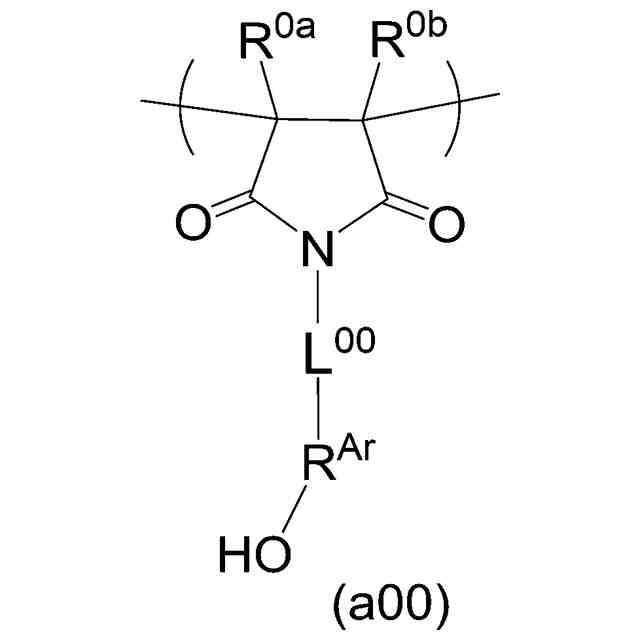
下記一般式(a00)で表される構成単位と、
下記一般式(a01)で表される構成単位と、
下記一般式(a02)で表され、露光により酸を発生する構成単位と、
を有する共重合体を含む、レジスト組成物。
TIFF
2025135247000117.tif
65
170
[式(a00)中、R
0a
及びR
0b
は、それぞれ独立に、炭素原子数1~5のアルキル基、炭素原子数1~5のハロゲン化アルキル基又は水素原子である。L
00
は、2価の連結基又は単結合である。R
Ar
は、置換基を有してもよい芳香族基である。但し、この芳香族基が有してもよい置換基は、ハロゲン原子、アルキル基、ハロゲン化アルキル基、アリール基、アルコキシ基及びヒドロキシ基からなる群より選択される少なくとも一種である。式(a01)中、R
01
は、炭素原子数1~5のアルキル基、炭素原子数1~5のハロゲン化アルキル基又は水素原子である。L
01
は、2価の連結基又は単結合である。R
X
は、酸解離性基である。式(a02)中、R
02
は、炭素原子数1~5のアルキル基、炭素原子数1~5のハロゲン化アルキル基又は水素原子である。L
02
は、2価の連結基である。Z
-
は、アニオン基である。M
m+
は、m価のオニウムカチオンである。mは1以上の整数である。]
続きを表示(約 1,500 文字)
【請求項2】
前記式(a00)中のR
Ar
が、置換基としてヨウ素原子を有する芳香族基である、請求項1に記載のレジスト組成物。
【請求項3】
前記式(a01)中のR
X
が、当該式(a01)中の-C(=O)-O-における酸素原子(-O-)と炭素原子を介して結合し、当該炭素原子のα位と当該炭素原子のβ位とで形成される炭素-炭素不飽和結合を有する酸解離性基である、請求項1に記載のレジスト組成物。
【請求項4】
前記式(a02)中のM
m+
が、フッ素原子を有するm価のオニウムカチオンである、請求項1に記載のレジスト組成物。
【請求項5】
前記式(a02)中のZ
-
が、スルホネートイオンである、請求項1に記載のレジスト組成物。
【請求項6】
支持体上に、請求項1~5のいずれか一項に記載のレジスト組成物を用いてレジスト膜を形成する工程、前記レジスト膜を露光する工程、及び前記露光後のレジスト膜を現像してレジストパターンを形成する工程を有する、レジストパターン形成方法。
【請求項7】
下記一般式(a00)で表される構成単位と、
下記一般式(a01)で表される構成単位と、
下記一般式(a02)で表され、露光により酸を発生する構成単位と、
を有する共重合体。
TIFF
2025135247000118.tif
65
170
[式(a00)中、R
0a
及びR
0b
は、それぞれ独立に、炭素原子数1~5のアルキル基、炭素原子数1~5のハロゲン化アルキル基又は水素原子である。L
00
は、2価の連結基又は単結合である。R
Ar
は、置換基を有してもよい芳香族基である。但し、この芳香族基が有してもよい置換基は、ハロゲン原子、アルキル基、ハロゲン化アルキル基、アリール基、アルコキシ基及びヒドロキシ基からなる群より選択される少なくとも一種である。式(a01)中、R
01
は、炭素原子数1~5のアルキル基、炭素原子数1~5のハロゲン化アルキル基又は水素原子である。L
01
は、2価の連結基又は単結合である。R
X
は、酸解離性基である。式(a02)中、R
02
は、炭素原子数1~5のアルキル基、炭素原子数1~5のハロゲン化アルキル基又は水素原子である。L
02
は、2価の連結基である。Z
-
は、アニオン基である。M
m+
は、m価のオニウムカチオンである。mは1以上の整数である。]
【請求項8】
前記式(a00)中のR
Ar
が、置換基としてヨウ素原子を有する芳香族基である、請求項7に記載の共重合体。
【請求項9】
前記式(a01)中のR
X
が、当該式(a01)中の-C(=O)-O-における酸素原子(-O-)と炭素原子を介して結合し、当該炭素原子のα位と当該炭素原子のβ位とで形成される炭素-炭素不飽和結合を有する酸解離性基である、請求項7に記載の共重合体。
【請求項10】
前記式(a02)中のM
m+
が、フッ素原子を有するm価のオニウムカチオンである、請求項7に記載の共重合体。
