TOP
|
特許
|
意匠
|
商標
特許ウォッチ
Twitter
他の特許を見る
10個以上の画像は省略されています。
公開番号
2025153294
公報種別
公開特許公報(A)
公開日
2025-10-10
出願番号
2024055690
出願日
2024-03-29
発明の名称
レジスト組成物、レジストパターン形成方法、化合物、ラジカル重合開始剤、連鎖移動剤及び重合体
出願人
東京応化工業株式会社
代理人
個人
,
個人
,
個人
,
個人
主分類
G03F
7/039 20060101AFI20251002BHJP(写真;映画;光波以外の波を使用する類似技術;電子写真;ホログラフイ)
要約
【課題】レジストパターンの形成において、感度、ラフネス及びエッチング耐性がいずれも良好なレジスト組成物、当該レジスト組成物を用いたレジストパターン形成方法、当該レジスト組成物に好適な化合物、ラジカル重合開始剤、連鎖移動剤及び重合体の提供。
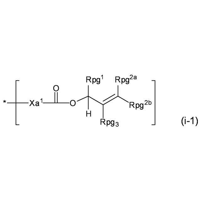
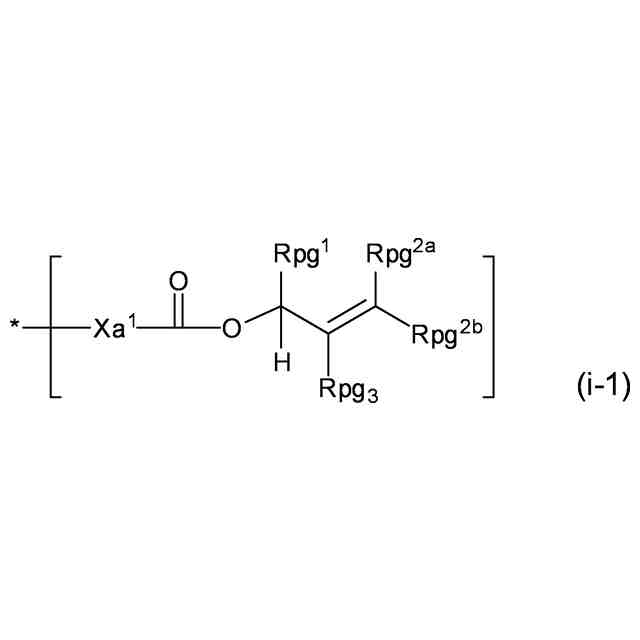
【解決手段】主鎖の少なくとも一方の末端に、下記一般式(i-1)で表される基を有する重合体を含有する、レジスト組成物。式中、Xa
1
は2価の連結基である。Rpg
1
は、置換基を有してもよい炭化水素基である。Rpg
2a
及びRpg
2b
は、それぞれ独立に、水素原子、ハロゲン原子又はアルキル基である。Rpg
3
は、水素原子又は置換基を有してもよい炭化水素基である。Rpg
1
とRpg
2a
又はRpg
2b
とは、互いに結合して環を形成してもよい。Rpg
2a
又はRpg
2b
と、Rpg
3
とは、互いに結合して環を形成してもよい。
[化1]
<com:Image com:imageContentCategory="Drawing"> <com:ImageFormatCategory>TIFF</com:ImageFormatCategory> <com:FileName>2025153294000103.tif</com:FileName> <com:HeightMeasure com:measureUnitCode="Mm">31</com:HeightMeasure> <com:WidthMeasure com:measureUnitCode="Mm">170</com:WidthMeasure> </com:Image> 【選択図】なし
特許請求の範囲
【請求項1】
露光により酸を発生し、かつ、酸の作用により現像液に対する溶解性が変化するレジスト組成物であって、
酸の作用により現像液に対する溶解性が変化する樹脂成分を含有し、
前記樹脂成分が、主鎖の少なくとも一方の末端に、下記一般式(i-1)で表される基を有する重合体を含有する、レジスト組成物。
TIFF
2025153294000099.tif
31
170
[式中、Xa
1
は2価の連結基である。Rpg
1
は、置換基を有してもよい炭化水素基である。Rpg
2a
及びRpg
2b
は、それぞれ独立に、水素原子、ハロゲン原子又はアルキル基である。Rpg
3
は、水素原子又は置換基を有してもよい炭化水素基である。Rpg
1
とRpg
2a
又はRpg
2b
とは、互いに結合して環を形成してもよい。Rpg
2a
又はRpg
2b
と、Rpg
3
とは、互いに結合して環を形成してもよい。]
続きを表示(約 1,500 文字)
【請求項2】
前記一般式(i-1)中、Rpg
1
とRpg
2a
とは、互いに結合して環を形成する、請求項1に記載のレジスト組成物。
【請求項3】
前記一般式(i-1)中、Rpg
2b
はアルキル基である、請求項2に記載のレジスト組成物。
【請求項4】
支持体上に、請求項1に記載のレジスト組成物を用いてレジスト膜を形成する工程、前記レジスト膜を露光する工程、及び前記露光後のレジスト膜を現像してレジストパターンを形成する工程を有する、レジストパターン形成方法。
【請求項5】
下記一般式(I)で表される化合物。
TIFF
2025153294000100.tif
