TOP
|
特許
|
意匠
|
商標
特許ウォッチ
Twitter
他の特許を見る
10個以上の画像は省略されています。
公開番号
2025167858
公報種別
公開特許公報(A)
公開日
2025-11-07
出願番号
2024072826
出願日
2024-04-26
発明の名称
ワークピースの膜厚推定に使用される参照スペクトルライブラリの作成方法
出願人
株式会社荏原製作所
代理人
個人
,
個人
,
個人
主分類
B24B
37/013 20120101AFI20251030BHJP(研削;研磨)
要約
【課題】複数の参照スペクトルに対応する複数の膜厚の正確さを向上させることができる参照スペクトルライブラリの作成方法を提供する。
【解決手段】参照スペクトルライブラリの作成方法は、参照ワークピースの研磨内の複数の研磨時間で得られた参照ワークピースからの反射光の複数の参照スペクトルを生成し、複数の参照スペクトルから、参照ワークピースの研磨の進捗を示す複数の研磨指標値を算定し、参照ワークピースの初期膜厚、複数の研磨指標値、および参照ワークピースの最終膜厚から、参照ワークピースの膜厚と研磨時間との関係を示す研磨レート線を決定し、研磨レート線に基づいて、複数の研磨指標値に対応する複数の参照膜厚を決定し、複数の参照膜厚を複数の参照スペクトルに関連付けることにより、参照スペクトルライブラリを作成する。
【選択図】図9
特許請求の範囲
【請求項1】
ワークピースの膜厚推定に使用される参照スペクトルライブラリの作成方法であって、 研磨前の参照ワークピースの初期膜厚を測定し、
前記参照ワークピースを研磨装置により研磨し、
前記参照ワークピースの研磨内の複数の研磨時間で得られた前記参照ワークピースからの反射光の複数の参照スペクトルを生成し、
前記参照ワークピースの研磨後に前記参照ワークピースの最終膜厚を測定し、
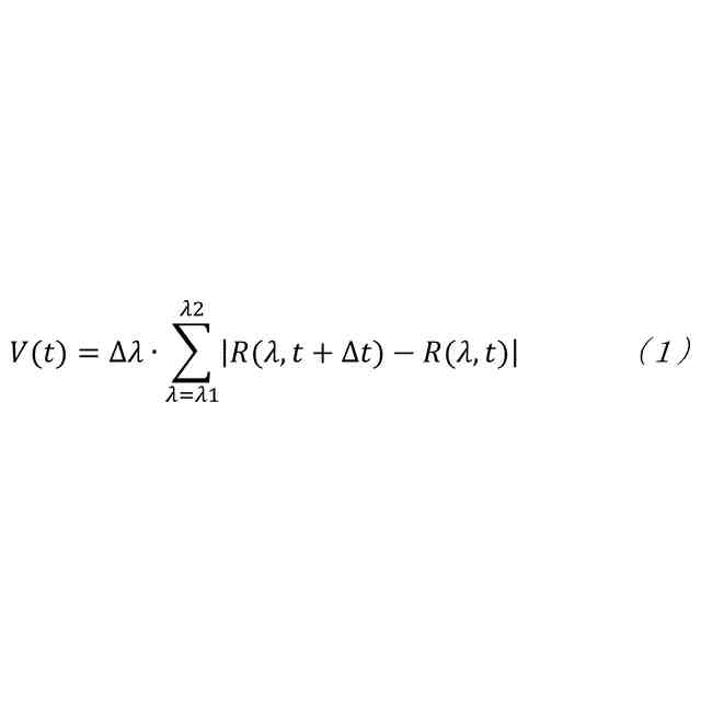
前記複数の参照スペクトルから、前記参照ワークピースの研磨の進捗を示す複数の研磨指標値を算定し、
前記初期膜厚、前記複数の研磨指標値、および前記最終膜厚から、前記参照ワークピースの膜厚と研磨時間との関係を示す研磨レート線を決定し、
前記研磨レート線に基づいて、前記複数の研磨指標値に対応する複数の参照膜厚を決定し、
前記複数の参照膜厚を前記複数の参照スペクトルに関連付けることにより、参照スペクトルライブラリを作成する、参照スペクトルライブラリの作成方法。
続きを表示(約 1,400 文字)
【請求項2】
前記複数の研磨指標値の算定は、
前記複数の参照スペクトル間の複数の変化量を算定し、各変化量は前記複数の参照スペクトルのうちの時間的に隣接する2つの変化量であり、
前記参照ワークピースの研磨時間に従って並ぶ前記複数の変化量を1つずつ積算することで、前記複数の研磨指標値を算定することを含む、請求項1に記載の参照スペクトルライブラリの作成方法。
【請求項3】
前記研磨レート線の決定は、
前記参照ワークピースの研磨レートが一定と仮定したときの仮研磨レート線を前記初期膜厚および前記最終膜厚から算定し、
前記仮研磨レート線を、前記複数の研磨指標値の研磨時間に伴う変化に基づいて、補正することで前記研磨レート線を決定することを含む、請求項1に記載の参照スペクトルライブラリの作成方法。
【請求項4】
前記複数の研磨指標値の算定は、
