TOP
|
特許
|
意匠
|
商標
特許ウォッチ
Twitter
他の特許を見る
10個以上の画像は省略されています。
公開番号
2025175842
公報種別
公開特許公報(A)
公開日
2025-12-03
出願番号
2024082139
出願日
2024-05-20
発明の名称
歪補償装置
出願人
住友電気工業株式会社
代理人
個人
,
個人
主分類
H03F
1/32 20060101AFI20251126BHJP(基本電子回路)
要約
【課題】実用性の高い歪補償装置を提供する。
【解決手段】歪補償装置は、増幅器が接続される信号出力端子と、信号入力端子と信号出力端子との間に設けられ、信号入力端子から入力される入力信号に対して、増幅器の出力に生じる第1歪を補償する第1歪補償部と、増幅器の出力に生じる第2歪であって第1歪よりも時間的な変化が早い第2歪の時定数をリアルタイムで導出する時定数導出部と、信号入力端子に第1歪補償部とは並列に接続され、時定数導出部によって導出される第2歪の時定数に基づいて、入力信号に対して、第2歪を補償する第2歪補償部と、第1歪補償部の出力端子に接続される第1入力端子と、第2歪補償部の出力端子に接続される第2入力端子と、信号出力端子に接続される出力端子とを有し、第1歪補償部で第1歪が補償された入力信号に、第2歪補償部で第2歪が補償された入力信号を加算して信号出力端子に出力する加算器とを含む。
【選択図】図1
特許請求の範囲
【請求項1】
信号入力端子と、
増幅器が接続される信号出力端子と、
前記信号入力端子と前記信号出力端子との間に設けられ、前記信号入力端子から入力される入力信号に対して、前記増幅器の出力に生じる第1歪を補償する第1歪補償部と、
前記増幅器の前記出力に生じる第2歪であって前記第1歪よりも時間的な変化が早い第2歪の時定数をリアルタイムで導出する時定数導出部と、
前記信号入力端子に前記第1歪補償部とは並列に接続され、前記時定数導出部によって導出される前記第2歪の時定数に基づいて、前記信号入力端子から入力される前記入力信号に対して、前記第2歪を補償する第2歪補償部と、
前記第1歪補償部の出力端子に接続される第1入力端子と、前記第2歪補償部の出力端子に接続される第2入力端子と、前記信号出力端子に接続される出力端子とを有し、前記第1歪補償部で前記第1歪が補償された前記入力信号に、前記第2歪補償部で前記第2歪が補償された前記入力信号を加算して前記信号出力端子に出力する加算器と
を含む、歪補償装置。
続きを表示(約 1,200 文字)
【請求項2】
前記時定数導出部は、前記増幅器の入力及び前記出力に基づいて、前記第2歪の時定数をリアルタイムで導出する、請求項1に記載の歪補償装置。
【請求項3】
前記時定数導出部は、前記増幅器の前記出力に生じる前記第1歪及び前記第2歪のモデルを用いて、前記増幅器の前記入力及び前記出力に基づいて、前記第2歪の時定数をリアルタイムで導出する、請求項2に記載の歪補償装置。
【請求項4】
前記モデルは、前記第1歪を表す項と、前記第2歪を表す項とを加算する数式で表され、
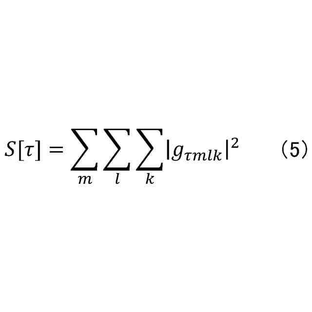
前記時定数導出部は、前記第2歪を表す項に含まれる所定係数の二乗が極大値を与える時定数を前記第2歪の時定数として導出し、