40
170
[式中、Rr
1
及びRr
1
’は、それぞれ独立に、炭素原子数1~10の炭化水素基である。Z及びZ’は、それぞれ独立に、炭素原子数1~10の炭化水素基又はシアノ基である。Rr
1
とZとは相互に結合して環を形成していてもよい。Rr
1
’とZ’とは相互に結合して環を形成していてもよい。Xは2価の連結基である。Rpg
1
は、置換基を有してもよい炭化水素基である。Rpg
2a
及びRpg
2b
は、それぞれ独立に、水素原子、ハロゲン原子又はアルキル基である。Rpg
3
は、水素原子又は置換基を有してもよい炭化水素基である。Rpg
1
とRpg
2a
又はRpg
2b
とは、互いに結合して環を形成してもよい。Rpg
2a
又はRpg
2b
と、Rpg
3
とは、互いに結合して環を形成してもよい。]
【請求項6】
前記一般式(I)中、Rpg
1
とRpg
2a
とは、互いに結合して環を形成する、請求項5に記載の化合物。
【請求項7】
前記一般式(I)中、Rpg
2b
はアルキル基である、請求項6に記載の化合物。
【請求項8】
請求項5に記載の化合物を含む、ラジカル重合開始剤。
【請求項9】
下記一般式(II)で表される化合物。
TIFF
2025153294000101.tif
32
170
[式中、Ltは、2価の連結基である。Rpg
1
は、置換基を有してもよい炭化水素基である。Rpg
2a
及びRpg
2b
は、それぞれ独立に、水素原子、ハロゲン原子又はアルキル基である。Rpg
3
は、水素原子又は置換基を有してもよい炭化水素基である。Rpg
1
とRpg
2a
又はRpg
2b
とは、互いに結合して環を形成してもよい。Rpg
2a
又はRpg
2b
と、Rpg
3
とは、互いに結合して環を形成してもよい。]
【請求項10】
前記一般式(II)中、Rpg
1
とRpg
2a
とは、互いに結合して環を形成する、請求項9に記載の化合物。
(【請求項11】以降は省略されています)
発明の詳細な説明
【技術分野】
【0001】
本発明は、レジスト組成物、レジスト組成物、レジストパターン形成方法、化合物、ラジカル重合開始剤、連鎖移動剤及び重合体
に関する。
続きを表示(約 1,900 文字)
【背景技術】
【0002】
近年、半導体素子や液晶表示素子の製造においては、リソグラフィー技術の進歩により急速にパターンの微細化が進んでいる。微細化の手法としては、一般に、露光光源の短波長化(高エネルギー化)が行われている。
【0003】
レジスト材料には、これらの露光光源に対する感度、微細な寸法のパターンを再現できる解像性等のリソグラフィー特性が求められる。
このような要求を満たすレジスト材料として、従来、酸の作用により現像液に対する溶解性が変化する基材成分と、露光により酸を発生する酸発生剤成分と、を含有する化学増幅型レジスト組成物が用いられている。
化学増幅型レジスト組成物においては、一般的に、リソグラフィー特性等の向上のために、前記基材成分として、複数の構成単位を有する高分子化合物が用いられている。
【0004】
前記基材成分に用いられる高分子化合物は、通常、様々な機能を有するモノマーをラジカル重合することにより製造される。ラジカル重合における重合開始剤としては、アゾビスイソブチロニトリル(AIBN)等のアゾ系重合開始剤が一般に用いられ、製造された高分子化合物の末端には、アゾ系重合開始剤の部分構造が導入されている。
前記部分構造として、第3級エステル型酸解離性基が主鎖末端に導入された高分子化合物、及びこれを含有するレジスト組成物が開示されている(例えば、特許文献1参照)。
【先行技術文献】
【特許文献】
【0005】
特開2014-153686号公報
【発明の概要】
【発明が解決しようとする課題】
【0006】
レジストパターンの微細化が進むなか、例えば、EUV(極紫外線)やEB(電子線)によるリソグラフィーでは、数十nmの微細なパターン形成が目標とされる。このようなレジストパターンの微細化に伴い、良好な感度を維持しつつ、ラフネス等のリソグラフィー特性を向上させることが課題となっている。しかしながら、これらのリソグラフィー特性は、トレードオフの関係にあり、いずれかの特性の向上を図ると、他の特性が劣化する傾向にある。レジスト組成物においては、感度及びラフネスのいずれもトレードオフさせることなく、これらを改善させることが求められている。
