TOP
|
特許
|
意匠
|
商標
特許ウォッチ
Twitter
他の特許を見る
10個以上の画像は省略されています。
公開番号
2025122335
公報種別
公開特許公報(A)
公開日
2025-08-21
出願番号
2024017722
出願日
2024-02-08
発明の名称
インクジェットインク
出願人
ノリタケ株式会社
代理人
個人
,
個人
主分類
C09D
11/36 20140101AFI20250814BHJP(染料;ペイント;つや出し剤;天然樹脂;接着剤;他に分類されない組成物;他に分類されない材料の応用)
要約
【課題】加熱乾燥時のコーヒーリング現象と、加熱乾燥時の下層へのシートアタックとをともに抑制することができるインクジェットインクを提供する。
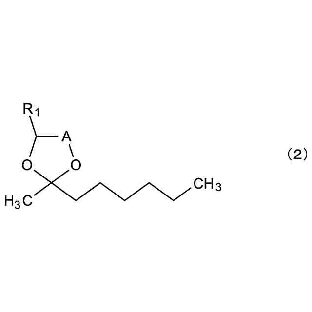
【解決手段】インクジェットインクは、セラミック粉末、バインダ樹脂、分散剤、および2-オクチルプロピオネートである第1の有機溶剤と式(2)に示される第2の有機溶剤のうちのいずれか少なくとも一方である、有機溶剤を含む。
<com:Image com:imageContentCategory="Drawing"> <com:ImageFormatCategory>TIFF</com:ImageFormatCategory> <com:FileName>2025122335000012.tif</com:FileName> <com:HeightMeasure com:measureUnitCode="Mm">36</com:HeightMeasure> <com:WidthMeasure com:measureUnitCode="Mm">170</com:WidthMeasure> </com:Image>
(式中、Aはメチレン基またはエチレン基であり、R
1
は、水素原子またはメチル基である)
第2の有機溶剤は、20℃における蒸気圧が4Pa以下である飽和炭化水素である。全体に対する第2の有機溶剤の体積割合Vs2を、全体に対するセラミック粉末の体積割合Vpで除した値(Vs2/Vp)は、1.5以上である。
【選択図】なし
特許請求の範囲
【請求項1】
電子部品の製造に用いられるインクジェットインクであって、
セラミック粉末と、バインダ樹脂と、分散剤と、有機溶剤と、を含んでおり、
ここで、前記有機溶剤は、第1の有機溶剤と、第2の有機溶剤と、を含んでおり、
前記第1の有機溶剤は、
以下の式(1):
TIFF
2025122335000010.tif
31
170
に示される溶剤1と、
以下の式(2):
TIFF
2025122335000011.tif
36
170
(式中、Aはメチレン基またはエチレン基であり、R
1
は、水素原子またはメチル基である)
に示される溶剤2と、
のうちのいずれか少なくとも一方であり、
前記第2の有機溶剤は、20℃における蒸気圧が4Pa以下である飽和炭化水素であり、
該インクジェットインク全体に対する前記第2の有機溶剤の体積割合Vs2を、該インクジェットインク全体に対する前記セラミック粉末の体積割合Vpで除した値(Vs2/Vp)は、1.5以上である、インクジェットインク。
続きを表示(約 360 文字)
【請求項2】
前記セラミック粉末の平均粒子径が10nm以上400nm以下である、請求項1に記載のインクジェットインク。
【請求項3】
前記セラミック粉末は、チタン酸バリウム粉末を含む、請求項1または2に記載のインクジェットインク。
【請求項4】
前記第1の有機溶剤の体積と前記第2の有機溶剤の体積との合計に対して、前記第2の有機溶剤の体積割合は、5体積%~25体積%である、請求項1または2に記載のインクジェットインク。
【請求項5】
前記バインダ樹脂は、アクリル樹脂を含む、請求項1または2に記載のインクジェットインク。
【請求項6】
前記飽和炭化水素は、炭素数20以下の直鎖アルカンである、請求項1または2に記載のインクジェットインク。
発明の詳細な説明
【技術分野】
【0001】
本開示は、インクジェットインクに関する。
続きを表示(約 2,300 文字)
【背景技術】
【0002】
模様や文字などの画像を印刷対象に描画する印刷方法の一つとして、従来からインクジェット印刷が用いられている。かかるインクジェット印刷は、精度の高い画像を低コストかつオンデマンドで印刷でき、印刷対象へのダメージも少ないため、種々の分野への応用が検討されている。近年では、電子部品の製造における導電回路パターン(配線、電極等)の形成に、インクジェット印刷を使用することが検討されている。
【0003】
かかる電子部品の製造では、例えば、金属粒子等を含む無機粉体が導電性材料として添加された導電性インクジェットインクが使用されることがある。かかる導電性インクジェットインクの一例として、銀や銀銅合金等のナノ金属パウダーを含むインクが特許文献1に開示されている。また、酸化銀、酸化銅、酸化パラジウム、酸化ニッケル、酸化鉛、酸化コバルト等の金属酸化物微粒子を含むインクが特許文献2に開示されている。一般に、インクジェット印刷を適切に行うためには、導電性インクが低粘度であり、かつ、無機粉体の濃度が高いことが求められる。上述した特許文献1および特許文献2では、これらのインクジェット適性を得るための技術が提案されている。
【0004】
また、導電性インクジェットインクでは、印刷時の吐出性や印刷後の導電性等を確保するという観点から、無機粉体を安定的に分散させることも求められる。例えば、特許文献3では、酸点と塩基点とが表面に混在する固体微粒子(無機粉体)の分散性を高めるために、酸性吸着基または塩基性吸着基のいずれか一方のみを有する第一分散剤と、酸性吸着基と塩基性吸着基の両方を有する第二分散剤とを添加する技術が開示されている。
