TOP
|
特許
|
意匠
|
商標
特許ウォッチ
Twitter
他の特許を見る
10個以上の画像は省略されています。
公開番号
2025144540
公報種別
公開特許公報(A)
公開日
2025-10-02
出願番号
2025039742
出願日
2025-03-12
発明の名称
樹脂組成物、硬化物、封止材、接着剤、並びに半導体パッケージ及びその製造方法
出願人
旭化成株式会社
代理人
個人
,
個人
,
個人
,
個人
主分類
C08L
63/00 20060101AFI20250925BHJP(有機高分子化合物;その製造または化学的加工;それに基づく組成物)
要約
【課題】有機溶媒含有量が少ないにもかかわらず、浸透性に優れ、かつ、硬化性と保存安定性とを両立でき、硬化時にボイドが発生しない、樹脂組成物、硬化物、封止材、接着剤、並びに半導体パッケージ及びその製造方法を提供する。
【解決手段】
本発明の樹脂組成物は、エポキシ樹脂(A)と、ポリイミド樹脂(B)と、硬化剤(C)と、無機充填剤(D)と、を含み、有機溶媒の含有量が、前記樹脂組成物中に、1質量%以下である。
【選択図】なし
特許請求の範囲
【請求項1】
エポキシ樹脂(A)と、
ポリイミド樹脂(B)と、
硬化剤(C)と、
無機充填剤(D)と、を含む、樹脂組成物であって、
有機溶媒の含有量が、前記樹脂組成物中に、1質量%以下である、樹脂組成物。
続きを表示(約 1,100 文字)
【請求項2】
25℃における粘度が100Pa・s以下である、請求項1に記載の樹脂組成物。
【請求項3】
110℃において、回転速度が10/秒の時の粘度をV1とし、回転速度が100/秒の時の粘度をV2とした時、下記式(I)を満たす、請求項1に記載の樹脂組成物。
0.8≦V1/V2≦1.2・・・(I)
【請求項4】
前記ポリイミド樹脂(B)が、テトラカルボン酸二無水物とジアミンとの縮合物を含み、
前記縮合物の配合比(前記テトラカルボン酸二無水物:前記ジアミン)が、モル比で1.00:1.20~1.00:2.00である、請求項1に記載の樹脂組成物。
【請求項5】
前記硬化剤(C)が、
芳香族アミン化合物(C-1)と、
前記芳香族アミン化合物(C-1)と、前記芳香族アミン化合物(C-1)と反応し得る官能基を有する反応性化合物との反応生成物である芳香族アミンアダクト(C-2)と、
を含み、
前記芳香族アミンアダクト(C-2)が、前記芳香族アミン化合物(C-1)の1分子に対して前記反応性化合物の1分子が付加した芳香族アミンアダクト(C-2-1)を含む、請求項1に記載の樹脂組成物。
【請求項6】
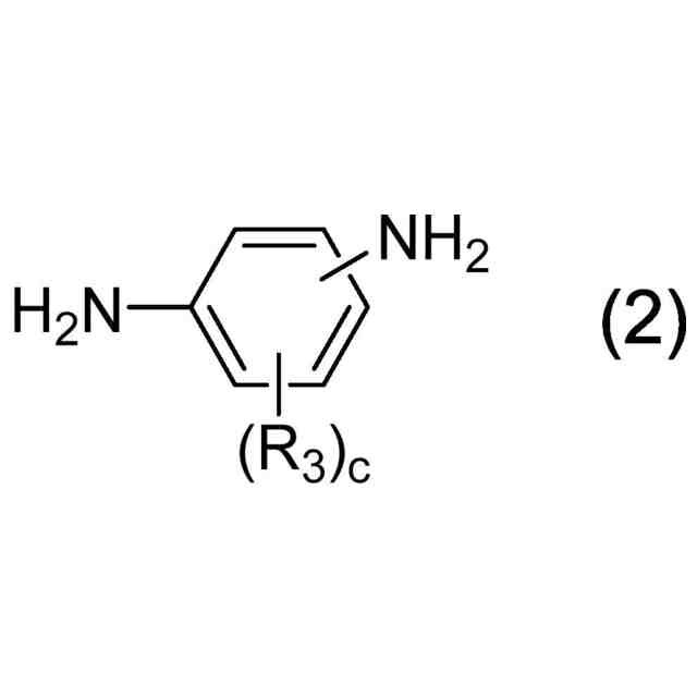
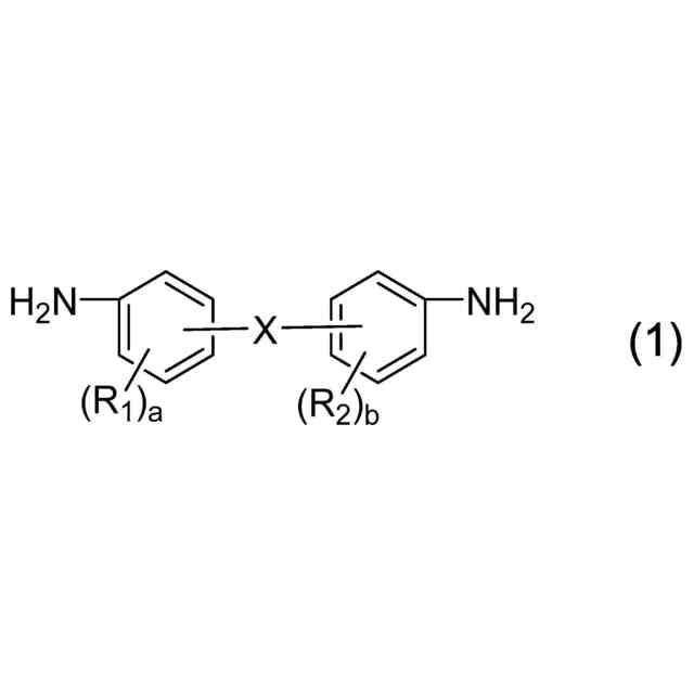
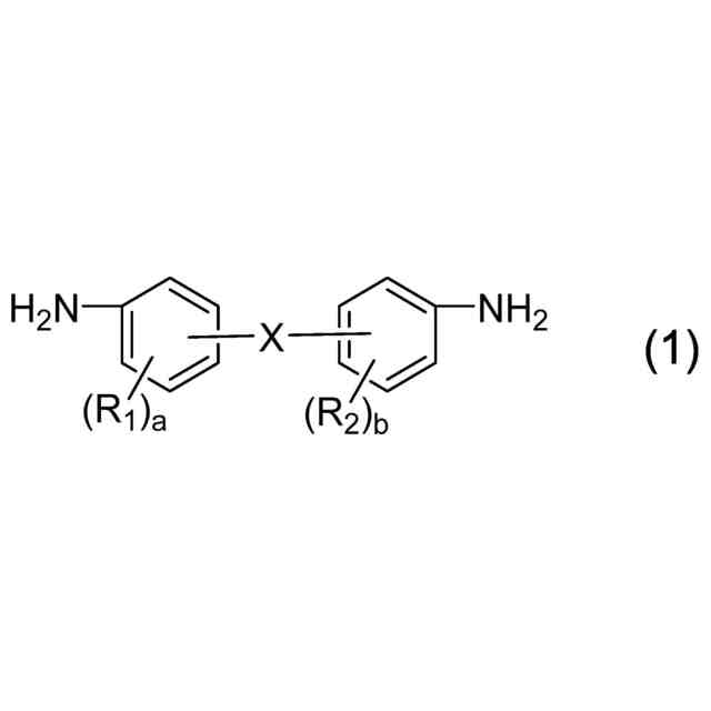
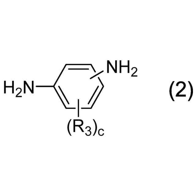
前記芳香族アミン化合物(C-1)が、下記式(1)で表される芳香族アミン化合物、又は下記式(2)で表される芳香族アミン化合物である、請求項5に記載の樹脂組成物。