前記所定係数は、前記第2歪を表す項に含まれ、前記第2歪の時定数の大きさを表す係数である、請求項3に記載の歪補償装置。
【請求項5】
前記第1歪補償部、前記第2歪補償部、及び前記加算器を経由せずに前記信号入力端子及び前記信号出力端子の間を接続する迂回線路と、
前記第1歪補償部及び前記加算器を経由する第1経路と、前記迂回線路とのいずれかを前記信号入力端子及び前記信号出力端子の間に接続する第1切替部と、
前記信号入力端子及び前記加算器の間で、前記第1経路に並列に前記第2歪補償部を接続する第2経路の前記第1経路への接続及び切断を切り替える第2切替部と
をさらに含み、
前記時定数導出部は、前記第2歪の時定数をリアルタイムで導出する際に、
前記第1切替部が前記迂回線路を前記信号入力端子及び前記増幅器の間に接続し、かつ、前記第2切替部が前記第2経路を前記第1経路から切断している状態において、前記増幅器の入力端子への入力の第1時間周波数特性を導出し、
前記第1切替部が前記第1経路を前記信号入力端子及び前記増幅器の間に接続し、かつ、前記第2切替部が前記第2経路を前記第1経路から切断している状態において、前記増幅器の入力端子への入力の第2時間周波数特性を導出し、
前記第1時間周波数特性及び前記第2時間周波数特性の一致度に基づいて、前記第2歪の時定数を導出する、請求項2に記載の歪補償装置。
【請求項6】
前記時定数導出部は、ウェーブレット変換によって、前記第1時間周波数特性及び前記第2時間周波数特性を導出する、請求項5に記載の歪補償装置。
【請求項7】
前記時定数導出部は、ウェーブレットコヒーレンス解析によって、前記第1時間周波数特性及び前記第2時間周波数特性の一致度に基づいて、前記第2歪の時定数を導出する、請求項5に記載の歪補償装置。
【請求項8】
前記時定数導出部に入力される前記増幅器の前記出力のうちの第1所定周波数以上で前記第1所定周波数よりも高い第2所定周波数以下の帯域の成分を通過させる帯域制限フィルタをさらに含む、請求項1乃至7のいずれか1項に記載の歪補償装置。
発明の詳細な説明
【技術分野】
【0001】
本発明は、歪補償装置に関する。
続きを表示(約 1,900 文字)
【背景技術】
【0002】
従来より、デジタルプリディストーション(DPD)システムがある。DPDシステムは、第1サンプリング周波数に関連付けられたDPD入力信号を受信する入力部と、前記入力部に接続された第1信号経路を有し、第1プレディストーション信号を生成するとともに、第1の無限インパルス応答(IIR)フィルタを有する第1プレディストーション回路と、前記第1信号経路と並列に前記入力部に接続された第2信号経路を有し、第2のプレディストーション信号を生成するとともに、第2IIRフィルタを有する第2プレディストーション回路と、前記第1プレディストーション信号と前記第2プレディストーション信号を合成してDPD出力信号を生成する合成回路とを含む。前記DPD出力信号は、複数のメモリ効果を有する電力増幅器の入力に結合され、前記第1IIRフィルタの第1パラメータは、第1サンプリング周波数と、第1メモリ効果に関連する第1メモリ効果時定数とに基づいて決定される(例えば、特許文献1参照)。
【先行技術文献】
【特許文献】
【0003】
