TOP
|
特許
|
意匠
|
商標
特許ウォッチ
Twitter
他の特許を見る
10個以上の画像は省略されています。
公開番号
2025176473
公報種別
公開特許公報(A)
公開日
2025-12-04
出願番号
2024082653
出願日
2024-05-21
発明の名称
エラー訂正装置、エラー訂正方法、及びプログラム
出願人
NTT株式会社
代理人
弁理士法人ITOH
,
個人
,
個人
,
個人
主分類
G06N
10/70 20220101AFI20251127BHJP(計算;計数)
要約
【課題】圧搾猫符号における量子エラー訂正を容易に実現すること。
【解決手段】本開示の一態様によるエラー訂正装置は、圧搾猫符号による量子エラー訂正を実現するエラー訂正装置であって、前記圧搾猫符号における圧搾猫状態の運動量方向のスタビライザ演算子から構築される散逸演算子を実現する量子ゲートを含む量子回路が実装された量子プロセッサを用いて、エラー訂正符号量子ビット及び補助量子ビットで表される量子状態に対して前記量子回路による量子情報処理を繰り返し実行させることにより、前記エラー訂正符号量子ビットの量子エラーを訂正する制御部、を有する。
【選択図】図6
特許請求の範囲
【請求項1】
圧搾猫符号による量子エラー訂正を実現するエラー訂正装置であって、
前記圧搾猫符号における圧搾猫状態の運動量方向のスタビライザ演算子から構築される散逸演算子を実現する量子ゲートを含む量子回路が実装された量子プロセッサを用いて、エラー訂正符号量子ビット及び補助量子ビットで表される量子状態に対して前記量子回路による量子情報処理を繰り返し実行させることにより、前記エラー訂正符号量子ビットの量子エラーを訂正する制御部、
を有するエラー訂正装置。
続きを表示(約 760 文字)
【請求項2】
前記量子回路は、
前記散逸演算子を所定のゲート分解手法によりゲート分解したゲートシーケンスを含む、請求項1に記載のエラー訂正装置。
【請求項3】
前記ゲート分解手法は、
Sharpen-Trim法、Big-small-Big法、small-Big-small法、のいずれかである、請求項2に記載のエラー訂正装置。
【請求項4】
前記量子回路は、
前記ゲートシーケンスと、前記補助量子ビットの初期化とを含む、請求項2又は3に記載のエラー訂正装置。
【請求項5】
圧搾猫符号による量子エラー訂正を実現するエラー訂正方法であって、
前記圧搾猫符号における圧搾猫状態の運動量方向のスタビライザ演算子から構築される散逸演算子を実現する量子ゲートを含む量子回路が実装された量子プロセッサを用いて、エラー訂正符号量子ビット及び補助量子ビットで表される量子状態に対して前記量子回路による量子情報処理を繰り返し実行させることにより、前記エラー訂正符号量子ビットの量子エラーを訂正する制御手順、
をコンピュータが実行するエラー訂正方法。
【請求項6】
圧搾猫符号による量子エラー訂正を実現するプログラムであって、
前記圧搾猫符号における圧搾猫状態の運動量方向のスタビライザ演算子から構築される散逸演算子を実現する量子ゲートを含む量子回路が実装された量子プロセッサを用いて、エラー訂正符号量子ビット及び補助量子ビットで表される量子状態に対して前記量子回路による量子情報処理を繰り返し実行させることにより、前記エラー訂正符号量子ビットの量子エラーを訂正する制御手順、
をコンピュータに実行させるプログラム。
発明の詳細な説明
【技術分野】
【0001】
本開示は、エラー訂正装置、エラー訂正方法、及びプログラムに関する。
続きを表示(約 1,700 文字)
【背景技術】
【0002】
量子情報処理の分野で使用される符号の一種として、圧搾猫符号(Squeezed Cat Code)と呼ばれる符号が知られている(非特許文献1)。圧搾猫符号は光子損失に対してロバストな符号であることが知られている。
【先行技術文献】
【非特許文献】
【0003】
Schlegel, David S., Fabrizio Minganti, and Vincenzo Savona. "Quantum error correction using squeezed Schrodinger cat states." Physical Review A 106.2 (2022): 022431.
