TOP
|
特許
|
意匠
|
商標
特許ウォッチ
Twitter
他の特許を見る
公開番号
2025133452
公報種別
公開特許公報(A)
公開日
2025-09-11
出願番号
2024031407
出願日
2024-03-01
発明の名称
ビタミンD結合タンパク質からのビタミンDの解離方法及びそれを用いたビタミンDの測定方法
出願人
デンカ株式会社
代理人
弁理士法人谷川国際特許事務所
主分類
G01N
33/82 20060101AFI20250904BHJP(測定;試験)
要約
【課題】ビタミンD結合タンパク質から、ビタミンDを公知技術よりも十分に解離させることが可能なビタミンDのビタミンD結合タンパク質からの解離方法及びそれを用いたビタミンDの測定方法を提供すること。
【解決手段】生体から分離した検体中のビタミンDをビタミンD結合タンパク質から解離させる方法は、検体を、デオキシコール酸、コール酸及びこれらの塩から成る群より選ばれる少なくとも1種の界面活性剤と、尿素で処理することを含む。
【選択図】図1
特許請求の範囲
【請求項1】
生体から分離した検体中のビタミンDをビタミンD結合タンパク質から解離させる方法であって、前記検体を、デオキシコール酸、コール酸及びこれらの塩から成る群より選ばれる少なくとも1種の界面活性剤と、尿素で処理することを含む、方法。
続きを表示(約 460 文字)
【請求項2】
前記検体が血液検体である、請求項1記載の方法。
【請求項3】
前記処理時における前記界面活性剤の終濃度が0.05w/v%~1w/v%であり、前記尿素の終濃度が0.0005M~12Mである、請求項1記載の方法。
【請求項4】
前記界面活性剤が、デオキシコール酸塩である、請求項1記載の方法。
【請求項5】
生体から分離した検体を、請求項1~4のいずれか1項に記載の方法に供する工程と、次いで検体中のビタミンDを測定する工程とを含む、検体中のビタミンDの測定方法。
【請求項6】
ビタミンDの測定を、免疫測定法により行う、請求項5記載の方法。
【請求項7】
前記免疫測定法が、抗ビタミンD抗体又はその抗原結合性断片と、検体中のビタミンDとの抗原抗体反応を利用する免疫測定法である、請求項6記載の方法。
【請求項8】
前記抗ビタミンD抗体が、抗25-ヒドロキシビタミンD3抗体である、請求項7記載の方法。
発明の詳細な説明
【技術分野】
【0001】
本発明は、ビタミンD結合タンパク質からのビタミンDの解離方法及びそれを用いたビタミンDの測定方法に関する。
続きを表示(約 1,500 文字)
【背景技術】
【0002】
血液中のビタミンDの多くは、ビタミンD結合タンパク質と結合した状態で存在する。免疫測定法により、血液中のビタミンDを測定しようとする場合、抗ビタミンD抗体が用いられるが、ビタミンDとビタミンD結合タンパク質との結合物は、抗ビタミンD抗体を用いる免疫測定法では測定できず、その結果、ビタミンDの測定値が真実の値よりも低くなってしまう問題がある。
【0003】
この問題を解決すべく、ビタミンDをビタミンD結合タンパク質から解離させる方法が知られている(特許文献1)。特許文献1には、検体をデオキシコール酸等のステロイド骨格を含む界面活性剤で処理することによりビタミンDをビタミンD結合タンパク質から解離させる方法が記載されている。
【先行技術文献】
【特許文献】
【0004】
特許第6281497号公報
【発明の概要】
【発明が解決しようとする課題】
【0005】
本願発明者らは、特許文献1記載の方法では、ビタミンD結合タンパク質からのビタミンDの解離が不十分であることを見出した。
【0006】
したがって、本発明の目的は、ビタミンD結合タンパク質から、ビタミンDを公知技術よりも十分に解離させることが可能なビタミンDのビタミンD結合タンパク質からの解離方法及びそれを用いたビタミンDの測定方法を提供することである。
【課題を解決するための手段】
【0007】
本願発明者らは、鋭意研究の結果、デオキシコール酸等の界面活性剤と尿素で検体を処理することにより、検体中のビタミンD/ビタミンD結合タンパク質結合物を、公知技術よりも多く解離させることが可能であることを見出し、本発明を完成した。
【0008】
すなわち、本発明は、以下のものを提供する。