米国特許第9,866,269号明細書
【発明の概要】
【発明が解決しようとする課題】
【0004】
ところで、DPDシステムでは、第1メモリ効果(メモリ効果)に関連する第1メモリ効果時定数(時定数)を予め測定しておく必要がある。しかしながら、時定数は、電力増幅器(増幅器)毎に異なり、増幅器の温度によって変化する。このため、従来のDPDシステムでは、増幅器毎に様々な温度での時定数を測定する必要がある。このように増幅器毎に様々な温度での時定数を測定することは現実的ではないため、従来のDPDシステムは実用性が低い。
【0005】
そこで、実用性の高い歪補償装置を提供することを目的とする。
【課題を解決するための手段】
【0006】
本開示の歪補償装置は、信号入力端子と、増幅器が接続される信号出力端子と、前記信号入力端子と前記信号出力端子との間に設けられ、前記信号入力端子から入力される入力信号に対して、前記増幅器の出力に生じる第1歪を補償する第1歪補償部と、前記増幅器の前記出力に生じる第2歪であって前記第1歪よりも時間的な変化が早い第2歪の時定数をリアルタイムで導出する時定数導出部と、前記信号入力端子に前記第1歪補償部とは並列に接続され、前記時定数導出部によって導出される前記第2歪の時定数に基づいて、前記信号入力端子から入力される前記入力信号に対して、前記第2歪を補償する第2歪補償部と、前記第1歪補償部の出力端子に接続される第1入力端子と、前記第2歪補償部の出力端子に接続される第2入力端子と、前記信号出力端子に接続される出力端子とを有し、前記第1歪補償部で前記第1歪が補償された前記入力信号に、前記第2歪補償部で前記第2歪が補償された前記入力信号を加算して前記信号出力端子に出力する加算器とを含む。
【発明の効果】
【0007】
実用性の高い歪補償装置を提供することができる。
【図面の簡単な説明】
【0008】
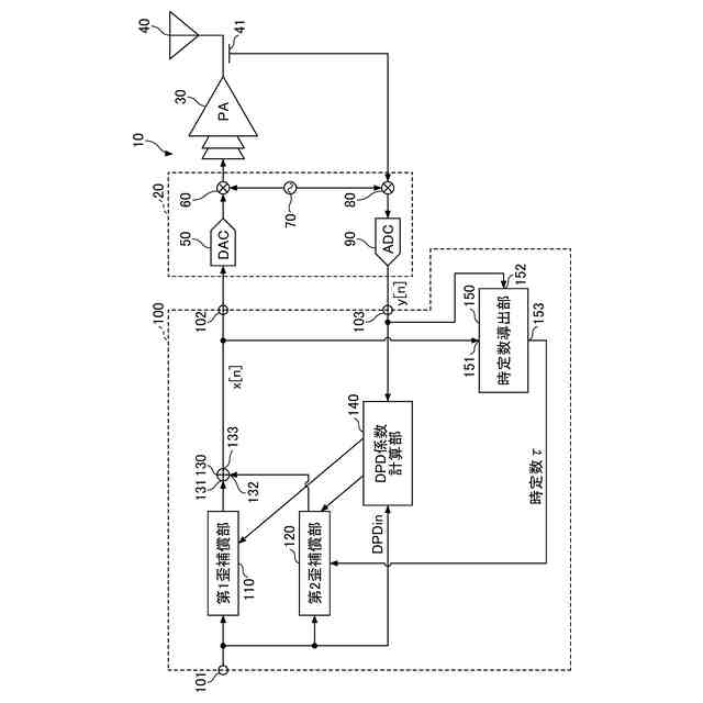
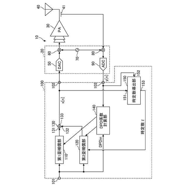
実施形態の歪補償装置100を含む無線通信機10の構成の一例を示す図である。
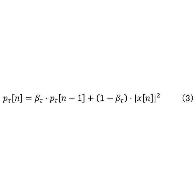
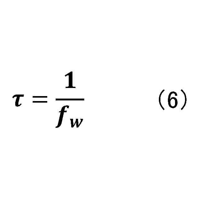
時定数導出部150が第2歪の時定数τを求める際の処理の一例を説明する図である。
歪補償装置100の時定数導出部150が実行する処理の一例を示すフローチャートである。
実施形態の第1変形例の歪補償装置100M1を含む無線通信機10の構成の一例を示す図である。
実施形態の第1変形例の歪補償装置100M1を含む無線通信機10の構成の一例を示す図である。
実施形態の第1変形例の歪補償装置100M1を含む無線通信機10の構成の一例を示す図である。
実施形態の第1変形例の歪補償装置100M1の時定数導出部150が実行する処理の一例を示すフローチャートである。
第1時間周波数特性と第2時間周波数特性の一致度の算出結果の一例を示す図である。
実施形態の第2変形例の歪補償装置100M2を含む無線通信機10を含む無線通信機10の構成の一例を示す図である。
LTE(Long Term Evolution)仕様で規定されたE-TM2a規格の送信テスト信号の一例を示す図である。
