TOP
|
特許
|
意匠
|
商標
特許ウォッチ
Twitter
他の特許を見る
10個以上の画像は省略されています。
公開番号
2025169651
公報種別
公開特許公報(A)
公開日
2025-11-14
出願番号
2024074555
出願日
2024-05-01
発明の名称
サイドウォール用ゴム組成物及びタイヤ
出願人
株式会社ブリヂストン
代理人
個人
,
個人
,
個人
,
個人
主分類
C08L
9/00 20060101AFI20251107BHJP(有機高分子化合物;その製造または化学的加工;それに基づく組成物)
要約
【課題】老化防止剤6PPDを使用しない場合であっても、耐オゾン性に優れるとともに、老化後の切断時伸び(EB)及び引張強さ(TB)の維持率が高いサイドウォール用ゴム組成物を提供する。
【解決手段】ゴム成分と、下記一般式(1):
<com:Image com:imageContentCategory="Drawing"> <com:ImageFormatCategory>TIFF</com:ImageFormatCategory> <com:FileName>2025169651000019.tif</com:FileName> <com:HeightMeasure com:measureUnitCode="Mm">54</com:HeightMeasure> <com:WidthMeasure com:measureUnitCode="Mm">165</com:WidthMeasure> </com:Image>
は、単結合又は二重結合であり、R
11
及びR
12
は、水素、炭素数1~12のアルキル基、炭素数3~6のシクロアルキル基、又はフェニル基、R
13
~R
1
9
は、水素、又は炭素数1~12のアルキル基。]で表されるアミノキノリン系老化防止剤と、を含む。
【選択図】なし
特許請求の範囲
【請求項1】
ゴム成分と、
下記一般式(1):
TIFF
2025169651000016.tif
80
161
は、単結合又は二重結合であり、R
11
及びR
12
は、それぞれ独立して水素、炭素数1~12のアルキル基、炭素数3~6のシクロアルキル基、又はフェニル基であり、R
13
、R
14
、R
15
、R
16
、R
17
、R
18
及びR
19
は、それぞれ独立して水素、又は炭素数1~12のアルキル基である。]で表されるアミノキノリン系老化防止剤と、
を含むことを特徴とする、サイドウォール用ゴム組成物。
続きを表示(約 1,400 文字)
【請求項2】
さらに、上記一般式(1)で表されるアミノキノリン系老化防止剤以外のキノリン系老化防止剤を含むことを特徴とする、請求項1に記載のサイドウォール用ゴム組成物。
【請求項3】
前記ゴム成分が、イソプレン骨格ゴム、スチレン-ブタジエンゴム、ブタジエンゴム、クロロプレンゴムからなる群から選択される少なくとも1種を含むことを特徴とする、請求項1又は2に記載のサイドウォール用ゴム組成物。
【請求項4】
上記一般式(1)で表されるアミノキノリン系老化防止剤以外のキノリン系老化防止剤の含有量が、前記ゴム成分100質量部に対して0.1~5質量部であることを特徴とする、請求項2に記載のサイドウォール用ゴム組成物。
【請求項5】
上記一般式(1)で表されるアミノキノリン系老化防止剤以外のキノリン系老化防止剤が、2,2,4-トリメチル-1,2-ジヒドロキノリンの重合体を含むことを特徴とする、請求項2に記載のサイドウォール用ゴム組成物。
【請求項6】
前記アミノキノリン系老化防止剤が、下記一般式(1-1):
TIFF
2025169651000017.tif
45
160
で表される化合物であることを特徴とする、請求項1又は2に記載のサイドウォール用ゴム組成物。
【請求項7】
さらにワックスを含み、該ワックスの含有量が、前記ゴム成分100質量部に対して0.1~5質量部であることを特徴とする、請求項1又は2に記載のサイドウォール用ゴム組成物。
【請求項8】