JPEG
2025144540000021.jpg
24
170
(式(1)中、R
1
及びR
2
は、それぞれ独立に、炭素数1~20の1価の有機基又はハロゲン原子を示し、a及びbは、それぞれ独立に、0~4の整数であり、Xは2価の有機基又は単結合を示す。)
JPEG
2025144540000022.jpg
25
170
(式(2)中、R
3
は、それぞれ独立に、炭素数1~20の1価の有機基又はハロゲン原子を示し、cは1~4の整数である。)。
【請求項7】
前記反応性化合物が、分子内に1つのグリシジル基を有するエポキシ化合物である、請求項5に記載の樹脂組成物。
【請求項8】
硬化促進剤(E)を更に含む、請求項1に記載の樹脂組成物。
【請求項9】
110℃で60分間放置した後の粘度が、0.01Pa・s~4.50Pa・sである、請求項8に記載の樹脂組成物。
【請求項10】
請求項1~9のいずれか一項に記載の樹脂組成物を含む、硬化物。
(【請求項11】以降は省略されています)
発明の詳細な説明
【技術分野】
【0001】
本発明は、樹脂組成物、硬化物、封止材、接着剤、並びに半導体パッケージ及びその製造方法に関する。
続きを表示(約 1,100 文字)
【背景技術】
【0002】
エポキシ樹脂は、その硬化物が種々の性能を有することから、塗料、電気電子用絶縁材料、接着剤等の幅広い用途に利用されている。
【0003】
特許文献1には、特定の一般式で表されるエポキシ樹脂が記載されている。
【0004】
特許文献2には、(A)エポキシ樹脂、(B)芳香族アミン系硬化剤、(C)硬化促進剤、及び(D)安定化剤を含有してなり、上記(A)エポキシ樹脂中の全エポキシ基1当量に対する上記(B)芳香族アミン系硬化剤中の全アミノ基の当量の比が0.7~1.5であり、上記(C)硬化促進剤がアリールボレート塩又はアリールボラン錯体から選ばれる有機ホウ素化合物であり、上記(D)安定化剤がアリールホスフィンからなることを特徴とするエポキシ樹脂組成物が記載されている。
【0005】
特許文献3には、(A)溶剤可溶性ポリイミド樹脂、(B)アントラセン骨格を有するエポキシ樹脂、(C)硬化触媒、及び、(D)無機フィラーを含有してなり、これらの成分を有機溶媒に溶解又は分散などさせた樹脂組成物が記載されている。
【先行技術文献】
【特許文献】
【0006】
特開2015-199804号公報
特開2019-172738号公報
特開2018-90664号公報
【発明の概要】
【発明が解決しようとする課題】
【0007】
現在、一般的に使用されているエポキシ樹脂組成物としては、使用時にエポキシ樹脂と硬化剤とを混合する、いわゆる二液性エポキシ樹脂組成物がある。
【0008】
二液性エポキシ樹脂組成物は、室温で硬化し得る反面、エポキシ樹脂と硬化剤とを別々に保管し、必要に応じて両者を計量及び混合した後に使用する。そのため、保管及び取り扱いが煩雑である。その上、使用可能時間が限られているため、予め大量に混合しておくことができず、配合頻度が多くなり、効率の低下を免れない、という課題がある。
