TOP
|
特許
|
意匠
|
商標
特許ウォッチ
Twitter
他の特許を見る
10個以上の画像は省略されています。
公開番号
2025163074
公報種別
公開特許公報(A)
公開日
2025-10-28
出願番号
2025123979,2021174806
出願日
2025-07-24,2021-10-26
発明の名称
化合物及び樹脂
出願人
住友化学株式会社
代理人
弁理士法人新樹グローバル・アイピー
主分類
C07C
69/54 20060101AFI20251021BHJP(有機化学)
要約
【課題】良好なラインエッジラフネス(LER)を有するレジストパターンを製造することができる化合物及び樹脂を提供することを目的とする。
【解決手段】式(I)で表される化合物及び樹脂。
<com:Image com:imageContentCategory="Drawing"> <com:ImageFormatCategory>JPEG</com:ImageFormatCategory> <com:FileName>2025163074000174.jpg</com:FileName> <com:HeightMeasure com:measureUnitCode="Mm">40</com:HeightMeasure> <com:WidthMeasure com:measureUnitCode="Mm">91</com:WidthMeasure> </com:Image>
[R
0
は、ハロゲン原子を有していてもよいアルキル基、H等を表す。X
1
は、エーテル結合、エステル結合及び炭酸エステル結合から選択される結合種又は単結合、エーテル結合、エステル結合及び炭酸エステル結合から選択される結合種と置換基を有してもよいアリーレン基とが組み合わされた連結基を表す。L
1
は、単結合又は置換/非置換の炭化水素基等を表す。Arは、置換/非置換の芳香族炭化水素基を表す。X
2
はO又はSを表す。R
1
はF、Br、I又はハロアルキル基を表す。R
2
は、ハロゲン原子、ヒドロキシ基、ハロアルキル基等を表す。m1は1~6の整数を表す。m2は0~4の整数を表す。]
【選択図】なし
特許請求の範囲
【請求項1】
式(I)で表される化合物。
JPEG
2025163074000172.jpg
40
91
[式(I)中、
R
0
は、ハロゲン原子を有していてもよい炭素数1~6のアルキル基、水素原子又はハロゲン原子を表す。
X
1
は、エーテル結合、エステル結合及び炭酸エステル結合から構成される群から選択される結合種又は単結合、エーテル結合、エステル結合及び炭酸エステル結合から構成される群から選択される少なくとも1つもしくは2つの結合種と置換基を有していてもよいアリーレン基とが組み合わされた連結基を表す。
L
1
は、単結合又は置換基を有してもよい炭素数1~28の炭化水素基を表し、該炭化水素基に含まれる-CH
2
-は、-O-、-S-、-SO
2
-又は-CO-に置き換わっていてもよい。
Arは、置換基を有してもよい炭素数6~18の芳香族炭化水素基を表す。
X
2
は、酸素原子又は硫黄原子を表す。
R
1
は、フッ素原子、臭素原子、ヨウ素原子又は炭素数1~12のハロアルキル基を表す。
R
2
は、ハロゲン原子、ヒドロキシ基、炭素数1~12のハロアルキル基又は炭素数1~12のアルキル基を表し、該ハロアルキル基及び該アルキル基に含まれる-CH
2
-は、-O-又は-CO-で置き換わっていてもよい。
m1は、1~6のいずれかの整数を表し、m1が2以上のとき、複数の括弧内の基は互いに同一であっても異なってもよい。