(【請求項11】以降は省略されています)
発明の詳細な説明
【技術分野】
【0001】
本発明は、レジスト組成物、レジストパターン形成方法、共重合体及び化合物に関する。
続きを表示(約 2,200 文字)
【背景技術】
【0002】
近年、半導体素子や液晶表示素子の製造においては、リソグラフィー技術の進歩により急速にパターンの微細化が進んでいる。微細化の手法としては、一般に、露光光源の短波長化(高エネルギー化)が行われている。
レジスト材料には、これらの露光光源に対する感度、微細な寸法のパターンを再現できる解像性等のリソグラフィー特性が求められる。
このような要求を満たすレジスト材料として、従来、酸の作用により現像液に対する溶解性が変化する基材成分と、露光により酸を発生する酸発生剤成分と、を含有する化学増幅型レジスト組成物が用いられている。
【0003】
化学増幅型レジスト組成物においては、一般的に、リソグラフィー特性等の向上のために、前記基材成分として、複数の構成単位を有する樹脂が用いられている。前記酸発生剤としては、これまで多種多様なものが提案されている。例えば、ヨードニウム塩やスルホニウム塩などのオニウム塩系酸発生剤、オキシムスルホネート系酸発生剤、ジアゾメタン系酸発生剤、ニトロベンジルスルホネート系酸発生剤、イミノスルホネート系酸発生剤、ジスルホン系酸発生剤などが知られている。
【0004】
また、化学増幅型レジスト組成物においては、酸発生剤成分として、露光により酸を発生する酸発生基を含む構成単位を導入した高分子化合物が提案されている(例えば、特許文献1参照)。このような高分子化合物は、酸発生剤としての機能と、基材成分としての機能とを併せ持つ。
【先行技術文献】
【特許文献】
【0005】
特開2014-197168号公報
【発明の概要】
【発明が解決しようとする課題】
【0006】
リソグラフィー技術のさらなる進歩、レジストパターンの微細化がますます進むなか、例えばEUV(極端紫外線)又はEB(電子線)によるリソグラフィーでは、数十nmの微細なパターン形成が目標とされる。このようにパターン寸法が小さくなるほど、露光光源に対して高い感度、及びラフネス低減等のリソグラフィー特性のいずれもが要求される。これに加えて、レジストパターンの微細化に伴い、現像時に、レジスト膜の特に未露光部が現像液に対して過度に溶解することで、現像ロス(膜減り)が問題となる場合がある。
しかしながら、特許文献1に記載されているような従来のレジスト組成物においては、これらの要求特性の点で、更なる向上が必要である。
【0007】
本発明は、上記事情に鑑みてなされたものであり、レジストパターン形成において、高感度化が図られ、ラフネス低減及び膜減り抑制の効果をいずれも高められるレジスト組成物、当該レジスト組成物を用いたレジストパターン形成方法、当該レジスト組成物に有用な共重合体、及び当該共重合体の合成に利用可能な化合物を提供すること、を課題とする。
【課題を解決するための手段】
【0008】
上記の課題を解決するために、本発明は以下の構成を採用した。
すなわち、本発明の第1の態様は、露光により酸を発生し、かつ、酸の作用により現像液に対する溶解性が変化するレジスト組成物であって、酸の作用により現像液に対する溶解性が変化する樹脂成分を含有し、前記樹脂成分は、下記一般式(a00)で表される構成単位と、下記一般式(a01)で表される構成単位と、下記一般式(a02)で表され、露光により酸を発生する構成単位と、を有する共重合体を含む、レジスト組成物である。
【0009】
TIFF
2025135247000001.tif
65
170
[式(a00)中、R
0a
及びR
0b
は、それぞれ独立に、炭素原子数1~5のアルキル基、炭素原子数1~5のハロゲン化アルキル基又は水素原子である。L
00
は、2価の連結基又は単結合である。R
Ar
は、置換基を有してもよい芳香族基である。但し、この芳香族基が有してもよい置換基は、ハロゲン原子、アルキル基、ハロゲン化アルキル基、アリール基、アルコキシ基及びヒドロキシ基からなる群より選択される少なくとも一種である。式(a01)中、R
01
は、炭素原子数1~5のアルキル基、炭素原子数1~5のハロゲン化アルキル基又は水素原子である。L
01
は、2価の連結基又は単結合である。R
