TOP
|
特許
|
意匠
|
商標
特許ウォッチ
Twitter
他の特許を見る
10個以上の画像は省略されています。
公開番号
2025169652
公報種別
公開特許公報(A)
公開日
2025-11-14
出願番号
2024074556
出願日
2024-05-01
発明の名称
スチールコード-ゴム複合体及びタイヤ
出願人
株式会社ブリヂストン
代理人
個人
,
個人
,
個人
,
個人
主分類
B60C
9/20 20060101AFI20251107BHJP(車両一般)
要約
【課題】ゴムとスチールコードとの接着性に優れた、スチールコード-ゴム複合体を提供する。
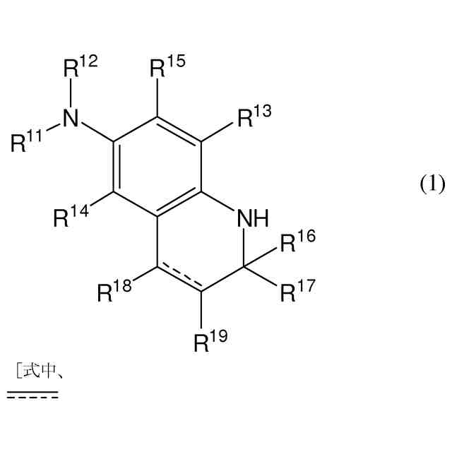
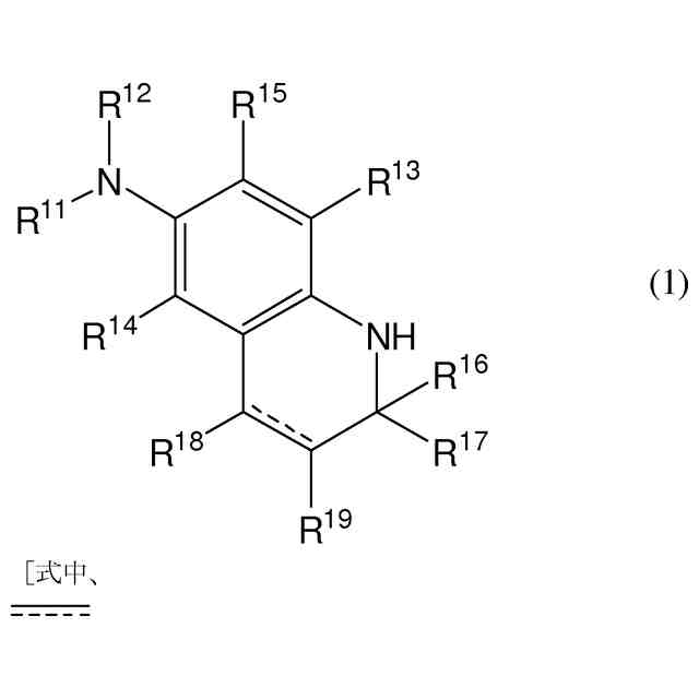
【解決手段】ゴム組成物は、ゴム成分と、下記一般式(1):
<com:Image com:imageContentCategory="Drawing"> <com:ImageFormatCategory>TIFF</com:ImageFormatCategory> <com:FileName>2025169652000020.tif</com:FileName> <com:HeightMeasure com:measureUnitCode="Mm">52</com:HeightMeasure> <com:WidthMeasure com:measureUnitCode="Mm">165</com:WidthMeasure> </com:Image>
は、単結合又は二重結合であり、R
11
及びR
12
は、それぞれ独立して水素、炭素数1~12のアルキル基、炭素数3~6のシクロアルキル基、又はフェニル基であり、R
13
、R
14
、R
15
、R
16
、R
17
、R
18
及びR
19
は、それぞれ独立して水素、又は炭素数1~12のアルキル基である。]で表される老化防止剤と、を含む。
【選択図】なし
特許請求の範囲
【請求項1】
1本又は複数本のスチールワイヤを有するスチールコードに、ゴム組成物を被覆させてなる、スチールコード-ゴム複合体であって、
前記ゴム組成物は、ゴム成分と、下記一般式(1):
TIFF
2025169652000016.tif
79
163
は、単結合又は二重結合であり、R
11
及びR
12
は、それぞれ独立して水素、炭素数1~12のアルキル基、炭素数3~6のシクロアルキル基、又はフェニル基であり、R
13
、R
14
、R
15
、R
16
、R
17
、R
18
及びR
19
は、それぞれ独立して水素、又は炭素数1~12のアルキル基である。]で表されるアミノキノリン系老化防止剤と、を含むことを特徴とする、スチールコード-ゴム複合体。
続きを表示(約 2,300 文字)
【請求項2】
前記スチールワイヤは、XPS(X線光電子分光)法による測定において、最表面に、リンを0.3~1.7原子%、亜鉛を2.5~14原子%、イオン化傾向が亜鉛より小さく銅よりも大きい金属を0.01~2.0原子%含有するブラスめっき層を有し、
下記式(I)及び(II)を満たすことを特徴とする、請求項1に記載のスチールコード-ゴム複合体。
0.3≦A/(A+B)≦0.6 ・・・(I)
0.06≦(A/(A+B))/C≦6 ・・・(II)
A:XPS法により測定された、前記ブラスめっき層の最表面における亜鉛の含有比率(原子%)
B:XPS法により測定された、前記ブラスめっき層の最表面における銅の含有比率(原子%)
C:前記ゴム組成物における前記ミノキノリン系防止剤の含有量(ゴム成分100質量部に対する質量部)
【請求項3】
前記ゴム成分が、イソプレン骨格ゴム、スチレン-ブタジエンゴム、ブタジエンゴム及びクロロプレンゴムからなる群より選択される少なくとも1種を含むことを特徴とする、請求項1又は2に記載のスチールコード-ゴム複合体。
【請求項4】