m2は、0~4のいずれかの整数を表し、m2が2以上のとき、複数のR
2
は互いに同一であっても異なってもよい。]
続きを表示(約 1,000 文字)
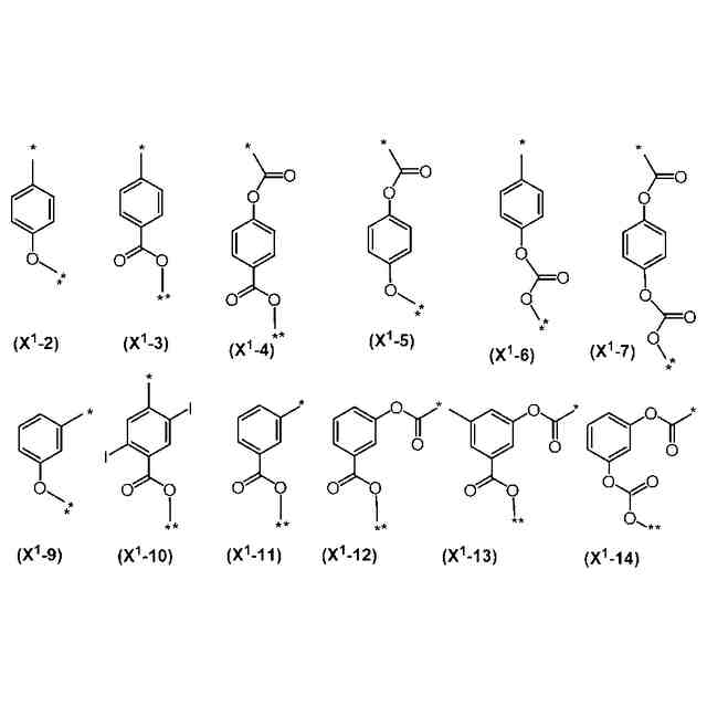
【請求項2】
X
1
が、式(X
1
-1)~式(X
1
-7)のいずれかで表される基である請求項1に記載の化合物。
JPEG
2025163074000173.jpg
45
141
[式(X
1
-1)~式(X
1
-7)中、
*、**は結合部位を表し、**はL
1
との結合部位を表す。]
【請求項3】
X
1
が、式(X
1
-1)、式(X
1
-3)又は式(X
1
-4)で表される基である請求項2に記載の化合物。
【請求項4】
L
1
が、単結合又は*-L
2
-CO-O-(L
2
は、炭素数3~18の環状炭化水素基又は炭素数3~18の環状炭化水素基と炭素数1~4のアルカンジイル基とを組み合わせた基を表し、該環状炭化水素基は、置換基を有していてもよく、該環状炭化水素基に含まれる-CH
2
-は、-O-、-S-、-CO-又は-SO
2
-に置き換わっていてもよく、該アルカンジイル基に含まれる-CH
2
-は、-O-又は-CO-に置き換わっていてもよい。*は、X
1
との結合部位を表す。)である請求項1~3のいずれかに記載の化合物。
【請求項5】
Arが、置換基を有してもよい炭素数6~10の芳香族炭化水素基である請求項1~4のいずれかに記載の化合物。
【請求項6】
X
2
が、酸素原子である請求項1~5のいずれかに記載の化合物。
【請求項7】
R
1
が、ヨウ素原子、フッ素原子又は炭素数1~3のペルフルオロアルキル基である請求項1~6のいずれかに記載の化合物。
【請求項8】
R
2
が、ヨウ素原子、フッ素原子、ヒドロキシ基、炭素数1~3のペルフルオロアルキル基又は炭素数1~3のアルコキシ基である請求項1~7のいずれかに記載の化合物。
【請求項9】
請求項1~8のいずれかに記載の化合物に由来する構造単位を含む樹脂。
発明の詳細な説明
【技術分野】
【0001】
本発明は、化合物及び該化合物に由来する構造単位を含む樹脂等に関する。
続きを表示(約 3,000 文字)
【背景技術】
【0002】
特許文献1には、下記化合物に由来する構造単位を含む樹脂を含有するレジスト組成物
が記載されている。
TIFF
2025163074000001.tif
28
19
【0003】
特許文献2には、下記化合物に由来する構造単位を含む樹脂を含有するレジスト組成物
が記載されている。
TIFF
2025163074000002.tif
28
19
【先行技術文献】
【特許文献】
【0004】
特開2018-095851号公報
特開2015-161823号公報
【発明の概要】
【発明が解決しようとする課題】
【0005】
本発明は、上記の化合物に由来する構造単位を含む樹脂を含有するレジスト組成物によ
って形成されたレジストパターンよりも、ラインエッジラフネス(LER)が良好なレジ
ストパターンを形成する化合物を提供する。
【課題を解決するための手段】
【0006】
本発明は、以下の発明を含む。
〔1〕式(I)で表される化合物に由来する構造単位を含む樹脂と、酸発生剤とを含有
するレジスト組成物。
TIFF
2025163074000003.tif
40
91
[式(I)中、
R
0
は、ハロゲン原子を有していてもよい炭素数1~6のアルキル基、水素原子又はハ
ロゲン原子を表す。
X
1
は、エーテル結合、エステル結合及び炭酸エステル結合から構成される群から選択
される結合種又は単結合、エーテル結合、エステル結合及び炭酸エステル結合から構成さ