さらに、微細パターンにおけるレジスト膜の薄膜化に伴い、エッチング耐性の高いレジスト膜を形成可能なレジスト組成物が求められている。
【0007】
本発明は、上記事情に鑑みてなされたものであって、レジストパターンの形成において、感度、ラフネス及びエッチング耐性がいずれも良好なレジスト組成物、当該レジスト組成物を用いたレジストパターン形成方法、当該レジスト組成物に好適な化合物、ラジカル重合開始剤、連鎖移動剤及び重合体を提供することを課題とする。
【課題を解決するための手段】
【0008】
上記の課題を解決するために、本発明は以下の構成を採用した。
すなわち、本発明の第1の態様は、露光により酸を発生し、かつ、酸の作用により現像液に対する溶解性が変化するレジスト組成物であって、酸の作用により現像液に対する溶解性が変化する樹脂成分を含有し、前記樹脂成分が、主鎖の少なくとも一方の末端に、下記一般式(i-1)で表される基を有する重合体を含有する、レジスト組成物である。
【0009】
TIFF
2025153294000001.tif
31
170
[式中、Xa
1
は2価の連結基である。Rpg
1
は、置換基を有してもよい炭化水素基である。Rpg
2a
及びRpg
2b
は、それぞれ独立に、水素原子、ハロゲン原子又はアルキル基である。Rpg
3
は、水素原子又は置換基を有してもよい炭化水素基である。Rpg
1
とRpg
2a
又はRpg
2b
とは、互いに結合して環を形成してもよい。Rpg
2a
又はRpg
2b
と、Rpg
3
とは、互いに結合して環を形成してもよい。]
【0010】
本発明の第2の態様は、支持体上に、前記第1の態様に係るレジスト組成物を用いてレジスト膜を形成する工程、前記レジスト膜を露光する工程、及び前記露光後のレジスト膜を現像してレジストパターンを形成する工程を有するレジストパターン形成方法である。
(【0011】以降は省略されています)
この特許をJ-PlatPat(特許庁公式サイト)で参照する
関連特許
東京応化工業株式会社
システム、移動機構部、位置決め機構部及び培養チップ接続機構
4日前
東京応化工業株式会社
レジスト組成物、レジストパターン形成方法、化合物及び高分子化合物
3日前
東京応化工業株式会社
レジスト組成物、レジストパターン形成方法、化合物、酸発生剤、及び酸拡散制御剤
3日前
個人
表示装置
25日前
個人
雨用レンズカバー
23日前
株式会社シグマ
絞りユニット
1か月前
キヤノン株式会社
撮像装置
1か月前
キヤノン株式会社
撮像装置
2か月前
日本精機株式会社
車両用投射装置
1か月前
キヤノン株式会社
撮像装置
1か月前
平和精機工業株式会社
雲台
2か月前
キヤノン株式会社
撮像装置
16日前
キヤノン株式会社
撮像装置
16日前
キヤノン株式会社
撮像装置
16日前
株式会社リコー
画像形成装置
4日前
株式会社リコー
画像形成装置
10日前
株式会社リコー
画像形成装置
2か月前
株式会社リコー
画像形成装置
1か月前
株式会社リコー
画像形成装置
2か月前
株式会社リコー
画像形成装置
13日前
株式会社リコー
画像形成装置
2か月前
株式会社リコー
画像形成装置
1か月前
株式会社リコー
画像形成装置
10日前
キヤノン株式会社
画像形成装置
12日前
キヤノン株式会社
画像形成装置
2か月前
シャープ株式会社
画像形成装置
2か月前
キヤノン株式会社
トナー
19日前
キヤノン株式会社
画像形成装置
2か月前
キヤノン株式会社
トナー
1か月前
株式会社オプトル
プロジェクタ
1か月前
キヤノン株式会社
トナー
2か月前
キヤノン株式会社
トナー
1か月前
キヤノン株式会社
画像形成装置
26日前
株式会社オプトル
プロジェクタ
2か月前
キヤノン株式会社
画像形成装置
2か月前
ブラザー工業株式会社
再生方法
2か月前
続きを見る
他の特許を見る