TOP
|
特許
|
意匠
|
商標
特許ウォッチ
Twitter
他の特許を見る
10個以上の画像は省略されています。
公開番号
2025168550
公報種別
公開特許公報(A)
公開日
2025-11-07
出願番号
2025147836,2020219210
出願日
2025-09-05,2020-12-28
発明の名称
生体信号処理システムを備えた医用画像撮像装置、医用撮像システム、及び生体信号処理方法
出願人
富士フイルム株式会社
代理人
弁理士法人山王坂特許事務所
主分類
A61B
5/055 20060101AFI20251030BHJP(医学または獣医学;衛生学)
要約
【課題】検査空間に置かれた被検体から非接触で得られる生体情報信号をもとに、生体情報を取得するための関心領域を正確に且つ自動で設定できる技術を提供すること。
【解決手段】医用画像撮像装置の信号解析部は、生体情報計測装置が計測した信号のうち、所定の範囲に含まれる複数の領域毎の生体情報信号を用いて、複数の領域のうち被検体の動きを取得すべき関心領域を選択する。選択した関心領域から生体情報計測装置が計測した生体情報信号を用いて、被検体の動きを算出する。
【選択図】図1
特許請求の範囲
【請求項1】
生体信号処理システムを備えた医用画像撮像装置であって、
前記生体信号処理システムは、
前記撮像装置の検査空間内又は検査空間近傍に設置され、検査中の被検体の状態を計測する非接触型の生体情報計測部と、前記生体情報計測部が計測した生体情報信号を処理し、前記被検体の動きを算出する信号解析部とを備え、
前記生体情報計測部は、前記被検体の所定の範囲から前記生体情報信号を取得し、
前記信号解析部は、前記所定の範囲に含まれる複数の領域毎の生体情報信号を用いて、前記複数の領域のうち前記被検体の動きを取得すべき関心領域を選択する関心領域選択部を有し、前記関心領域選択部が選択した関心領域から計測した前記生体情報信号を用いて、前記被検体の動きを算出することを特徴とする医用画像撮像装置。
続きを表示(約 1,400 文字)
【請求項2】
請求項1に記載の医用画像撮像装置であって、
前記生体情報計測部は、撮影装置(カメラ)であることを特徴とする医用画像撮像装置。
【請求項3】
請求項1に記載の医用画像撮像装置であって、
前記生体情報計測部は、電磁波(ミリ波)又は超音波を発生し、その反射波を受信して距離を計測する測距計であることを特徴とする医用画像撮像装置。
【請求項4】
請求項2に記載の医用画像撮像装置であって、
前記撮影装置は、前記検査空間内であって、前記被検体の所定の範囲に対し斜めから撮影するように設置されていることを特徴とする医用画像撮像装置。
【請求項5】
請求項1に記載の医用画像撮像装置であって、
前記生体情報計測部は、カメラを備え、
前記信号解析部は、前記カメラが撮影した画像の時間的な変化(オプティカルフロー)から前記被検体の動きを算出することを特徴とする医用画像撮像装置。
【請求項6】
請求項1に記載の医用画像撮像装置であって、
前記生体情報計測部は、ステレオカメラを備え、
前記信号解析部は、前記ステレオカメラが撮影した画像データから、前記ステレオカメラと前記被検体との距離を算出し、前記距離の時間的な変化から前記被検体の動きを算出することを特徴とする医用画像撮像装置。
【請求項7】
請求項1に記載の医用画像撮像装置であって、
前記生体情報信号は、前記被検体の脈動、拍動、及び体動のいずれかを反映した信号であって、
前記関心領域選択部は、前記複数の領域の生体情報信号について、ノイズ又は動きの強さに関わる指標を算出し、当該指標に基づき前記関心領域を選択することを特徴とする医用画像撮像装置。
【請求項8】
請求項7に記載の医用画像撮像装置であって、
前記指標は、時間ごとの前記生体情報信号の標準偏差(SD)、及び前記生体情報信号の強度情報、のいずれかを含むこと
を特徴とする医用画像撮像装置。
【請求項9】
請求項7に記載の医用画像撮像装置であって、
前記信号解析部は、前記生体情報信号に含まれる異常値を検出する異常信号検出部をさらに有し、前記異常信号検出部が異常値を検出したときに、前記関心領域選択部は、関心領域を再度選択することを特徴とする医用画像撮像装置。