れる群から選択される少なくとも1つもしくは2つの結合種と置換基を有していてもよい
アリーレン基とが組み合わされた連結基を表す。
L
1
は、単結合又は置換基を有してもよい炭素数1~28の炭化水素基を表し、該炭化
水素基に含まれる-CH
2
-は、-O-、-S-、-SO
2
-又は-CO-に置き換わっ
ていてもよい。
Arは、置換基を有してもよい炭素数6~18の芳香族炭化水素基を表す。
X
2
は、酸素原子又は硫黄原子を表す。
R
1
は、ハロゲン原子又は炭素数1~12のハロアルキル基を表す。
R
2
は、ハロゲン原子、ヒドロキシ基、炭素数1~12のハロアルキル基又は炭素数1
~12のアルキル基を表し、該ハロアルキル基及び該アルキル基に含まれる-CH
2
-は
、-O-又は-CO-で置き換わっていてもよい。
m1は、1~6のいずれかの整数を表し、m1が2以上のとき、複数の括弧内の基は互
いに同一であっても異なってもよい。
m2は、0~4のいずれかの整数を表し、m2が2以上のとき、複数のR
2
は互いに同
一であっても異なってもよい。]
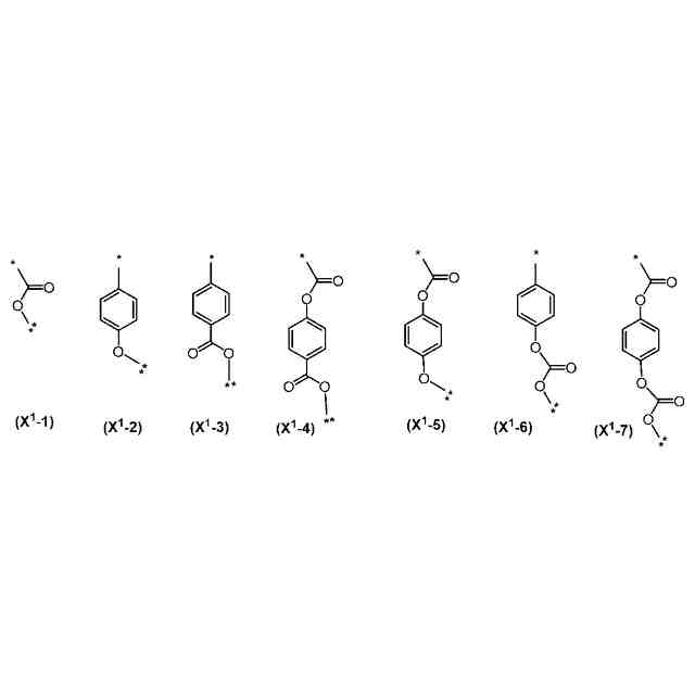
〔2〕X
1
が、式(X
1
-1)~式(X
1
-7)のいずれかで表される基である〔1〕
に記載のレジスト組成物。
TIFF
2025163074000004.tif
45
141
[式(X
1
-1)~式(X
1
-7)中、
*、**は結合部位を表し、**はL
1
との結合部位を表す。]
〔3〕X
1
が、式(X
1
-1)、式(X
1
-3)又は式(X
1
-4)で表される基であ
る〔2〕に記載のレジスト組成物。
【発明の効果】
【0007】
本発明の化合物に由来する構造単位を含む樹脂を含有するレジスト組成物を用いること
により、ラインエッジラフネス(LER)が良好なレジストパターンを作製することがで
きる。
【発明を実施するための形態】
【0008】
本明細書において、「(メタ)アクリル系モノマー」とは、「アクリル系モノマー及び
メタクリル系モノマーの少なくとも一種」を意味する。「(メタ)アクリレート」及び「
(メタ)アクリル酸」等の表記も、同様の意味を表す。本明細書中に記載する基において
、直鎖構造と分岐構造の両方をとり得るものについては、そのいずれでもよい。炭化水素
基等に含まれる-CH
2
-が-O-、-S-、-CO-又は-SO
2
-で置き換わる場合
、各基において同様の例を適用するものとする。「組み合わせた基」とは、例示した基を
2種以上結合させた基を意味し、それら基の価数は結合形態によって適宜変更してもよい
。「由来する」又は「誘導される」とは、その分子中に含まれる重合性C=C結合が重合
により単結合(-C-C-基)となることを指す。立体異性体が存在する場合は、全ての
立体異性体を含む。
【0009】
〔式(I)で表される化合物〕
本発明の化合物は、式(I)で表される化合物(以下「化合物(I)」という場合があ
る)に関する。
TIFF
2025163074000007.tif
40
91
[式(I)中、全ての符号は、それぞれ前記と同じ意味を表す。]
【0010】
式(I)において、R
0
のアルキル基としては、メチル基、エチル基、n-プロピル基
、イソプロピル基、n-ブチル基、sec-ブチル基、tert-ブチル基、n-ペンチ
ル基及びn-ヘキシル基等が挙げられ、好ましくは、炭素数1~4のアルキル基であり、
より好ましくは、メチル基又はエチル基である。
R
0
のハロゲン原子としては、フッ素原子、塩素原子、臭素原子及びヨウ素原子が挙げ
られる。