前記アミノキノリン系老化防止剤が、下記一般式(1-1):
TIFF
2025169652000017.tif
47
163
で表される化合物であることを特徴とする、請求項1又は2に記載のスチールコード-ゴム複合体。
【請求項5】
前記ゴム組成物における前記アミノキノリン系老化防止剤の含有量が、前記ゴム成分100質量部に対して0.1~5質量部であることを特徴とする、請求項1又は2に記載のスチールコード-ゴム複合体。
【請求項6】
前記ゴム組成物は、コバルト化合物を含まないことを特徴とする、請求項1又は2に記載のスチールコード-ゴム複合体。
【請求項7】
前記スチールコードは、銅、亜鉛及びコバルトを含むめっき層が形成された、1本又は複数本のスチールフィラメントを有し、
下記式(L)及び(M)を満たすことを特徴とする、請求項1又は2に記載のスチールコード-ゴム複合体。
A≧40 ・・・(L)
8≦A/B≦700 ・・・(M)
A:前記ゴムと前記めっき層とが接着され、前記めっき層のうち銅と硫黄の化合物が存在する層を接着層とし、該接着層の硫黄含量を、前記めっき層から前記ゴムに向かって、前記スチールフィラメントの長手方向に対して垂直方向に分析し、硫黄含量が増加する変曲点の位置を接着層最下部としたときの、前記スチールフィラメントの長手方向において等間隔に6点、前記接着層最下部から、前記スチールフィラメントの長手方向に対して垂直方向内側に向かって100nm、コバルトの原子%を分析し、前記めっき層全体のコバルトの原子%よりもコバルトの原子%が高い部分をコバルトリッチ領域(nm)とし、前記6点のコバルトリッチ領域の合計(nm)の、前記6点の分析範囲の合計(600nm)に対する割合(%)
B:前記ゴム組成物における前記アミノキノリン系老化防止剤の含有量(ゴム成分100質量部に対する質量部)
【請求項8】
前記スチールコードは、めっき層が形成された1本又は複数本のスチールワイヤを有し、
前記スチールワイヤは、前記めっき層の表面からワイヤ半径方向内方に深さ5nmまでのワイヤ表層領域における酸化物として含まれるリンの含有量が1.5原子%以下であり、
前記スチールワイヤの、前記めっき層の表面からワイヤ半径方向内方に深さ5nmまでのワイヤ表層領域における酸化物として含まれるリンの含有量(A(原子%))と、前記ゴム組成物中の、前記ゴム成分100質量部に対する前記アミノキノリン系老化防止剤の含有量(B(質量部))と、の比(A/B)が、0.02~15であることを特徴とする、請求項1又は2に記載のスチールコード-ゴム複合体。
【請求項9】
前記ゴム組成物が、N-シクロヘキシル-2-ベンゾチアゾリルスルフェンアミドを含み、
前記ゴム組成物の加硫後の50%伸長時のモジュラス(a)と、前記補強層のタイヤ幅方向端部において前記補強材を被覆する加硫ゴムの50%伸長時のモジュラス(b)と、の比(a/b)が、0.94以上1.06以下であり、
前記スチールコードは、銅、亜鉛及び鉄の三元めっきが形成されていることを特徴とする請求項1又は2に記載のスチールコード-ゴム複合体。
【請求項10】
前記ゴム組成物は、炭素数が2~25であり、金属種がビスマス、銅、アンチモン、銀、ニオブ及びジルコニウムからなる群より選択されるいずれかであるカルボン酸金属塩、及び、下記式(A)で表される化合物からなる群より選択される少なくとも1種を含有するゴム-金属接着促進剤を、ゴム成分100質量部に対して、0.01質量部以上と、
4,4’-ジフェニルメタンビスマレイミドと、を含むことを特徴とする、請求項1又は2に記載のスチールコード-ゴム複合体。
TIFF
2025169652000018.tif
71
163
[式(A)中、Zは、式(z-1)~式(z-4)から選ばれる構造である。Mはビスマス、銅、アンチモン、銀、ニオブ、又はジルコニウムである。(RCOO)は炭素数2~25の脂肪族カルボン酸の残基である。xは、(Mの価数-1)の整数である。]
(【請求項11】以降は省略されています)