(1)生体から分離した検体中のビタミンDをビタミンD結合タンパク質から解離させる方法であって、前記検体を、デオキシコール酸、コール酸及びこれらの塩から成る群より選ばれる少なくとも1種の界面活性剤と、尿素で処理することを含む、方法。
(2)前記検体が血液検体である、(1)記載の方法。
(3)前記処理時における前記界面活性剤の終濃度が0.05w/v%~1w/v%であり、前記尿素の終濃度が0.0005M~10Mである、(1)記載の方法。
(4)前記界面活性剤が、デオキシコール酸塩である、(1)記載の方法。
(5)生体から分離した検体を、(1)~(4)のいずれか1項に記載の方法に供する工程と、次いで検体中のビタミンDを測定する工程とを含む、検体中のビタミンDの測定方法。
(6)ビタミンDの測定を、免疫測定法により行う、(5)記載の方法。
(7)前記免疫測定法が、抗ビタミンD抗体又はその抗原結合性断片と、検体中のビタミンDとの抗原抗体反応を利用する免疫測定法である、(6)記載の方法。
(8)前記抗ビタミンD抗体が、抗25-ヒドロキシビタミンD3抗体である、(7)記載の方法。
【発明の効果】
【0009】
本発明により、ビタミンD結合タンパク質から、ビタミンDを公知技術よりも十分に解離させることが可能な、ビタミンD結合タンパク質からのビタミンDの新規な解離方法及びそれを用いたビタミンDの測定方法が提供された。
【図面の簡単な説明】
【0010】
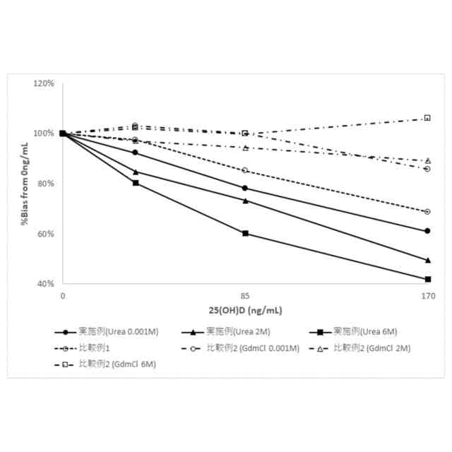
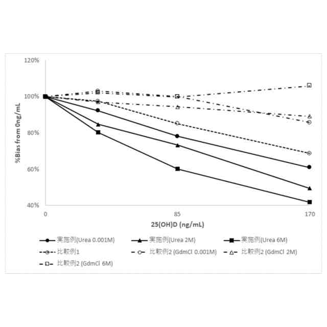
下記実施例及び比較例における測定結果を示す図である。
【発明を実施するための形態】
(【0011】以降は省略されています)
特許ウォッチbot のツイートを見る
この特許をJ-PlatPat(特許庁公式サイト)で参照する
関連特許
デンカ株式会社
容器
7日前
デンカ株式会社
蛍光体
1日前
デンカ株式会社
熱伝導性シート
1か月前
デンカ株式会社
熱伝導性シート
1か月前
デンカ株式会社
熱伝導性シート
1か月前
デンカ株式会社
人工毛髪用繊維束
20日前
デンカ株式会社
継手及び継手付管
1日前
デンカ株式会社
磁性ビーズの製造方法
6日前
デンカ株式会社
容器およびその製造方法
7日前
デンカ株式会社
インフルエンザワクチン製剤
22日前
デンカ株式会社
有機酸又はその塩の製造方法
1か月前
デンカ株式会社
窒化ホウ素粉末及び樹脂組成物
20日前
デンカ株式会社
重症筋無力症のバイオマーカー
29日前
デンカ株式会社
窒化ホウ素粉末及び樹脂組成物
20日前
デンカ株式会社
接合基板、及び接合基板の製造方法
20日前
デンカ株式会社
蛍光体粉末、複合体および発光装置
10日前
デンカ株式会社
磁性ビーズおよび磁性ビーズの製造方法
6日前
デンカ株式会社
磁性ビーズおよび磁性ビーズの製造方法
6日前
デンカ株式会社
ウエハ加工用テープ及びウエハ加工方法
7日前
デンカ株式会社
3Dプリンタフィラメント用樹脂組成物
7日前
デンカ株式会社
ウエハ加工用テープ及びウエハ加工方法
7日前
デンカ株式会社
ブロー成形金型、及び、成形品の製造方法
21日前
デンカ株式会社
ウェハ加工用フィルム及びウェハ加工方法
20日前
デンカ株式会社
墨汁様組成物、筆記具、及び筆記具セット
13日前
デンカ株式会社
ゴム組成物、加硫成形体、及びゴムロール
20日前
デンカ株式会社
電子源及びその製造方法、並びに、電子線装置
7日前
デンカ株式会社
容器
7日前
デンカ株式会社
インフルエンザウイルスのヘムアグルチニンの測定方法
22日前
デンカ株式会社
クロロプレン系重合体ラテックス組成物及び接着剤組成物
20日前
デンカ株式会社
クロロプレン系重合体ラテックス組成物、及び、浸漬成形体
20日前
デンカ株式会社
組成物、仮固定用組成物、及びこれを用いたウエハの製造方法
10日前
デンカ株式会社
蛍光体粉末、真贋判定用発光剤、真贋判定方法、及び、発光装置
20日前
デンカ株式会社
高い正確性で、ミスマッチ塩基対を有さない配列を接合するリガーゼ
7日前
デンカ株式会社
ビタミンD結合タンパク質からのビタミンDの解離方法及びそれを用いたビタミンDの測定方法
28日前
デンカ株式会社
窒化ケイ素粉末、及び窒化ケイ素焼結体の製造方法
8日前
デンカ株式会社
共重合体、その製造方法及び共重合体を含む硬化体
1か月前
続きを見る
他の特許を見る