R
0
のハロゲン原子を有するアルキル基としては、トリフルオロメチル基、ペルフルオ
ロエチル基、ペルフルオロプロピル基、ペルフルオロイソプロピル基、ペルフルオロブチ
ル基、ペルフルオロsec-ブチル基、ペルフルオロtert-ブチル基、ペルフルオロ
ペンチル基、ペルフルオロヘキシル基、ペルクロロメチル基、ペルブロモメチル基及びペ
ルヨードメチル基等が挙げられる。
R
0
は、水素原子又は炭素数1~4のアルキル基が好ましく、水素原子、メチル基又は
エチル基がより好ましく、水素原子又はメチル基であることがさらに好ましい。
(【0011】以降は省略されています)
この特許をJ-PlatPat(特許庁公式サイト)で参照する
関連特許
住友化学株式会社
熱分解装置
14日前
住友化学株式会社
熱分解装置
今日
住友化学株式会社
電気化学センサ
27日前
住友化学株式会社
組成物及び発光素子
12日前
住友化学株式会社
プロピレンの製造方法
22日前
住友化学株式会社
ポリオレフィン樹脂組成物
14日前
住友化学株式会社
無機アルミニウム化合物粉末
27日前
住友化学株式会社
組成物、硬化物および成形体
6日前
住友化学株式会社
組成物、硬化物、および成形体
6日前
住友化学株式会社
複合成形体、及びその製造方法
19日前
住友化学株式会社
位相差層積層体及び光学積層体
19日前
住友化学株式会社
エチレンおよびプロピレンの製造方法
22日前
住友化学株式会社
非水電解液二次電池用積層セパレータ
19日前
住友化学株式会社
組成物、発光素子、高分子化合物及び低分子化合物
12日前
住友化学株式会社
組成物、有機材料組成物、及び有機材料の安定化方法
22日前
住友化学株式会社
偏光板
27日前
住友化学株式会社
ポリオレフィン系樹脂組成物、フィルム、および、包装袋
19日前
住友化学株式会社
レジスト組成物及びレジストパターンの製造方法並びに樹脂
6日前
住友化学株式会社
レジスト組成物及びレジストパターンの製造方法並びに化合物
6日前
住友化学株式会社
レジスト組成物及びレジストパターンの製造方法並びに化合物
6日前
住友化学株式会社
酸発生剤、塩、レジスト組成物及びレジストパターンの製造方法
14日前
住友化学株式会社
酸発生剤、塩、レジスト組成物及びレジストパターンの製造方法
14日前
住友化学株式会社
組成物及びその硬化物、成形物、表示装置、並びに固体撮像素子
19日前
住友化学株式会社
化合物及び樹脂
14日前
住友化学株式会社
組成物及びその硬化物、成形物、表示装置、並びに固体撮像素子
19日前
住友化学株式会社
化合物及び樹脂
8日前
住友化学株式会社
メタクリル酸メチルの製造方法、組成物、重合体、硬化物及び成形体
6日前
住友化学株式会社
組成物、重合体、硬化物、成形体及びポリメタクリル酸メチルの製造方法
6日前
住友化学株式会社
組成物、重合体、硬化物、成形体及びポリメタクリル酸メチルの製造方法
今日
住友化学株式会社
組成物、重合体、硬化物、成形体及びポリメタクリル酸メチルの製造方法
6日前
住友化学株式会社
組成物、重合体、硬化物、成形体及びポリメタクリル酸メチルの製造方法
今日
住友化学株式会社
組成物、重合体、硬化物、成形体及びポリメタクリル酸メチルの製造方法
6日前
住友化学株式会社
組成物、重合体、硬化物、成形体及びポリメタクリル酸メチルの製造方法
今日
住友化学株式会社
フェノール系化合物、安定剤、有機材料組成物、及び有機材料の安定化方法
22日前
住友化学株式会社
スパッタリングターゲット
19日前
住友化学株式会社
光学積層体および画像表示装置
19日前
続きを見る
他の特許を見る