発明の詳細な説明
【技術分野】
【0001】
本発明は、スチールコード-ゴム複合体及びタイヤに関するものである。
続きを表示(約 2,500 文字)
【背景技術】
【0002】
自動車用タイヤ、ホース等、特に強度が要求されるゴム物品には、ゴムを補強して強度及び耐久性を向上させる目的で、スチールコード等の金属補強材を被覆ゴムで被覆したスチールコード-ゴム複合体が用いられている。ここで、かかるスチールコード-ゴム複合体が高い補強効果を発揮し、信頼性を得るためには、該被覆ゴムと金属補強材との間に安定かつ強力な接着が必要である。
【0003】
被覆ゴムと金属補強材との間にこうした高い接着性を発揮するスチールコード-ゴム複合体を得るため、亜鉛、真鍮等でめっきされたスチールコード等の金属補強材を硫黄が配合された被覆ゴムに埋設し、加熱加硫時にゴムの加硫と同時にこれらを接着させる、いわゆる直接加硫接着が広く用いられている。これまで、該直接加硫接着による前記被覆ゴムと金属補強材との間のさらなる接着性向上のため、該直接加硫接着に関する様々な検討が行われている。
【0004】
例えば、特許文献1には、ブラスめっきしたスチールワイヤを湿式伸線して製造された複数本のフィラメントを撚り合わせてなるスチールコード-ゴム複合体補強用スチールコードの製造方法において、スチールワイヤ伸線時に使用する湿式潤滑剤中に、スチールコードと被覆ゴムの接着改良剤としてレゾルシンを添加することにより、フィラメント表面にかかるレゾルシンを付着させる方法が開示されている。
また、特許文献2には、使用するスチールワイヤ及びスチールコードの表面を酸性或いはアルカリ性の溶液で洗浄し、接着反応阻害剤であるリン化合物(スチールコード製造時使用の潤滑剤由来)を除去することで被覆ゴムとの接着性を向上させる技術が開示されている。
【0005】
しかしながら、特許文献1の技術では、スチールフィラメント伸線時の発熱によってレゾルシンが変質してしまうことがあり、その場合にはスチールコードと被覆ゴムの接着改良剤としての充分な効果を期待できないため、さらなる改善の必要があった。
また、特許文献2の技術では、洗浄処理後のスチールコード表面における低減されたリン化合物の量や、銅と亜鉛との割合、その他の組成については具体的に示されておらず、かかる観点からのより詳細な検討も望まれていた。
【0006】
また、一般にタイヤ等に用いられている直接加硫接着における被覆ゴムと金属補強材との初期接着性を向上させるために、被覆ゴムに接着プロモーターであるコバルト塩を配合したゴム組成物が採用されているものの、被覆ゴムの劣化及び亀裂成長性等に対する耐久性の向上の観点からすれば、かかるコバルト塩を可能なかぎり低減するのが望ましい。
そのため、特許文献3には、スチールコードとゴムとの初期接着性及び耐熱接着性の向上を目的として、めっき層の最表面において特定の金属(リン、亜鉛、イオン化傾向が亜鉛より小さく銅よりも大きい金属)が特定の割合で存在するよう制御したスチールコードを開示している。
【先行技術文献】
【特許文献】
【0007】
特開2004-66298号公報
特開2001-234371号公報
国際公開第2011/30547号
【発明の概要】
【発明が解決しようとする課題】
【0008】
特許文献2の技術によれば、コバルト等の接着促進剤を減少もしくは無添加とした場合にあっても、良好なゴムとスチールコードとの接着性を得ることができる。
しかしながら、タイヤのようなゴム物品の高性能化に伴って、ゴムとスチールコードとの接着性については、ますます要求は厳しくなるものと考えられている。例えば、スチールコードとコーティングゴムとの接着において要求される性能としては、初期接着性だけでなく、タイヤが実使用時に劣化環境に曝された際に接着界面の劣化に起因する故障を生じないことや、タイヤ製造工程におけるトラブルの防止、配合コストの抑制等、様々な条件を満足することが必要となっている。