前記参照ワークピースの研磨レートが一定と仮定したときの前記参照ワークピースの複数の仮膜厚を、前記初期膜厚、前記最終膜厚、および前記複数の研磨時間から算定し、
前記複数の参照スペクトルのそれぞれについて主成分分析を実行することで、第1主成分乃至第k主成分(kは2以上の自然数)を含む複数の主成分を各参照スペクトルについて取得し、
前記複数の参照スペクトルについて取得された複数の主成分を、第1主成分乃至第k主成分の複数のグループに分類し、
前記複数のグループのそれぞれに含まれる複数の主成分と、前記複数の仮膜厚との相関係数を算定することで、前記複数のグループに対応する複数の相関係数を決定し、
前記複数の相関係数のうち、相関係数の絶対値が最も大きい第1グループと、相関係数の絶対値が2番目に大きい第2グループを決定し、
前記第1グループに含まれる複数の主成分を座標系の第1座標軸上に並べ、
前記第2グループに含まれる複数の主成分を前記座標系の第2座標軸上に並べ、
前記第1座標軸上の前記複数の主成分と、前記第2座標軸上の前記複数の主成分から特定される複数のデータ点である前記複数の研磨指標値を決定することを含む、請求項1に記載の参照スペクトルライブラリの作成方法。
【請求項5】
ワークピースの膜厚推定に使用される参照スペクトルライブラリの作成方法であって、 研磨前の参照ワークピースの初期膜厚を測定し、
前記参照ワークピースを研磨装置により研磨し、
前記参照ワークピースの研磨内の複数の研磨時間で得られた前記参照ワークピースからの反射光の複数の参照スペクトルを生成し、
前記参照ワークピースの研磨中に前記参照ワークピースの中間膜厚を少なくとも1回測定し、
前記参照ワークピースの研磨後に前記参照ワークピースの最終膜厚を測定し、
前記初期膜厚、前記中間膜厚、および前記最終膜厚から、前記参照ワークピースの膜厚と研磨時間との関係を示す研磨レート線を決定し、
前記研磨レート線から、前記複数の研磨時間での複数の参照膜厚を決定し、
前記参照膜厚を前記複数の参照スペクトルに関連付けることにより、参照スペクトルライブラリを作成する、参照スペクトルライブラリの作成方法。
発明の詳細な説明
【技術分野】
【0001】
本発明は、ウェーハ、基板などのワークピースの膜厚推定に使用される参照スペクトルライブラリの作成方法に関し、特に、ワークピースからの反射光の測定スペクトルと比較される複数の参照スペクトルを含む参照スペクトルライブラリの作成方法に関する。
続きを表示(約 2,100 文字)
【背景技術】
【0002】
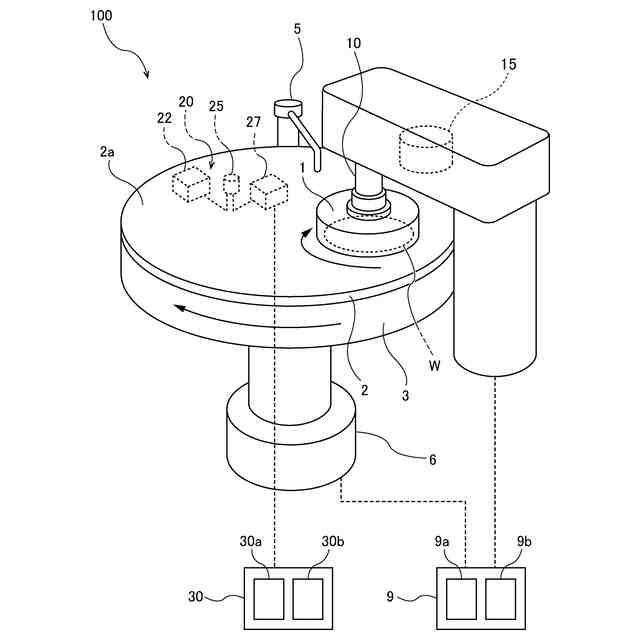
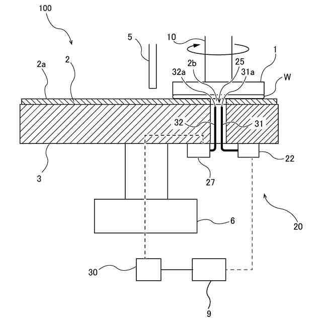
光学式膜厚測定装置は、ウェーハからの反射光の測定スペクトルを生成し、測定スペクトルに最も形状が近い参照スペクトルを参照スペクトルライブラリの中から決定し、その決定された参照スペクトルに予め関連付けられた膜厚を決定するように構成される。図17は、測定スペクトルと複数の参照スペクトルとの比較から膜厚を決定するプロセスを説明する図である。光学式膜厚測定装置は、ワークピースの研磨中に生成された測定スペクトルと、予め用意された複数の参照スペクトルとを比較し、測定スペクトルに最も形状の近い参照スペクトルを決定し、この決定された参照スペクトルに予め関連付けられた膜厚を決定する。測定スペクトルに最も形状の近い参照スペクトルは、参照スペクトルと測定スペクトルとの間の形状の差が最も小さいスペクトルである。