さらに、結晶量が7J/g以上50J/g以下であり、且つ、数平均分子量が3.0×10
4
以上であるシンジオタクチック1,2-ポリブタジエンを含むことを特徴とする、請求項1又は2に記載のサイドウォール用ゴム組成物。
【請求項9】
さらに、下記一般式(3-1)、(3-2)及び(3-3):
TIFF
2025169651000018.tif
69
160
[Aは、芳香族環、置換又は非置換のヒダントイン環、及び、炭素数0~8の飽和又は不飽和の直鎖状炭化水素からなる群より選択される1種であり、Bは、芳香族基であり、Bの置換基Xは、ヒドロキシ基又はアミノ基であり、Yは、ピリジル基又はヒドラジノ基であり、R
1
~R
4
は、水素原子、炭素数1~18のアルキル基、シクロアルキル基、及び、芳香族基環からなる群より選択される1種であって、それぞれ同じでも異なっていてもよい。]
のいずれかで表されるヒドラジド化合物を含むことを特徴とする、請求項1又は2に記載のサイドウォール用ゴム組成物。
【請求項10】
前記ゴム成分は、変性共役ジエン系重合体を含み、
前記変性共役ジエン系重合体が、当該変性共役ジエン系重合体一分子中に変性基を2個以上有し、分子間の該変性基同士が非共有結合を有し、該非共有結合1つ当たりのエネルギーが10~250kJ/molであることを特徴とする、請求項1又は2に記載のサイドウォール用ゴム組成物。
(【請求項11】以降は省略されています)
発明の詳細な説明
【技術分野】
【0001】
本発明は、サイドウォール用ゴム組成物及びタイヤに関するものである。
続きを表示(約 1,900 文字)
【背景技術】
【0002】
一般に、タイヤを構成する各種ゴム部材(特に、サイドウォール部等)では、オゾン存在下等の外気環境の影響を受けて劣化することがあり、該劣化が進行すると、クラック(亀裂)等を生じる場合がある。このような問題への対応として、タイヤを構成する各種ゴム部材には、老化防止剤を含むゴム組成物が適用されていることが多い。
例えば、下記特許文献1には、特定のキノリン系老化防止剤と、N-フェニル-N’-(1,3-ジメチルブチル)-p-フェニレンジアミン(老化防止剤6PPD)とを選定して配合したゴム組成物をタイヤの表面を構成するゴムに適用することで、タイヤ表面のクラックと変色を抑制できることが開示されている。
【先行技術文献】
【特許文献】
【0003】
国際公開第2018/056384号
【発明の概要】
【発明が解決しようとする課題】
【0004】
しかしながら、上記特許文献1で使用されているN-フェニル-N’-(1,3-ジメチルブチル)-p-フェニレンジアミン(老化防止剤6PPD)は、環境への影響を有する可能性があり、ヨーロッパ法規の今後の規制可能性も考慮し、より環境に低負荷である老化防止剤を用いることが望まれていた。
そのため、ゴム組成物に老化防止剤6PPDを使用しない技術が考えられるが、本発明者が検討したところ、キノリン系老化防止剤のみを使用して、老化防止剤6PPDを使用しないと、ゴム組成物の耐オゾン性が低下し、老化後のゴム組成物の耐久性(特には、切断時伸び(EB)、引張強さ(TB))が低下してしまうことがわかった。
【0005】
そのため、本発明の目的は、上記従来技術の問題を解決し、老化防止剤6PPDを使用しない場合であっても、耐オゾン性に優れたサイドウォール用ゴム組成物を提供することにある。
さらに、本発明の他の目的は、サイドウォール部の耐オゾン性に優れたタイヤを提供することにある。
【課題を解決するための手段】
【0006】
本発明者は、上記課題を解決するべく検討を行った結果、特定の構造を有するアミノキノリン系老化防止剤を用いることによって、ゴム組成物の耐オゾン性を向上させることができ、他の性能の低下を抑えることができることを見出した。
【0007】
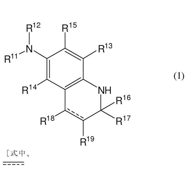
即ち、本発明のサイドウォール用ゴム組成物は、ゴム成分と、
下記一般式(1):
TIFF
2025169651000001.tif
78
160
