TOP
|
特許
|
意匠
|
商標
特許ウォッチ
Twitter
他の特許を見る
10個以上の画像は省略されています。
公開番号
2025157928
公報種別
公開特許公報(A)
公開日
2025-10-16
出願番号
2024060285
出願日
2024-04-03
発明の名称
放送信号の処理方法
出願人
マクセル株式会社
代理人
弁理士法人筒井国際特許事務所
主分類
H04N
21/2362 20110101AFI20251008BHJP(電気通信技術)
要約
【課題】高度デジタル放送サービスをより好適に送信または受信する技術を提供する。
【解決手段】マルチレイヤ符号化を用いるデジタル放送システムにおける放送信号の処理方法であって、第1のレイヤの映像と、第2のレイヤの映像と、前記第1のレイヤの映像に対する前記第2のレイヤの映像の関係性を識別可能な識別情報と、を含む放送信号を送信する送信ステップと、前記送信ステップで送信された前記放送信号を受信する受信ステップと、前記受信ステップで受信した前記放送信号に含まれる前記識別情報を用いて、前記第1のレイヤの映像に対する前記第2のレイヤの映像の関係性を識別する識別ステップと、を備える、放送信号の処理方法を用いる。
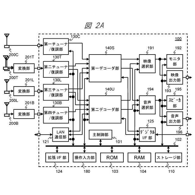
【選択図】図2A
特許請求の範囲
【請求項1】
マルチレイヤ符号化を用いるデジタル放送システムにおける放送信号の処理方法であって、
第1のレイヤの映像と、第2のレイヤの映像と、前記第1のレイヤの映像に対する前記第2のレイヤの映像の関係性を識別可能な識別情報と、を含む放送信号を送信する送信ステップと、
前記送信ステップで送信された前記放送信号を受信する受信ステップと、
前記受信ステップで受信した前記放送信号に含まれる前記識別情報を用いて、前記第1のレイヤの映像に対する前記第2のレイヤの映像の関係性を識別する識別ステップと、
を備える、
放送信号の処理方法。
続きを表示(約 260 文字)
【請求項2】
マルチレイヤ符号化を用いるデジタル放送システムにおける放送信号の処理方法であって、
第1のレイヤの映像と、第2のレイヤの映像と、前記第2のレイヤの映像の表示の必要性を識別可能な識別情報と、を含む放送信号を送信する送信ステップと、
前記送信ステップで送信された前記放送信号を受信する受信ステップと、
前記受信ステップで受信した前記放送信号に含まれる前記識別情報を用いて、前記第2のレイヤの映像の表示の必要性を識別する識別ステップと、
を備える、
放送信号の処理方法。
発明の詳細な説明
【技術分野】
【0001】
本発明は、放送信号の処理方法に関する。
続きを表示(約 1,300 文字)
【背景技術】
【0002】
従来のアナログ放送サービスに替わり、1990年代後半より各国でデジタル放送サービスが開始された。デジタル放送サービスは、誤り訂正技術を用いた放送品質の向上、圧縮符号化技術を用いた多チャンネル化およびHD(High Definition)、BML(Broadcast Markup Language)やHTML5(Hyper Text Markup Language version5)を用いたサービスのマルチメディア化、等を実現した。
【0003】
近年では、さらなる周波数使用効率の向上、高解像度化や高機能化を目的として、各国において、高度デジタル放送方式の検討が進められている。
【先行技術文献】
【特許文献】
【0004】
特開2016-144020号公報
【発明の概要】
【発明が解決しようとする課題】
【0005】
現行のデジタル放送はサービスを開始してから既に10年以上を経過しており、現行のデジタル放送サービスを受信可能な放送受信装置が充分に普及している。このため、現在検討を進めている高度デジタル放送サービスを開始するにあたっては、現行のデジタル放送サービスとの互換性を考慮する必要がある。即ち、現行のデジタル放送サービスの視聴環境を維持しつつ、映像信号のUHD(Ultra High Definition)化等を実現することが好ましい。
【0006】
デジタル放送サービスでUHD放送を実現する技術として特許文献1に記載のシステムがある。しかしながら、特許文献1に記載のシステムは現行のデジタル放送に置き換えるものであり、現行のデジタル放送サービスの視聴環境の維持を考慮したものではない。
【0007】
本発明の目的は、現行のデジタル放送サービスとの互換性も考慮した、より高機能な高度デジタル放送サービスをより好適に送信または受信する技術を提供することである。
【課題を解決するための手段】
【0008】
前記課題を解決するための手段として、特許請求の範囲に記載の技術を用いる。
【0009】
一例を挙げるならば、マルチレイヤ符号化を用いるデジタル放送システムにおける放送信号の処理方法であって、第1のレイヤの映像と、第2のレイヤの映像と、前記第1のレイヤの映像に対する前記第2のレイヤの映像の関係性を識別可能な識別情報と、を含む放送信号を送信する送信ステップと、前記送信ステップで送信された前記放送信号を受信する受信ステップと、前記受信ステップで受信した前記放送信号に含まれる前記識別情報を用いて、前記第1のレイヤの映像に対する前記第2のレイヤの映像の関係性を識別する識別ステップと、を備える、放送信号の処理方法を用いれば良い。
【発明の効果】
【0010】
本発明によれば、高度デジタル放送サービスをより好適に送信または受信する技術を提供することができる。
【図面の簡単な説明】
(【0011】以降は省略されています)
この特許をJ-PlatPat(特許庁公式サイト)で参照する
関連特許
マクセル株式会社
空中浮遊映像表示装置
19日前
マクセル株式会社
表示装置
4日前
マクセル株式会社
表示装置
4日前
マクセル株式会社
電気かみそりの外刃、電気かみそり、およびめっき積層体
4日前
マクセル株式会社
放送受信装置
今日
マクセル株式会社
樹脂成形体の製造方法、プラスチックモデル、樹脂成形体及びフィルタ
今日
マクセル株式会社
コンテンツ保護処理方法
4日前
マクセル株式会社
コンテンツ保護処理方法
4日前
マクセル株式会社
デジタル放送変調波の処理方法
11日前
マクセル株式会社
表示装置、ヘッドアップディスプレイ装置、およびデジタルサイネージ
11日前
個人
イヤーピース
1か月前
個人
イヤーマフ
1か月前
個人
監視カメラシステム
1か月前
個人
スイッチシステム
1か月前
キーコム株式会社
光伝送線路
1か月前
WHISMR合同会社
収音装置
2か月前
サクサ株式会社
中継装置
2か月前
個人
スキャン式車載用撮像装置
1か月前
サクサ株式会社
中継装置
2か月前
アイホン株式会社
電気機器
2か月前
キヤノン株式会社
撮像装置
4日前
キヤノン株式会社
撮像装置
4日前
キヤノン株式会社
撮像装置
11日前
キヤノン株式会社
撮像装置
4日前
株式会社リコー
画像形成装置
3か月前
サクサ株式会社
無線システム
2か月前
キヤノン電子株式会社
画像読取装置
1か月前
個人
ワイヤレスイヤホン対応耳掛け
2か月前
株式会社リコー
画像形成装置
1か月前
キヤノン電子株式会社
画像読取装置
3か月前
サクサ株式会社
無線通信装置
2か月前
個人
映像表示装置、及びARグラス
1か月前
株式会社リコー
画像形成装置
3か月前
キヤノン電子株式会社
画像読取装置
1か月前
ヤマハ株式会社
放音制御装置
1か月前
サクサ株式会社
無線通信装置
2か月前
続きを見る
他の特許を見る