TOP
|
特許
|
意匠
|
商標
特許ウォッチ
Twitter
他の特許を見る
10個以上の画像は省略されています。
公開番号
2025140300
公報種別
公開特許公報(A)
公開日
2025-09-29
出願番号
2024039615
出願日
2024-03-14
発明の名称
パルスバルブおよび塗布装置
出願人
株式会社リコー
代理人
個人
,
個人
主分類
F16K
21/00 20060101AFI20250919BHJP(機械要素または単位;機械または装置の効果的機能を生じ維持するための一般的手段)
要約
【課題】流体を所望の解像度で基材上に塗布することができるパルスバルブの提供を目的とする。
【解決手段】本発明の一態様に係るパルスバルブは、超臨界流体を含む流体が流れる流路を有するハウジング部と、前記流路を流れる前記流体を吐出するノズル孔を含むノズルプレートと、前記ハウジング部に挿入され、前記流路を開閉するニードルと、開口部を有し、前記ニードルと当接することによって、前記流路を開閉するオリフィスと、を含み、前記ノズル孔はラバル形状である。
【選択図】図5
特許請求の範囲
【請求項1】
超臨界流体を含む流体が流れる流路を有するハウジング部と、
前記流路を流れる前記流体を吐出するノズル孔を含むノズルプレートと、
前記ハウジング部に挿入され、前記流路を開閉するニードルと、
開口部を有し、前記ニードルと当接することによって、前記流路を開閉するオリフィスと、
を含み、
前記ノズル孔はラバル形状である、
パルスバルブ。
続きを表示(約 1,200 文字)
【請求項2】
前記ノズル孔の形状は、前記ノズル孔の中心軸に対して軸対称であるとともに、前記ノズル孔の中心軸を含む断面において変曲点を含み、スロートから前記変曲点までの第1領域では前記ノズル孔の中心軸側に向かって凸形状であり、前記変曲点から吐出口までの第2領域では前記ノズル孔の中心軸と反対側に向かって凸形状である、
吐出口の断面積および流入口における前記流体の圧力に基づいた形状である、
請求項1に記載のパルスバルブ。
【請求項3】
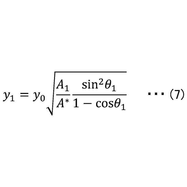
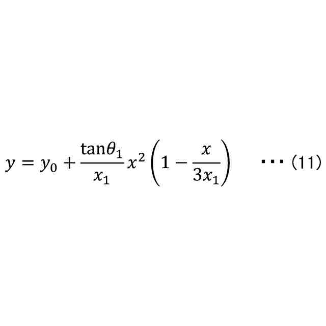
前記ノズル孔の形状は、前記ノズル孔の前記スロートからの距離をx、前記ノズル孔の中心軸からの垂直方向の距離をy、とすると、
前記第1領域では、以下の式(i)によって表され、
前記第2領域では以下の式(ii)および式(iii)によって表される、
請求項2に記載のパルスバルブ。
ただし、y
0
は前記スロートにおける前記ノズル孔の中心軸からの垂直方向の距離であり、θは、流線と前記ノズル孔の中心軸との角度であり、θ
1
は前記変曲点の接線と前記ノズル孔の中心軸との角度であり、座標(x
1
,y
1
)を前記変曲点におけるxy座標とし、r、αおよびlは変数である。
TIFF
2025140300000015.tif
60
169
【請求項4】
前記ハウジング部は前記ノズルプレートの凹部に嵌合して前記オリフィスに当接する凸部を含み、
前記ノズルプレートは前記オリフィスを嵌合する凹部を含む、
請求項1に記載のパルスバルブ。
【請求項5】
前記ノズルプレートは、前記ハウジング部に対して着脱自在である、
請求項1に記載のパルスバルブ。
【請求項6】
前記ニードルを前記パルスバルブの中心軸方向に進退移動させる駆動機構をさらに含み、
前記駆動機構は、
前記ニードルと接続し、スーパーインバー材から構成されるエクステンションバーと、
前記エクステンションバーを進退移動させるアクチュエータと、
を含む、
請求項1に記載のパルスバルブ。
【請求項7】
前記アクチュエータは、圧電アクチュエータである、
請求項6に記載のパルスバルブ。
【請求項8】
前記圧電アクチュエータは、リングアクチュエータである、
請求項7に記載のパルスバルブ。
【請求項9】
前記ハウジング部と、前記駆動機構と、の間に断熱フランジが配置される、
請求項6に記載のパルスバルブ。
【請求項10】
請求項1から請求項9のいずれか1項に記載のパルスバルブを備えた、
塗布装置。
発明の詳細な説明
【技術分野】
【0001】
本発明は、パルスバルブおよび塗布装置に関する。
続きを表示(約 1,600 文字)
【背景技術】
【0002】
塗料の乾燥過程においてVOC(Volatile Organic Compounds)を超臨界二酸化炭素等の超臨界流体に替える塗料の塗布技術が知られている。特許文献1には、超臨界流体を気体状に吐出させるパルスバルブが開示されている。
【発明の概要】
【発明が解決しようとする課題】
【0003】
超臨界流体を吐出させるパルスバルブは、高圧である超臨界流体を低圧部に噴射することによって、流体がノズル開口部から拡がって噴射されてしまう。そのため、流体を所望の解像度で基材上に塗布することが困難であるという課題がある。
【0004】
本発明は、上記の課題を解決するため、流体を所望の解像度で基材上に塗布することができるパルスバルブおよび塗布装置の提供を目的とする。
【課題を解決するための手段】
【0005】