【請求項10】
被検体が配置される検査空間を有する検査装置と、前記検査空間内又は検査空間近傍に設置され、検査中の被検体の状態を計測する非接触型の生体情報計測装置と、前記生体情報計測装置が計測した生体情報信号を処理し、前記被検体の動きを算出する信号解析装置と、GUIを表示する表示装置とを備え、
前記生体情報計測装置は、前記被検体の所定の範囲から前記生体情報信号を取得し、
前記信号解析装置は、前記所定の範囲に含まれる複数の領域毎の生体情報信号を用いて、前記複数の領域のうち前記被検体の動きを取得すべき関心領域を選択する関心領域選択部を有し、前記関心領域選択部が選択した関心領域から前記生体情報計測装置が計測した前記生体情報信号を用いて、前記被検体の動きを算出することを特徴とする医用撮像システム。
(【請求項11】以降は省略されています)
発明の詳細な説明
【技術分野】
【0001】
本発明は、医用画像撮像装置等の検査装置を用いて検査中の被検体の生体情報を取得し、その情報を医用画像撮像装置に提供するための技術に関する。
続きを表示(約 1,900 文字)
【背景技術】
【0002】
MRI(Magnetic Resonance Imaging)装置などの医用画像撮像装置を用いた被検体(多くは患者)の検査では、被検体の脈動や呼吸動によるアーチファクトの影響を軽減するため、これらの動きに同期した撮像が広く行われている。被検体の脈動や呼吸動は、通常、検査中の被検体に心電計や呼吸動を計測するための呼吸バルーン等の測定装置を取り付けて、測定装置からの信号を撮像装置に取り込むことで撮像を制御している。また呼吸動を正確に把握できる場合には、その動きを用いて計測データや画像を補正することも可能である。
【0003】
しかし呼吸バルーンなどの測定装置は、それを患者にセッティングするための準備が必要であり、しかもセッティングの仕方や被検体の個体差により、呼吸動の検出が精度よく行えない場合もある。
【0004】
これに対し、MRI装置では、呼吸動を検知するために例えば横隔膜等の動きのある位をターゲットとして信号収集を行い、呼吸動を監視する技術も広く用いられている。但し、この技術では、画像形成用の核磁気共鳴信号とは別にナビゲーションエコーを発生させて収集するため撮像時間が延長せざるを得ない。
【0005】
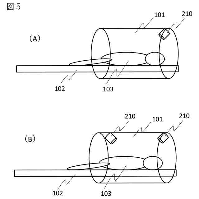
一方、特許文献1には、自動で被検体の脈動や呼吸動などの生理学的パラメータを計測するカメラシステムが開示されており、このカメラシステムをMRI装置に適用し、MRI装置による検査中に、生理学的パラメータを自動で計測することが記載されている。このカメラシステムでは、被検体を検査装置のボア(検査空間)内に搬送する前に、ボアの外側に設置されたデジタルカメラで被検体の生体計測パラメータを計測し、被検体の所定の範囲を決めたのち、ボア内に搬入された被検体に対し、搬入側に対し遠位に配置されたカメラで、所定の範囲を撮影するとともに、生体計測パラメータを用いて関心領域を決定し、関心領域の写真データから生理学的パラメータを算出する。
【先行技術文献】
【特許文献】
【0006】
特許第6714006号明細書
【発明の開示】
【発明が解決しようとする課題】
【0007】
上述のように、被検体から非接触で、呼吸動や脈動などの生理学的情報(動きの情報)を得るためには、それを最もよく反映した関心領域を設定することが重要であり、特に呼吸同期撮像を行う場合には関心領域を正しく設定することが不可欠となる。しかし、特許文献1では、生体計測パラメータ、具体的には、被検体の胸骨と右鎖骨間の距離をもとに関心領域を決定するとしているが、被検体のサイズ等の生体計測パラメータのみで関心領域を決定した場合には、関心領域が広すぎる可能性もあるし、また関心領域が狭い場合には位置ずれを生じる可能性もあり、適切な関心領域の設定は担保されない。また、特許文献1に記載された技術では、生体計測パラメータを取得するために、関心領域を含む範囲を撮影するカメラとは別に、ボア外にカメラを設置する必要がある。すなわち2つのカメラが必須となる。
