TOP
|
特許
|
意匠
|
商標
特許ウォッチ
Twitter
他の特許を見る
10個以上の画像は省略されています。
公開番号
2025169323
公報種別
公開特許公報(A)
公開日
2025-11-12
出願番号
2025134325,2020197071
出願日
2025-08-12,2020-11-27
発明の名称
化合物及び樹脂
出願人
住友化学株式会社
代理人
弁理士法人新樹グローバル・アイピー
主分類
C08F
12/22 20060101AFI20251105BHJP(有機高分子化合物;その製造または化学的加工;それに基づく組成物)
要約
【課題】良好なラインエッジラフネス(LER)でレジストパターンを製造することができるレジスト組成物を組成するための化合物及び樹脂を提供することを目的とする。
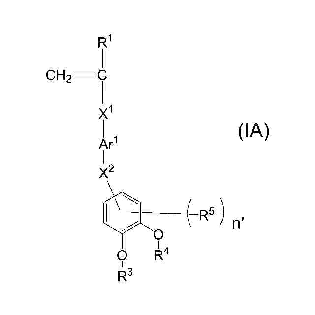
【解決手段】式(IA)で表される化合物。
<com:Image com:imageContentCategory="Drawing"> <com:ImageFormatCategory>JPEG</com:ImageFormatCategory> <com:FileName>2025169323000197.jpg</com:FileName> <com:HeightMeasure com:measureUnitCode="Mm">67</com:HeightMeasure> <com:WidthMeasure com:measureUnitCode="Mm">60</com:WidthMeasure> </com:Image>
[Ar
1
は芳香族炭化水素基;R
5
はハロゲン原子、フッ化アルキル基又はアルキル基]
【選択図】なし
特許請求の範囲
【請求項1】
式(IA)で表される化合物。
JPEG
2025169323000196.jpg
67
60
[式(IA)中、
R
1
は、水素原子又はメチル基を表す。
X
1
は、単結合又は-CO-O-*(*は、Ar
1
との結合位を表す。)を表す。
X
2
は、-CO-O-*、-O-*、-O-CO-*、-O-CO-(CH
2
)
mm
-O-*又は-O-(CH
2
)
nn
-CO-O-*(*は、ベンゼン環との結合位を表す。)を表す。
mm及びnnは、0又は1を表す。
Ar
1
は、置換基を有していてもよい炭素数6~36の芳香族炭化水素基を表す。
R
3
及びR
4
は、それぞれ独立に、水素原子又は酸不安定基を表すか、R
3
とR
4
が一緒になってアセタール環構造を有する基を形成していてもよい。
R
5
は、ハロゲン原子、炭素数1~6のフッ化アルキル基又は炭素数1~12のアルキル基を表し、該アルキル基及びフッ化アルキル基に含まれる-CH
2
-は、-O-又は-CO-で置き換わっていてもよい。
n’は、0~3のいずれかの整数を表し、n’が2以上のとき、複数のR
5
は互いに同一であっても異なってもよい。]
続きを表示(約 340 文字)
【請求項2】
X
1
が、単結合である請求項1に記載の化合物。
【請求項3】
X
2
が、-CO-O-*又は-O-*(*は、ベンゼン環との結合位を表す。)である請求項1又は2に記載の化合物。
【請求項4】
n’が、0である請求項1~3のいずれかに記載の化合物。
【請求項5】
R
3
及びR
4
が水素原子であるか、又はR
3
とR
4
が一緒になってアセタール環構造を有する基を形成している請求項1~4のいずれかに記載の化合物。
【請求項6】
請求項1~5のいずれかに記載の化合物に由来する構造単位を含む樹脂。
発明の詳細な説明
【技術分野】
【0001】
本発明は、化合物及び樹脂に関する。
続きを表示(約 4,700 文字)
【背景技術】
【0002】
特許文献1には、下記構造単位を含む樹脂が記載されている。
TIFF
2025169323000001.tif
48
98
【先行技術文献】
【特許文献】
【0003】
特開平10-186642号公報
【発明の概要】
【発明が解決しようとする課題】
【0004】
本発明は、上記樹脂を含有するレジスト組成物によって形成されたレジストパターンよ
りも、ラインエッジラフネス(LER)が良好なレジストパターンを形成する樹脂を提供
することを課題とする。
【課題を解決するための手段】
【0005】
本発明は、以下の発明を含む。
[1]式(I)で表される構造単位と、式(a1-1)で表される構造単位及び式(a
1-2)で表される構造単位からなる群より選ばれる少なくとも1種の構造単位とを含む
樹脂。
TIFF
2025169323000002.tif
52
72
[式(I)中、
R
1
は、水素原子又はメチル基を表す。
X
1
は、単結合又は-CO-O-*(*は、Ar
1
との結合位を表す。)を表す。
X
2
は、-CO-O-*、-O-*、-O-CO-*、-O-CO-(CH
2
)
mm
-
O-*又は-O-(CH
2
)
nn
-CO-O-*(*は、Ar
2
との結合位を表す。)を
表す。