【0009】
こうした二液性エポキシ樹脂組成物の課題を解決する目的で、これまでいくつかの一液性エポキシ樹脂組成物が提案されてきている。例えば、エポキシ樹脂用硬化剤をエポキシ樹脂に配合したエポキシ樹脂組成物が挙げられる。
【0010】
ところで、昨今の電子デバイス機器に対する要求は多岐にわたる。そのような要求としては、例えば、小型化、高機能化、軽量化、高機能化、多機能化等が挙げられる。より具体的には、例えば、半導体のチップの実装技術において、電極パッド及びパッドピッチのファインピッチ化による一層の微細化、小型化及び高密度化が求められている。
(【0011】以降は省略されています)
この特許をJ-PlatPat(特許庁公式サイト)で参照する
関連特許
旭化成株式会社
成形体
今日
旭化成株式会社
成形体
今日
旭化成株式会社
検査装置
1日前
旭化成株式会社
ゴム組成物
28日前
旭化成株式会社
研磨パッド
1か月前
旭化成株式会社
青果物輸送方法
1か月前
旭化成株式会社
紫外線照射装置
8日前
旭化成株式会社
レーザダイオード
1か月前
旭化成株式会社
積層体及び光学部材
4日前
旭化成株式会社
光照射成形体の製造方法
今日
旭化成株式会社
再生ABS系樹脂組成物
1か月前
旭化成株式会社
ポリアセタール樹脂組成物
1か月前
旭化成株式会社
検査装置および検査システム
14日前
旭化成株式会社
樹脂製偏光ビームスプリッタ
1か月前
旭化成株式会社
ポリエチレン樹脂及びフィルム
今日
旭化成株式会社
硬化性組成物、及びその硬化物
28日前
旭化成株式会社
イソシアネート化合物の製造方法
1日前
旭化成株式会社
ホルムアルデヒドガスの製造方法
1か月前
旭化成株式会社
イソシアネート化合物の製造方法
1日前
旭化成株式会社
水素製造システム及び水素製造方法
4日前
旭化成株式会社
解析装置、システムおよびプログラム
7日前
旭化成株式会社
生体電極体及び生体情報計測デバイス
今日
旭化成株式会社
CNSLを用いたフェノールの製造方法
1か月前
旭化成株式会社
設計支援プログラムおよび設計支援装置
1か月前
旭化成株式会社
ポリアセタール樹脂組成物及びその成形品
4日前
旭化成株式会社
予測システム、プログラム、及び予測方法
28日前
旭化成株式会社
ポリアセタール樹脂組成物及び医療器具部品
4日前
旭化成株式会社
フィルム、成形体、及びフィルムの貼替方法
14日前
旭化成株式会社
セルロース微細繊維ウェットケークの梱包体
4日前
旭化成株式会社
ポリアミド樹脂組成物、成形体および摺動部材
1か月前
旭化成株式会社
半導体デバイスの製造方法及び半導体デバイス
1か月前
旭化成株式会社
ホルムアルデヒド及びポリアセタールの製造方法
7日前
旭化成株式会社
ガラスクロス、プリプレグ、及びプリント配線板
4日前
旭化成株式会社
水添共重合体、ペレット、樹脂組成物、及びタイヤ
今日
旭化成株式会社
推定装置、濾過処理システム、推定方法およびプログラム
14日前
旭化成株式会社
変性共役ジエン系重合体、成形体、ゴム組成物、及びタイヤ
4日前
続きを見る
他の特許を見る