TOP
|
特許
|
意匠
|
商標
特許ウォッチ
Twitter
《公報を最速で反映》特許検索
【本日更新】
最新の12か月分 186,458件
0.001秒
主分類 絞込み
G(物理学)
53,222
H(電気)
36,211
A(生活必需品)
31,444
B(処理操作;運輸)
28,800
C(化学;冶金)
17,615
さらに表示..
出願人 絞込み
ソフトバンクグループ株式会社
10,300
トヨタ自動車株式会社
6,262
キヤノン株式会社
5,561
個人
3,693
パナソニックIPマネジメント..
2,477
さらに表示..
代理人 絞込み
個人
91,022
弁理士法人酒井国際特許事務所
12,364
なし
12,280
弁理士法人太陽国際特許事務所
6,429
弁理士法人深見特許事務所
1,906
さらに表示..
公開日 絞込み
2026-01-27(火)
351
2026-01-26(月)
8
2026-01-23(金)
1,884
2026-01-22(木)
472
2026-01-21(水)
793
さらに表示..
241 / 186,458
エクソームド コーポレーション
整形外科インプラント及び該整形外科インプラントを搬送するための装置
今日
テレフオンアクチーボラゲット エルエム エリクソン(パブル)
セッション復元のための方法及び装置
今日
ティーディーケイ・エレクトロニクス・アクチェンゲゼルシャフト
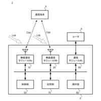
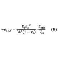
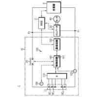
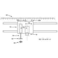
圧電ミラー部品、圧電ミラー部品を動作させるための方法、及び、圧電ミラー部品を備える投影装置
今日
株式会社ナビック
分散アンテナシステム
今日
メゾブラスト・インターナショナル・エスアーエールエル
効力検定
今日
シンジェンタ クロップ プロテクション アクチェンゲゼルシャフト
フェニルエチルアミン誘導体の一段階調製方法
今日
ドルビー・インターナショナル・アーベー
HOAデータ・フレーム表現のデータ・フレームの個々のもののチャネル信号に関連付けられた非差分的な利得値を含む符号化されたHOAデータ・フレーム表現
今日
ペプシコ・インク
ペクチンとキサンタンガムとのブレンドを使用した、低糖及び無糖飲料における口当たりの調節
今日
パレット ライフ サイエンシーズ,インク.
改善された組織スペーサー
今日
騰訊科技(深セン)有限公司
仮想シーンにおける動き処理方法およびその装置、機器、記憶媒体、並びにプログラム製品
今日
エルジー エナジー ソリューション リミテッド
バッテリー管理システム、バッテリーパック、電気車両及びバッテリー管理方法
今日
ソニーセミコンダクタソリューションズ株式会社
センサ装置
今日
キュリア、スペイン、エセ、ア、ウ
高純度アロプレグナノロンおよびその中間体を調製する方法
今日
オーテック・ベスローテン・フェンノートシャップ
股関節唇のスキャフォールド
今日
ミリケン・アンド・カンパニー
色相調整剤を含む組成物
今日
インケア バイオテック, エルエルシー
抗セリンプロテアーゼインヒビターKAZAL(SPIK)抗体のエピトープ
今日
パナソニックIPマネジメント株式会社
送風装置、及び、送風システム
今日
ストライカー・コーポレイション
透明な顔面シールド及び顔面シールド上の制御ボタンを有するフードを備える個人防護システム
今日
シチュアン ケルン-バイオテック バイオファーマシューティカル カンパニー リミテッド
抗TSLP抗体及びその使用
今日
パナソニック・ウェル・エルエルシー
タスク委任制御を有効化するためのユーザインターフェースのためのシステムおよび方法
今日
ドルビー・インターナショナル・アーベー
ダイナミックレンジ低減領域においてマルチチャネルオーディオを強調するための方法、装置、及びシステム
今日
ボストン サイエンティフィック サイムド,インコーポレイテッド
放射線造影特性を有するヨウ素化合物
今日
アプライド マテリアルズ インコーポレイテッド
空間分離を伴う単一ウエハの処理環境
今日
エイアー テスト システムズ
電子試験器
今日
ニコベンチャーズ トレーディング リミテッド
エアロゾル生成デバイス
今日
ジェネンテック, インコーポレイテッド
特性が改善されたPD-1標的化IL-15/IL-15RΑFC融合タンパク質
今日
ブラッコ・イメージング・ソシエタ・ペル・アチオニ
近赤外シアニン色素およびそのコンジュゲート
今日
イルミナ インコーポレイテッド
ハードウェア加速K-merグラフ生成
今日
イルミナ インコーポレイテッド
核酸シーケンスのインクリメンタル二次解析
今日
ビーエーエスエフ コーティングス ゲゼルシャフト ミット ベシュレンクテル ハフツング
コーティング層と前記コーティング層を含む基材の特性を予測するための方法及びシステム
今日
クリーデンス メドシステムズ,インコーポレイテッド
安全シリンジのシステムおよび方法
今日
アストラゼネカ・アクチエボラーグ
抗I型INF受容体抗体アニフロルマブによるループス腎炎の治療
今日
スカイディオ,インコーポレイテッド
航空機のスマート着陸
今日
ラプト・セラピューティクス・インコーポレイテッド
C-Cケモカイン受容体4型アンタゴニストの結晶形態、およびその使用
今日
ライブランプ インコーポレーテッド
サイバー・セキュリティ・システム及び方法
今日
ザ マクリーン ホスピタル コーポレーション
パーキンソン病のための自家細胞置換療法
今日
クエスト ダイアグノスティックス インヴェストメンツ エルエルシー
インスリン及びC-ペプチドの定量の方法
今日
インテリジェント インプランツ リミテッド
インプラント内に電子コンポーネントを埋め込むためのシステム及び方法
今日
ジェネンテック, インコーポレイテッド
免疫組織化学のための合成対照
今日
テンセント・アメリカ・エルエルシー
変換パーティショニングとプライマリ/セカンダリ変換タイプ選択との間の相互作用
今日
アプライド マテリアルズ インコーポレイテッド
リフト装置のサーボ制御及びその使用方法
今日
サイエンスコ スペシャルティ ポリマーズ ユーエスエー, エルエルシー
ポリ(アリールエーテルスルホン)(PAES)ポリマーを調製するプロセス
今日
1エス1 エナジー インコーポレイテッド
ホウ素含有多孔質膜及びその使用方法
今日
ライフセル コーポレーション
生物学的乳房インプラント
今日
インテル・コーポレーション
バックエンドメモリ付きの計算ニアメモリ
今日
コリア ユニバーシティ リサーチ アンド ビジネス ファウンデーション
生体信号に基づいて手の動きの軌跡を復元する方法、装置およびプログラム
今日
エルモス セミコンダクター エスエー
超音波センサの動作方法
今日
アンガー,イェホナタン
デュアルインターフェースねじ要素およびシステム
今日
続きを見る
前へ
1
2
3
4
5
6
7
8
9
10
11
次へ