【0003】
複数の参照スペクトルは、研磨対象のウェーハと同じ表面構造を有する参照ウェーハを予め研磨することによって取得される。各参照スペクトルにはその参照スペクトルが取得されたときの膜厚が関連付けられる。すなわち、複数の参照スペクトルは、参照ウェーハの膜厚が異なるときに取得されたものであり、複数の参照スペクトルは複数の異なる膜厚に対応する。したがって、測定スペクトルに最も形状の近い参照スペクトルを特定することにより、ウェーハの現在の膜厚を推定することができる。
【0004】
複数の参照スペクトルおよび対応する膜厚を取得する工程の一例について説明する。まず、研磨対象のウェーハと同じ表面構造を有する参照ウェーハが用意される。参照ウェーハは、膜厚測定器に搬送され、参照ウェーハの初期膜厚Tiniが膜厚測定器によって測定される。次に、参照ウェーハは研磨装置に搬送され、研磨装置により参照ウェーハが研磨される。参照ウェーハの研磨中、参照ウェーハの表面に光が照射され、参照ウェーハからの反射光のスペクトル(すなわち参照スペクトル)が生成される。参照スペクトルは、参照ウェーハの研磨中に周期的に生成される。したがって、参照ウェーハの研磨中、膜厚の減少とともに複数の参照スペクトルが取得される。参照ウェーハの研磨が終了した後、参照ウェーハは上記膜厚測定器に再び搬送され、研磨された参照ウェーハの膜厚(すなわち最終膜厚Tfin)が測定される。
【0005】
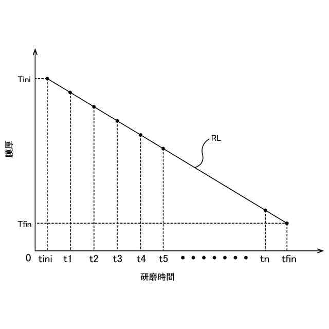
図18は、参照ウェーハの膜厚と研磨時間との関係を示すグラフである。参照ウェーハの研磨レート(除去レートともいう)が一定である場合、図18に示すように、膜厚は研磨時間とともに初期膜厚Tiniから最終膜厚Tfinまで直線的に減少する。言い換えれば、膜厚は、研磨時間を変数として含む一次関数で表すことができる。研磨レートは、初期膜厚Tiniと最終膜厚Tfinとの差を、最終膜厚Tfinでの研磨時間tfinと初期膜厚Tiniでの研磨時間tiniと差で割り算することにより算出することができる(研磨レート=[Tini-Tfin]/[tfin-tini])。
【0006】
複数の参照スペクトルが生成された時間t1,t2,・・・,tnは、研磨時間tiniから研磨時間tfinまでの範囲内である。初期膜厚Tiniと、最終膜厚Tfinと、参照スペクトルが生成された時間t1~tnから、参照スペクトルに対応する膜厚を算出することができる。例えば、時間t2において生成された参照スペクトルに対応する膜厚は、以下の式から算定することができる。
Tini-[Tini-Tfin]・[[t2-tini]/[tfin-tini]]
【0007】
このようにして、異なる膜厚に対応する複数の参照スペクトルが取得される。各参照スペクトルは、対応する膜厚に関連付けられる(結び付けられる)。光学式膜厚測定装置は、ウェーハの研磨中に測定スペクトルに最も形状が近い参照スペクトルを特定することにより、その参照スペクトルに関連付けられた膜厚からウェーハの現在の膜厚を推定することができる。
【先行技術文献】
【特許文献】
【0008】
国際公開2015/163164号
特開2022-156879号公報
【発明の概要】
【発明が解決しようとする課題】
【0009】