【0008】
本発明は、上述した従来技術の課題を解決するものであり、検査空間に置かれた被検体から非接触で得られる生体情報信号をもとに、生体情報を取得するための関心領域を正確に且つ自動で設定できる技術を提供すること、これにより生体情報(動きの情報)を利用した医用画像の撮像を効率よく実行でき、医者や技師等の時間と手間を軽減することを課題とする。
【課題を解決するための手段】
【0009】
上記課題を解決するため、本発明の医用画像撮像装置は、生体信号処理システムを備えるものであり、生体信号処理システムは、医用画像撮像装置の検査空間内又は検査空間近傍に設置され、検査中の被検体の状態を計測する非接触型の生体情報計測部と、生体情報計測部が計測した生体情報信号を処理し、被検体の動きを算出する信号解析部とを備える。生体情報計測部は、被検体の所定の範囲から前記生体情報信号を取得し、信号解析部は、所定の範囲に含まれる複数の領域毎の生体情報信号を用いて、複数の領域のうち被検体の動きを取得すべき関心領域を選択する関心領域選択部を有し、関心領域選択部が選択した関心領域から計測した生体情報信号を用いて、被検体の動きを算出する。
【0010】
また本発明の医用撮像システムは、検査装置と、上述の生体情報計測部と信号解析部とを備えた生体信号処理システムと、GUIを表示する装置と、を含むものである。
(【0011】以降は省略されています)
この特許をJ-PlatPat(特許庁公式サイト)で参照する
関連特許
富士フイルム株式会社
医療画像処理装置及びその作動方法
11日前
富士フイルム株式会社
医療業務支援装置、方法およびプログラム
17日前
富士フイルム株式会社
X線透視撮像装置、および、画像処理方法
17日前
富士フイルム株式会社
結像光学系、投写型表示装置、及び撮像装置
3日前
富士フイルム株式会社
結像光学系、投写型表示装置、および撮像装置
3日前
富士フイルム株式会社
結像光学系、投写型表示装置、および撮像装置
3日前
富士フイルム株式会社
超音波画像解析装置及び超音波画像解析プログラム
20日前
富士フイルム株式会社
転写フィルム、導体パターンを有する積層体の製造方法
3日前
富士フイルム株式会社
振動素子の検査結果表示装置及び検査結果表示プログラム
6日前
富士フイルム株式会社
撮像システム及びプログラム
19日前
富士フイルム株式会社
情報処理装置、情報処理装置の作動方法、および情報処理装置の作動プログラム
13日前
富士フイルム株式会社
処理装置、処理方法、及び処理プログラム
5日前
富士フイルム株式会社
放射線画像処理装置、方法およびプログラム
11日前
富士フイルム株式会社
画像処理装置、画像処理方法、及びプログラム
17日前
富士フイルム株式会社
面圧解析装置、方法、プログラム及び記録媒体
19日前
富士フイルム株式会社
二次電池用バインダー組成物、電極シート及び二次電池、並びに、これら電極シート及び二次電池の製造方法
4日前
富士フイルム株式会社
非アルコール性脂肪性肝炎の判定を補助する方法および非アルコール性脂肪性肝炎の判定を補助するためのデータを得る方法
11日前
富士フイルム株式会社
二次電池用バインダー組成物、電極用組成物、電極シート及び二次電池、並びに、これら電極シート及び二次電池の製造方法
4日前
富士フイルム株式会社
果菜植物の栽培方法、トマト、果菜植物水耕栽培用培養液及び果菜植物水耕栽培装置
5日前
富士フイルム株式会社
生体信号処理システムを備えた医用画像撮像装置、医用撮像システム、及び生体信号処理方法
3日前
個人
貼付剤
14日前
個人
健康器具
8か月前
個人
足踏み器具
3日前
個人
鼾防止用具
8か月前
個人
短下肢装具
3か月前
個人
脈波測定方法
8か月前
個人
マッサージ機
9か月前
個人
排尿補助器具
27日前
個人
導電香
9か月前
個人
洗井間専家。
7か月前
個人
白内障治療法
8か月前
個人
前腕誘導装置
3か月前
個人
嚥下鍛錬装置
4か月前
個人
脈波測定方法
8か月前
個人
汚れ防止シート
1か月前
個人
バッグ式オムツ
4か月前
続きを見る
他の特許を見る