本発明の一態様に係るパルスバルブは、超臨界流体を含む流体が流れる流路を有するハウジング部と、前記流路を流れる前記流体を吐出するノズル孔を含むノズルプレートと、前記ハウジング部に挿入され、前記流路を開閉するニードルと、開口部を有し、前記ニードルと当接することによって、前記流路を開閉するオリフィスと、を含み、前記ノズル孔はラバル形状である。
【発明の効果】
【0006】
本発明によれば、流体を所望の解像度で基材上に塗布することができる。
【図面の簡単な説明】
【0007】
本発明の一実施形態に係る塗布装置の全体構成を示す模式図である。
本発明の一実施形態に係るパルスバルブの構成を示す図である。
本発明の一実施形態に係るパルスバルブにおけるハウジング部の構成を示す断面図である。
本発明の一実施形態に係るパルスバルブのノズルプレートの構成を示す断面図である。
本発明の一実施形態に係るパルスバルブのノズル孔の形状を示す部分断面図である。
本発明の一実施形態に係るパルスバルブのノズル孔の形状の設計例を示す図である。
【発明を実施するための形態】
【0008】
以下、図面を参照して発明を実施するための形態について説明する。各図面において、同一構成部分には同一符号を付し、重複した説明を省略する場合がある。
【0009】
図1は、本発明の一実施形態に係る塗布装置1の全体構成を示す模式図である。塗布装置1は、超臨界二酸化炭素を生成する生成部30と、生成部30で生成された超臨界二酸化炭素と樹脂とを混合し、双方の混合物である流体を得るための高圧容器6と、を有する。また、塗布装置1は、高圧容器6から供給される流体である流体を基材12に吐出するパルスバルブ10と、高圧容器6とパルスバルブ10とを接続する配管41と、を有する。なお、超臨界二酸化炭素は、「超臨界流体」の一例である。超臨界流体の他の例として、超臨界水、超臨界窒素等が挙げられる。これらの超臨界流体は、環境負荷が少なく、安価なため好ましい。また、超臨界二酸化炭素と樹脂との混合物である流体を、単に「流体」と言う。
【0010】
超臨界二酸化炭素と混合される樹脂は、熱硬化性樹脂であってもよいし、熱可塑性樹脂であってもよい。熱硬化性樹脂の例として、フェノール樹脂、エポキシ樹脂、メラミン樹脂、ユリア樹脂、不飽和ポリエステル樹脂、シリコーン樹脂、ポリウレタン樹脂、熱硬化性ポリイミド樹脂、熱硬化性フラン樹脂等が挙げられる。熱可塑性樹脂の例として、ポリエステル樹脂、ポリエチレン樹脂、ポリプロピレン樹脂、アクリロニトリル・ブタジエン・スチレン樹脂、アクリル(PMMA)樹脂、ポリアミド樹脂等が挙げられる。
(【0011】以降は省略されています)
この特許をJ-PlatPat(特許庁公式サイト)で参照する
関連特許
株式会社リコー
移動体
13日前
株式会社リコー
表示装置、切替方法、プログラム
4日前
株式会社リコー
シート給送装置及び画像形成システム
今日
株式会社リコー
光源装置、画像投影装置および調整方法
4日前
株式会社リコー
通信装置、状態制御方法、及びプログラム
今日
株式会社リコー
ノード、データ共有方法、及びプログラム
11日前
株式会社リコー
画像形成装置、及び、プロセスカートリッジ
4日前
株式会社リコー
表示装置、表示方法、プログラム、表示システム
12日前
株式会社リコー
対話装置、対話システム、対話方法及びプログラム
11日前
株式会社リコー
情報処理装置、情報処理システムおよび情報処理方法
11日前
株式会社リコー
情報処理システム、情報処理装置および情報処理方法
11日前
株式会社リコー
電気機器、画像形成装置、制御方法、及びプログラム
7日前
株式会社リコー
情報処理装置、情報処理システム、情報処理方法及びプログラム
11日前
株式会社リコー
情報処理装置、情報処理システム、情報処理方法及びプログラム
13日前
株式会社リコー
情報処理装置、画面作成方法、プログラム、及び情報処理システム
7日前
株式会社リコー
情報処理装置、情報処理方法、プログラム、および情報処理システム
11日前
株式会社リコー
手書き入力装置、手書き入力システム、手書き入力方法、プログラム
11日前
株式会社リコー
操作拡張ユニットと画像形成装置
18日前
株式会社リコー
表示装置、表示方法、プログラム
4日前
株式会社リコー
画像処理装置、方法、およびプログラム
4日前
株式会社リコー
情報処理装置、通信方法、プログラム、システム
18日前
株式会社リコー
情報処理システム、情報処理方法およびプログラム
6日前
株式会社リコー
情報処理システム、サービス提供システム、設定方法
6日前
株式会社リコー
電子写真画像形成用キャリア、二成分現像剤、プロセスカートリッジ、画像形成装置、及び画像形成方法
12日前
株式会社リコー
通信端末、画像通信システム、表示方法、及びプログラム
4日前
株式会社リコー
情報処理システム、サーバ、情報処理方法、及びプログラム
4日前
株式会社リコー
情報処理装置、サービス提供システム、方法およびプログラム
7日前
株式会社リコー
電子機器、情報処理システム、情報処理方法およびプログラム
7日前
株式会社リコー
情報提供装置、情報処理システム、情報提供方法、及びプログラム
6日前
株式会社リコー
情報処理装置、プログラム、Webアプリケーション管理方法及び情報処理システム
4日前
個人
留め具
7日前
個人
鍋虫ねじ
1か月前
個人
ホース保持具
6か月前
個人
紛体用仕切弁
1か月前
個人
回転伝達機構
2か月前
個人
トーションバー
6か月前
続きを見る
他の特許を見る