【発明の概要】
【発明が解決しようとする課題】
【0004】
しかしながら、圧搾猫符号に対する量子エラー訂正法は非常に強い非線形性と補助量子系との複雑な相互作用とを必要とするものしか存在せず、簡単な操作で実現できる量子エラー訂正法は存在しなかった。
【0005】
本開示は、上記の点に鑑みてなされたもので、圧搾猫符号における量子エラー訂正を容易に実現することを目的とする。
【課題を解決するための手段】
【0006】
本開示の一態様によるエラー訂正装置は、圧搾猫符号による量子エラー訂正を実現するエラー訂正装置であって、前記圧搾猫符号における圧搾猫状態の運動量方向のスタビライザ演算子から構築される散逸演算子を実現する量子ゲートを含む量子回路が実装された量子プロセッサを用いて、エラー訂正符号量子ビット及び補助量子ビットで表される量子状態に対して前記量子回路による量子情報処理を繰り返し実行させることにより、前記エラー訂正符号量子ビットの量子エラーを訂正する制御部、を有する。
【発明の効果】
【0007】
圧搾猫符号における量子エラー訂正を容易に実現することができる。
【図面の簡単な説明】
【0008】
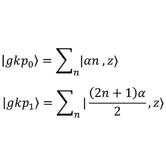
位相平面表示におけるGKP符号と圧搾猫符号の位置及び運動量の一例を示す図である。
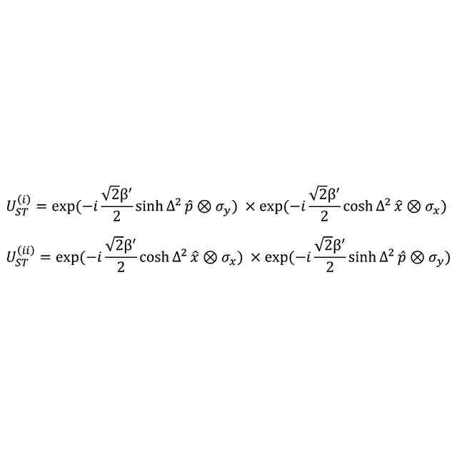
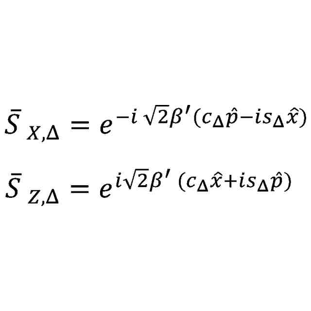
Sharpen-Trim法を利用したエラー訂正を実現する量子回路の一例を示す図である。
本実施形態に係る量子計算装置の構成の一例を示す図である。
本実施形態に係る制御装置のハードウェア構成の一例を示す図である。
本実施形態に係る制御装置の機能構成の一例を示す図である。
一実施例におけるエラー訂正処理を示すフローチャートである。
【発明を実施するための形態】
【0009】
以下、本発明の一実施形態について、図面を参照しながら詳細に説明する。以下の実施形態では、GKP(Gottesman-Kitaev-Preskill)符号で提案された散逸ベースの量子エラー訂正法(参考文献1)を適用することにより、圧搾猫符号における量子エラー訂正を容易に実現する手法を提案する。より具体的には、GKP符号は位相平面上で位置軸及び運動量軸の両方に関して不完全な並進対称性を持つため、それらの並進対称性を利用して散逸ベースの量子エラー訂正を行っている。これに対して、圧搾猫符号は位相平面上で片方の軸(以下、運動量軸とする。)にのみ並進対称性を持つため、以下の実施形態では、運動量方向にのみ散逸ベースの量子エラー訂正を行う手法を提案する。なお、以下では、簡単のため、量子エラー訂正を単に「エラー訂正」とも呼ぶことにする。
【0010】
ここで、散逸ベースの量子エラー訂正は、補助量子ビットから量子レジスタのエラー訂正符号量子ビットへのコントロール操作と補助量子ビットの初期化という簡単な操作で実現することができる。このため、提案手法によれば、圧搾猫符号におけるエラー訂正を簡単な操作で容易に実現することが可能となる。
(【0011】以降は省略されています)
この特許をJ-PlatPat(特許庁公式サイト)で参照する
関連特許
NTT株式会社
計算装置
1か月前
NTT株式会社
計算装置
29日前
NTT株式会社
検知装置
14日前
NTT株式会社
通信システム
20日前
NTT株式会社
遠隔制御システム
6日前
NTT株式会社
遠隔制御システム
6日前
NTT株式会社
復号装置及び復号方法
2か月前
NTT株式会社
情報処理装置、及び情報処理方法
1か月前
NTT株式会社
情報処理装置、及び情報処理方法
1か月前
NTT株式会社
光学特性測定装置および測定方法
今日
NTT株式会社
通信システム、方法及びプログラム
2か月前
NTT株式会社
映像処理装置、方法及びプログラム
6日前
NTT株式会社
通信システム、方法及びプログラム
2か月前
NTT株式会社
無線通信システム及び無線通信方法
28日前
NTT株式会社
刺激制御装置、および刺激制御方法
28日前
NTT株式会社
窒素固定能を有する藻類の選抜方法
1か月前
NTT株式会社
評価装置、評価方法およびプログラム
1か月前
NTT株式会社
電子署名システム、方法及びプログラム
2か月前
NTT株式会社
量子鍵配送システム及び量子鍵配送方法
1か月前
NTT株式会社
座屈剥離構造の予測装置および予測方法
2か月前
NTT株式会社
情報処理装置およびボットネット分析方法
1か月前
NTT株式会社
微生物の土壌中での生存性を調節する方法
1か月前
NTT株式会社
測定装置、測定方法、及び、測定プログラム
1か月前
NTT株式会社
エラー訂正装置、エラー訂正方法、及びプログラム
今日
NTT株式会社
推定装置、復元装置、推定方法、およびプログラム
1か月前
NTT株式会社
数モードマルチコア光ファイバ及び光伝送システム
1か月前
NTT株式会社
データ処理装置、データ処理方法、およびプログラム
8日前
NTT株式会社
電荷分布推定装置、電荷分布推定方法、及びプログラム
6日前
NTT株式会社
学習装置、分類装置、学習方法、分類方法及びプログラム
1か月前
NTT株式会社
学習装置、推定装置、学習方法、推定方法及びプログラム
1日前
NTT株式会社
伝搬グラフ復元装置、伝搬グラフ復元方法、及びプログラム
2か月前
NTT株式会社
植物の開花時期制御方法および開花時期が制御された植物の作出方法
20日前
NTT株式会社
植物の生育を促進する方法、植物の生育促進剤の製造方法、および植物の栽培に用いるための栄養組成物
1日前
NTT株式会社
連続発話推定方法、連続発話推定装置、およびプログラム
1か月前
NTT株式会社
文生成装置、文生成学習装置、文生成方法、文生成学習方法及びプログラム
1か月前
NTT株式会社
植物の光合成応答を調節する方法、光合成応答が迅速化した植物の作出方法、および光合成応答が迅速化した植物の栽培のためのシステム
20日前
続きを見る
他の特許を見る