は、単結合又は二重結合であり、R
11
及びR
12
は、それぞれ独立して水素、炭素数1~12のアルキル基、炭素数3~6のシクロアルキル基、又はフェニル基であり、R
13
、R
14
、R
15
、R
16
、R
17
、R
18
及びR
19
は、それぞれ独立して水素、又は炭素数1~12のアルキル基である。]で表されるアミノキノリン系老化防止剤と、
を含むことを特徴とする。
かかる本発明のサイドウォール用ゴム組成物は、耐オゾン性に優れ、老化後の切断時伸び(EB)及び引張強さ(TB)の維持率が高い。
【0008】
また、本発明のサイドウォール用ゴム組成物については、さらに、上記一般式(1)で表されるアミノキノリン系老化防止剤以外のキノリン系老化防止剤を含むことが好ましい。この場合、より耐オゾン性に優れ、老化後の切断時伸び(EB)及び引張強さ(TB)の維持率がより高い。
【0009】
さらに、本発明のサイドウォール用ゴム組成物については、前記ゴム成分が、イソプレン骨格ゴム、スチレン-ブタジエンゴム、ブタジエンゴム、クロロプレンゴムからなる群から選択される少なくとも1種を含むことが好ましい。この場合、ゴム組成物のゴム弾性が優れ、サイドウォール用途により好適なゴム組成物となり、また、本発明の効果が顕著に現れ易い。
【0010】
さらに、本発明のサイドウォール用ゴム組成物については、上記一般式(1)で表されるアミノキノリン系老化防止剤以外のキノリン系老化防止剤の含有量が、前記ゴム成分100質量部に対して0.1~5質量部であることが好ましい。この場合、耐オゾン性、並びに、老化後の切断時伸び(EB)及び引張強さ(TB)の維持率をより高めることができる。
(【0011】以降は省略されています)
この特許をJ-PlatPat(特許庁公式サイト)で参照する
関連特許
株式会社ブリヂストン
粉体定量供給装置
9日前
株式会社ブリヂストン
傾斜式車両用タイヤ
23日前
株式会社ブリヂストン
傾斜式車両用タイヤ
23日前
株式会社ブリヂストン
サイホン排水システム
14日前
株式会社ブリヂストン
再利用判定方法及び再利用判定装置
1日前
株式会社ブリヂストン
スチールコード-ゴム複合体及びタイヤ
7日前
株式会社ブリヂストン
サイドウォール用ゴム組成物及びタイヤ
7日前
株式会社ブリヂストン
熱分解油、エラストマー、ゴム製品、及び樹脂製品
16日前
株式会社ブリヂストン
熱分解油、エラストマー、ゴム製品、及び樹脂製品
16日前
株式会社ブリヂストン
熱分解油、エラストマー、ゴム製品、及び樹脂製品
16日前
株式会社ブリヂストン
情報処理装置、情報処理方法、及び情報処理プログラム
7日前
株式会社ブリヂストン
データ処理装置、データ処理方法及びデータ処理プログラム
14日前
株式会社ブリヂストン
タイヤ異常判定システム、プログラム及びタイヤ異常判定方法
7日前
株式会社カネカ
断熱材
14日前
東ソー株式会社
ペレット
1か月前
ユニチカ株式会社
透明シート
1か月前
ユニチカ株式会社
透明シート
3か月前
株式会社コバヤシ
成形体
1か月前
東レ株式会社
熱硬化性樹脂組成物
3か月前
東ソー株式会社
ゴム用接着性改質剤
1か月前
東ソー株式会社
プラスチゾル組成物
14日前
住友精化株式会社
吸水剤の製造方法
2か月前
東レ株式会社
ポリエステルフィルム
1か月前
丸住製紙株式会社
変性パルプ
1か月前
東レ株式会社
引抜成形品の製造方法
2か月前
東レ株式会社
ポリエステルフィルム
1か月前
東ソー株式会社
エチレン系重合用触媒
17日前
東レ株式会社
ポリプロピレンフィルム
1か月前
横浜ゴム株式会社
重荷重タイヤ
1か月前
東ソー株式会社
樹脂組成物および蓋材
2か月前
東ソー株式会社
樹脂組成物および蓋材
2か月前
株式会社スリーボンド
硬化性樹脂組成物
1か月前
アイカ工業株式会社
光硬化性樹脂組成物
1か月前
日本特殊陶業株式会社
樹脂成形体
2か月前
UBE株式会社
衝撃吸収材
1か月前
住友化学株式会社
樹脂組成物
1か月前
続きを見る
他の特許を見る