X
は、酸解離性基である。式(a02)中、R
02
は、炭素原子数1~5のアルキル基、炭素原子数1~5のハロゲン化アルキル基又は水素原子である。L
02
は、2価の連結基である。Z
-
は、アニオン基である。M
m+
は、m価のオニウムカチオンである。mは1以上の整数である。]
【0010】
本発明の第2の態様は、支持体上に、前記第1の態様に係るレジスト組成物を用いてレジスト膜を形成する工程、前記レジスト膜を露光する工程、及び前記露光後のレジスト膜を現像してレジストパターンを形成する工程を有する、レジストパターン形成方法である。
(【0011】以降は省略されています)
この特許をJ-PlatPat(特許庁公式サイト)で参照する
関連特許
東京応化工業株式会社
発電装置
1か月前
東京応化工業株式会社
ろ過処理方法、及び多孔質膜
19日前
東京応化工業株式会社
電磁波吸収体、及び電磁波吸収体形成用ペースト
今日
東京応化工業株式会社
レジスト組成物、及びレジストパターン形成方法
19日前
東京応化工業株式会社
レジスト組成物、およびレジストパターン形成方法
18日前
東京応化工業株式会社
処理液、半導体基板の処理方法、及び半導体の製造方法
1か月前
東京応化工業株式会社
処理液、半導体基板の処理方法、及び半導体の製造方法
1か月前
東京応化工業株式会社
化合物
1か月前
東京応化工業株式会社
レジスト組成物、レジストパターン形成方法、及び光酸発生剤
1か月前
東京応化工業株式会社
処理液、これを用いた基板の処理方法、及び半導体基板の製造方法
19日前
東京応化工業株式会社
レジスト組成物、レジストパターン形成方法、共重合体及び化合物
1か月前
東京応化工業株式会社
レジスト組成物、レジストパターン形成方法、化合物、及び酸発生剤
1か月前
東京応化工業株式会社
レジスト組成物、レジストパターン形成方法、化合物、及び酸発生剤
1か月前
東京応化工業株式会社
レジスト組成物、レジストパターン形成方法、化合物、および酸発生剤
18日前
東京応化工業株式会社
レジスト組成物、レジストパターン形成方法、化合物、及び酸拡散制御剤
11日前
東京応化工業株式会社
レジスト組成物、レジストパターン形成方法、化合物、及び酸拡散制御剤
1か月前
東京応化工業株式会社
中空構造体、感光性組成物、感光性組成物の製造方法、感光性組成物の検査方法
2か月前
東京応化工業株式会社
膜蒸留膜、膜蒸留膜の製造方法、膜蒸留モジュール、精製された液体の製造方法
4日前
東京応化工業株式会社
レジスト組成物、レジストパターン形成方法、化合物、ラジカル重合開始剤、重合体
13日前
東京応化工業株式会社
感光性組成物、感光性膜、下層膜、相分離構造を有する構造体の製造方法、及び化合物
1か月前
東京応化工業株式会社
ワニス組成物、及びポリイミド膜の製造方法
1か月前
東京応化工業株式会社
相分離構造形成用樹脂組成物、相分離構造を含む構造体の製造方法、及びブロックコポリマー
1か月前
東京応化工業株式会社
多孔質膜、多孔質膜の製造方法、膜蒸留モジュール、膜蒸留装置及び精製された液体の製造方法
14日前
東京応化工業株式会社
レジスト組成物及びレジストパターン形成方法
11日前
東京応化工業株式会社
ネガ型感光性組成物及び中空構造体の製造方法
2か月前
東京応化工業株式会社
レジスト組成物、レジストパターン形成方法、化合物、ラジカル重合開始剤、連鎖移動剤及び重合体
18日前
東京応化工業株式会社
ネガ型感光性樹脂フィルム、積層フィルム、ドライフィルム、硬化物、中空構造体、プリント配線板
1か月前
東京応化工業株式会社
レジスト組成物、レジストパターン形成方法、重合体、化合物、ラジカル重合開始剤及び連鎖移動剤
29日前
東京応化工業株式会社
レジスト組成物、レジストパターン形成方法、化合物、及び酸発生剤
1か月前
東京応化工業株式会社
ネガ型感光性樹脂組成物、樹脂膜の製造方法、パターン化された樹脂膜の製造方法、パターン化されたポリイミド樹脂膜の製造方法、及びポリイミド樹脂前駆体
1か月前
個人
表示装置
13日前
個人
雨用レンズカバー
11日前
株式会社シグマ
絞りユニット
1か月前
キヤノン株式会社
撮像装置
1か月前
キヤノン株式会社
撮像装置
1か月前
キヤノン株式会社
撮像装置
4日前
続きを見る
他の特許を見る