また、環境への負荷の観点から、ゴムやスチールコードに含まれるコバルトは、できるだけ低減することが望ましく、コバルトを使用しない場合やコバルトの使用量が少ない場合であっても、ゴムとスチールコードとの接着性に優れる技術の開発が望まれていた。
【0009】
そのため、本発明の目的は、コバルトの使用量が少ない場合であっても、ゴムとスチールコードとの接着性に優れた、スチールコード-ゴム複合体を提供することにある。また、本発明の他の目的は、スチールコード使用部材の耐久性に優れたタイヤを提供することにある。
【課題を解決するための手段】
【0010】
上記課題を解決する本発明の要旨構成は、以下の通りである。
本発明のスチールコード-ゴム複合体は、1本又は複数本のスチールワイヤを有するスチールコードに、ゴム組成物を被覆させてなる、スチールコード-ゴム複合体であって、
前記ゴム組成物は、ゴム成分と、下記一般式(1):
TIFF
2025169652000001.tif
81
156
は、単結合又は二重結合であり、R
11
及びR
12
は、それぞれ独立して水素、炭素数1~12のアルキル基、炭素数3~6のシクロアルキル基、又はフェニル基であり、R
13
、R
14
、R
15
、R
16
、R
17
、R
18
及びR
19
は、それぞれ独立して水素、又は炭素数1~12のアルキル基である。]で表されるアミノキノリン系老化防止剤と、を含むことを特徴とする。
上記構成によって、コバルトの使用量が少ない場合であっても、ゴムとスチールコードとの優れた接着性を実現できる。
(【0011】以降は省略されています)
この特許をJ-PlatPat(特許庁公式サイト)で参照する
関連特許
株式会社ブリヂストン
タイヤ
1か月前
株式会社ブリヂストン
タイヤ
25日前
株式会社ブリヂストン
空気入りタイヤ
29日前
株式会社ブリヂストン
タイヤ成型用金型
1か月前
株式会社ブリヂストン
粉体定量供給装置
9日前
株式会社ブリヂストン
傾斜式車両用タイヤ
23日前
株式会社ブリヂストン
傾斜式車両用タイヤ
23日前
株式会社ブリヂストン
傾斜式車両用タイヤ
23日前
株式会社ブリヂストン
サイホン排水システム
14日前
株式会社ブリヂストン
タイヤ及びタイヤの製造方法
25日前
株式会社ブリヂストン
タイヤ及びタイヤの製造方法
25日前
株式会社ブリヂストン
タイヤ及びタイヤの製造方法
25日前
株式会社ブリヂストン
タイヤ及びタイヤの製造方法
25日前
株式会社ブリヂストン
再利用判定方法及び再利用判定装置
1日前
株式会社ブリヂストン
スチールコード-ゴム複合体及びタイヤ
7日前
株式会社ブリヂストン
サイドウォール用ゴム組成物及びタイヤ
7日前
株式会社ブリヂストン
タイヤ管理装置、プログラム及びタイヤ管理方法
1か月前
株式会社ブリヂストン
熱分解油、エラストマー、ゴム製品、及び樹脂製品
16日前
株式会社ブリヂストン
熱分解油、エラストマー、ゴム製品、及び樹脂製品
16日前
株式会社ブリヂストン
熱分解油、エラストマー、ゴム製品、及び樹脂製品
16日前
株式会社ブリヂストン
情報処理装置、情報処理方法、及び情報処理プログラム
7日前
株式会社ブリヂストン
タイヤ温度管理装置、プログラム及びタイヤ温度管理方法
1か月前
株式会社ブリヂストン
データ処理装置、データ処理方法及びデータ処理プログラム
14日前
株式会社ブリヂストン
タイヤ異常判定システム、プログラム及びタイヤ異常判定方法
7日前
個人
タイヤレバー
3か月前
個人
前輪キャスター
2か月前
個人
上部一体型自動車
1か月前
個人
空間形成装置
22日前
個人
タイヤ脱落防止構造
2か月前
個人
ルーフ付きトライク
3か月前
個人
ホイルのボルト締結
4か月前
日本精機株式会社
表示装置
3か月前
日本精機株式会社
表示装置
3か月前
日本精機株式会社
照明装置
17日前
個人
車両通過構造物
3か月前
日本精機株式会社
表示装置
3か月前
続きを見る
他の特許を見る