上述した従来の膜厚推定では、図18に示すように、参照ウェーハの研磨レートは一定であると仮定される。しかしながら、参照ウェーハの実際の研磨レートは、図19に示すように、一定でないことがある。このため、複数の参照スペクトルに対応する複数の膜厚は、参照ウェーハの実際の膜厚とは異なることがあり、結果として、ウェーハの膜厚推定精度が低下する。
【0010】
そこで、本発明は、複数の参照スペクトルに対応する複数の膜厚の正確さを向上させることができる参照スペクトルライブラリの作成方法を提供する。
【課題を解決するための手段】
(【0011】以降は省略されています)
この特許をJ-PlatPat(特許庁公式サイト)で参照する
関連特許
株式会社荏原製作所
研磨装置
26日前
株式会社荏原製作所
ポンプ装置
1か月前
株式会社荏原製作所
モータポンプ
1か月前
株式会社荏原製作所
往復動ポンプ
1か月前
株式会社荏原製作所
立形多段ポンプ
1か月前
株式会社荏原製作所
熱媒体供給装置
1か月前
株式会社荏原製作所
蒸気発電プラント
1か月前
株式会社荏原製作所
周波数制御システム
1か月前
株式会社荏原製作所
研磨方法および研磨装置
1か月前
株式会社荏原製作所
研磨装置および研磨方法
26日前
株式会社荏原製作所
研磨方法および研磨システム
1か月前
株式会社荏原製作所
振動検知器及び振動検知システム
4日前
株式会社荏原製作所
基板処理方法および基板処理装置
26日前
株式会社荏原製作所
基板研磨装置および膜厚算出方法
11日前
株式会社荏原製作所
シールリングおよび往復動ポンプ
1か月前
株式会社荏原製作所
圧縮式冷凍機および冷凍システム
11日前
株式会社荏原製作所
基板研磨装置および膜厚算出方法
24日前
株式会社荏原製作所
超伝導モータおよびモータシステム
19日前
株式会社荏原製作所
ウェーハの洗浄方法および洗浄装置
26日前
株式会社荏原製作所
基板接合方法および基板接合システム
1か月前
株式会社荏原製作所
ドレッサ洗浄装置および基板研磨装置
1か月前
株式会社荏原製作所
永久磁石型モータおよびモータシステム
19日前
株式会社荏原製作所
永久磁石型モータおよびモータシステム
19日前
株式会社荏原製作所
永久磁石型モータおよびモータシステム
19日前
株式会社荏原製作所
ポンプシステム及びポンプシステムの制御方法
3日前
株式会社荏原製作所
処理ヘッド、基板処理装置、および基板処理方法
27日前
株式会社荏原製作所
ポンプシステムの運転方法、およびポンプシステム
17日前
株式会社荏原製作所
パッド表面判定方法およびパッド表面判定システム
11日前
株式会社荏原製作所
永久磁石型モータ、モータシステム、およびポンプシステム
19日前
株式会社荏原製作所
基板洗浄装置のキャリブレーション方法および基板洗浄方法
1か月前
株式会社荏原製作所
基板表面近傍の液置換状態を評価する方法および評価用基板
1か月前
オリオン機械株式会社
ヒータおよびこれを有する液体温調装置
1か月前
株式会社荏原製作所
情報処理装置、情報処理方法、情報処理プログラム、及び、記録媒体
1か月前
株式会社荏原製作所
情報処理装置、情報処理方法、情報処理プログラム、及び、記録媒体
4日前
株式会社荏原製作所
基板洗浄方法、基板洗浄装置、基板洗浄プログラムおよび基板処理装置
11日前
株式会社荏原製作所
ワークピースの膜厚推定に使用される参照スペクトルライブラリの作成方法
24日前
続きを見る
他の特許を見る