【0005】
また、特許文献4には、スペーサ粒子と有機溶剤を主成分とする溶剤とを含有し、インクジェット装置を用いて基板上の任意の位置に前記スペーサ粒子を配置する際に用いられるスペーサ粒子分散液が開示されている。このスペーサ粒子分散液は、表面張力が30~65mN/mであることを特徴としている。同公報には、かかる構成によって、スペーサ粒子分散液は、インクジェット装置を用いて液晶表示装置の基板上に吐出したスペーサ粒子分散液の液滴が濡れ広がることがなく、スペーサ粒子を基板上の任意の位置に選択的に配置することができるスペーサ粒子分散液、および、スペーサ分散液を用いてなる液晶表示装置を提供することができる、と記載されている。
【先行技術文献】
【特許文献】
【0006】
特表2008-513565号公報
特開2012-216425号公報
特開2015-62871号公報
特開2008-111985号公報
【発明の概要】
【発明が解決しようとする課題】
【0007】
ところで、電子部品の中には、電極層および絶縁層に高い平滑性が求められる積層型製品(例えば、積層セラミックコンデンサ(MLCC)等)がある。かかる積層型の電子部品では、絶縁層にチタン酸バリウム等の強誘電体セラミック材料、電極層にパラジウムやニッケル等の金属材料が用いられる。電極層および絶縁層の製造工程では、まず、表面が平滑となるように処理を施したPETフィルム等のプラスチックフィルム上に、セラミックスラリーを用いて、ドクターブレード法、スクリーン印刷法等によってセラミック層を形成する。その上に金属スラリー(ペースト)を用いて、例えばスクリーン印刷法によって金属層を形成する。次に、印刷物を全てPETフィルムから剥離して積層したのち、プレス・焼成して積層型の電子部品とする。ここで、PETフィルムからの剥離工程において、セラミックグリーンシートには、所定の強度が求められる。このため、絶縁層(誘電体層)の厚みの低減には、限界がある。
【0008】
セラミック粒子の中でも、例えばチタン酸バリウムは、誘電率が高いことから、上述のとおり、誘電体材料として用いられる。金属粒子の中でも、例えばニッケルは、化学的に安定で比較的安全であること、体積抵抗率が小さいこと、および金属原料単価が小さいことから、よく用いられる。現状のMLCCメーカーの多くは、チタン酸バリウム粒子を有機溶剤に分散させたスラリーと、ニッケル粒子を高粘度に有機溶剤に分散させたペーストを用いて、前述のプロセスを経て積層型の電子部品を製造している。
【0009】
本発明者は、高い平滑性が求められる電子部品の絶縁層・電極層パターンを、セラミック粒子(例えば、チタン酸バリウム粒子等の誘電体として機能するセラミック粒子)を主成分としたセラミックインクジェットインクと、ニッケル粒子を主成分とした導電性インクジェットインクとを用いて、交互にインクジェット印刷することによって積層部品を形成することを検討している。その目的は、MLCC製造において部品の小型・大容量化が進むなか、グリーンシートと導電性ペーストの組合せでは難しかった、電極層と絶縁層を共に薄層化することにある。
【0010】
セラミックおよび導電性のインクジェットインクにおいて、十分な薄層化を行うためには、各層ごとの表面を平滑にすることが求められる。セラミック層および金属層を共に平滑化することによって、従来のスクリーン印刷法ではできなかった小型化と、PETフィルムを剥離することなく生産できる高生産性と、を実現することができる。
(【0011】以降は省略されています)
この特許をJ-PlatPat(特許庁公式サイト)で参照する
関連特許
ノリタケ株式会社
焼成炉
9日前
ノリタケ株式会社
焼成炉
9日前
ノリタケ株式会社
焼成炉
9日前
ノリタケ株式会社
加熱炉
3日前
ノリタケ株式会社
冷却炉
3日前
ノリタケ株式会社
洗浄装置
今日
ノリタケ株式会社
熱処理容器
今日
ノリタケ株式会社
焼成用治具
1日前
ノリタケ株式会社
熱処理装置
1か月前
ノリタケ株式会社
熱処理設備
1か月前
ノリタケ株式会社
熱処理設備
1か月前
ノリタケ株式会社
金ペースト
11日前
ノリタケ株式会社
担体構造体
1日前
ノリタケ株式会社
焼成用治具
1日前
ノリタケ株式会社
焼成用治具
1日前
ノリタケ株式会社
棒材切断機
今日
ノリタケ株式会社
研磨パッド
今日
ノリタケ株式会社
熱伝導シート
今日
ノリタケ株式会社
超砥粒ホイール
今日
ノリタケ株式会社
導電性ペースト
今日
ノリタケ株式会社
ガス吸収シート
22日前
ノリタケ株式会社
ローラ式搬送装置
3日前
ノリタケ株式会社
ローラ式搬送装置
3日前
ノリタケ株式会社
静電容量タッチパネル
1日前
ノリタケ株式会社
砥材及びその製造方法
1日前
ノリタケ株式会社
砥材及びその製造方法
7日前
ノリタケ株式会社
静電容量タッチパネル
1日前
ノリタケ株式会社
封止用グリーンシート
今日
ノリタケ株式会社
インクジェットインク
1か月前
ノリタケ株式会社
電気化学セル用ペースト
2日前
ノリタケ株式会社
触媒材料およびその利用
1日前
ノリタケ株式会社
触媒材料およびその利用
1日前
ノリタケ株式会社
触媒材料およびその利用
1日前
ノリタケ株式会社
ガラス接合材及びその利用
今日
ノリタケ株式会社
搬送装置および熱処理装置
7日前
ノリタケ株式会社
搬送装置および熱処理装置
7日前
続きを見る
他の特許を見る