【発明を実施するための形態】
【0009】
実施するための形態について、以下に説明する。
【0010】
[本開示の実施形態の説明]
(【0011】以降は省略されています)
この特許をJ-PlatPat(特許庁公式サイト)で参照する
関連特許
住友電気工業株式会社
半導体装置
今日
住友電気工業株式会社
歪補償装置
1日前
住友電気工業株式会社
炭化珪素半導体装置
6日前
住友電気工業株式会社
光分岐ケーブルセット
1日前
住友電気工業株式会社
光コネクタおよび接続構造
6日前
住友電気工業株式会社
窒化物半導体基板の製造方法
1日前
住友電気工業株式会社
学習装置、学習方法及び学習プログラム
1日前
住友電気工業株式会社
タンク、およびレドックスフロー電池システム
7日前
住友電気工業株式会社
半導体装置の製造方法および半導体装置の検査方法
6日前
住友電気工業株式会社
半導体装置の製造方法および半導体装置の検査方法
6日前
住友電気工業株式会社
半導体装置の製造方法および半導体装置の検査方法
6日前
住友電気工業株式会社
窒化物半導体装置および窒化物半導体装置の製造方法
6日前
住友電気工業株式会社
画像処理装置、画像処理方法及び画像処理プログラム
14日前
住友電気工業株式会社
電力変換システム、制御方法、コンピュータプログラム
14日前
住友電気工業株式会社
宅側装置、光通信システム、及びサブキャリアの選択方法
7日前
住友電気工業株式会社
回転電機
1日前
住友電気工業株式会社
プリント配線板用露光装置およびプリント配線板の製造方法
6日前
住友電気工業株式会社
連結治具、光ケーブル連結システム、および、光ケーブルの牽引方法
1日前
株式会社オートネットワーク技術研究所
端子金具
6日前
株式会社オートネットワーク技術研究所
端子金具
6日前
株式会社オートネットワーク技術研究所
端子金具
6日前
住友電気工業株式会社
マルチコア光ファイバ
14日前
株式会社オートネットワーク技術研究所
コネクタ
6日前
株式会社オートネットワーク技術研究所
端子金具
6日前
株式会社オートネットワーク技術研究所
電気接続箱
8日前
住友電気工業株式会社
導電部材、燃料電池および電解装置
8日前
株式会社オートネットワーク技術研究所
モータ及びモータの製造方法
今日
住友電気工業株式会社
中継装置、中継方法および中継プログラム
1日前
株式会社オートネットワーク技術研究所
ヒューズモジュール、及びヒューズシステム
6日前
株式会社オートネットワーク技術研究所
ヒューズモジュール、及びヒューズシステム
6日前
住友電気工業株式会社
情報提供装置、情報提供方法、及びコンピュータプログラム
8日前
株式会社オートネットワーク技術研究所
コネクタ
14日前
株式会社オートネットワーク技術研究所
オプション機器組込内装部材、オプション機器及び内装部材
14日前
株式会社オートネットワーク技術研究所
制御装置、巻線切替システム、制御方法、及び制御プログラム
今日
株式会社オートネットワーク技術研究所
コネクタ及びコネクタ構成体
8日前
株式会社オートネットワーク技術研究所
車載システム、車載装置、データ復元プログラムおよびデータ分散プログラム
1日前
続きを見る
他の特許を見る