mm及びnnは、0又は1を表す。
Ar
1
及びAr
2
は、それぞれ独立に、置換基を有していてもよい炭素数6~36の芳
香族炭化水素基を表す。
R
2
は、それぞれ独立に、水素原子又は酸不安定基を表すか、R
2
が2以上存在すると
き、2つのR
2
が一緒になってアセタール環構造を有する基を形成していてもよい。
nは、1~3のいずれかの整数を表す。nが2以上のいずれかの整数である場合、複数
のR
2
は互いに同一であっても異なってもよい。]
TIFF
2025169323000003.tif
46
102
[式(a1-1)及び式(a1-2)中、
L
a1
及びL
a2
は、それぞれ独立に、-O-又は*-O-(CH
2
)
k1
-CO-O
-を表し、k1は1~7のいずれかの整数を表し、*は-CO-との結合部位を表す。
R
a4
及びR
a5
は、それぞれ独立に、水素原子又はメチル基を表す。
R
a6
及びR
a7
は、それぞれ独立に、炭素数1~8のアルキル基、炭素数2~8のア
ルケニル基、炭素数3~18の脂環式炭化水素基、炭素数6~18の芳香族炭化水素基又
はこれらを組合せた基を表す。
m1は、0~14のいずれかの整数を表す。
n1は、0~10のいずれかの整数を表す。
【発明の効果】
【0006】
本発明の構造単位を含む樹脂を使用したレジスト組成物を用いることにより、良好なラ
インエッジラフネス(LER)でレジストパターンを製造することができる。
【発明を実施するための形態】
【0007】
本明細書において、「(メタ)アクリル系モノマー」とは、「CH
2
=CH-CO-」
の構造を有するモノマー及び「CH
2
=C(CH
3
)-CO-」の構造を有するモノマーか
らなる群より選ばれる少なくとも1種を意味する。同様に「(メタ)アクリレート」及び
「(メタ)アクリル酸」とは、それぞれ「アクリレート及びメタクリレートからなる群よ
り選ばれる少なくとも1種」及び「アクリル酸及びメタクリル酸からなる群より選ばれる
少なくとも1種」を意味する。「CH
2
=C(CH
3
)-CO-」又は「CH
2
=CH-C
O-」を有する構造単位が例示されている場合には、双方の基を有する構造単位が同様に
例示されているものとする。また、本明細書中に記載する基において、直鎖構造と分岐構
造の両方をとり得るものについては、そのいずれでもよい。「組み合わせた基」とは、例
示した基を2種以上結合させた基を意味し、それら基の価数は結合形態によって適宜変更
してもよい。「由来する」又は「誘導される」とは、その分子中に含まれる重合性C=C
結合が重合により-C-C-基となることを指す。立体異性体が存在する場合は、全ての
立体異性体を含む。
本明細書において、「レジスト組成物の固形分」とは、レジスト組成物の総量から、後
述する溶剤(E)を除いた成分の合計を意味する。
【0008】
〔樹脂〕
本発明の樹脂は、式(I)で表される構造単位(以下、構造単位(I)という場合があ
る。)と、式(a1-1)で表される構造単位(以下、構造単位(a1-1)という場合
がある。)及び式(a1-2)で表される構造単位(以下、構造単位(a1-2)という
場合がある。)からなる群より選ばれる少なくとも1種の構造単位とを含む樹脂(以下「
樹脂(A)」という場合がある。)である。
【0009】
〈構造単位(I)〉
構造単位(I)は、以下の式で表される。
TIFF
2025169323000009.tif
51
72
[式(I)中、
R
1
は、水素原子又はメチル基を表す。
X
1
は、単結合又は-CO-O-*(*は、Ar
1
との結合位を表す。)を表す。
X
2
は、-CO-O-*、-O-*、-O-CO-*、-O-CO-(CH
2
)
mm
-
O-*又は-O-(CH
2
)
nn
-CO-O-*(*は、Ar
2
との結合位を表す。)を
表す。
mm及びnnは、0又は1を表す。
Ar
1
及びAr
2
は、それぞれ独立に、置換基を有していてもよい炭素数6~36の芳
香族炭化水素基を表す。
R
2
は、それぞれ独立に、水素原子又は酸不安定基を表すか、R
2
が2以上存在すると
き、2つのR
2
が一緒になってアセタール環構造を有する基を形成していてもよい。
nは、1~3のいずれかの整数を表す。nが2以上のいずれかの整数である場合、複数
のR
2
は互いに同一であっても異なってもよい。]
【0010】
Ar
1
及びAr
2
の2価の芳香族炭化水素基としては、ベンゼンジイル基、ナフタレン
ジイル基、アントラセンジイル基等が挙げられる。
Ar
2
の3価又は4価の芳香族炭化水素基としては、ベンゼントリイル基、ベンゼンテ
トライル基、ナフタレントリイル基、ナフタレンテトライル基、アントラセントリイル基
、アントラセンテトライル基等が挙げられる。
芳香族炭化水素基の炭素数は、好ましくは6~24であり、より好ましくは6~18で
あり、さらに好ましくは6~14であり、より一層好ましくは6~10であり、さらに一
層好ましくは6である。
芳香族炭化水素基の置換基としては、ヒドロキシ基、ハロゲン原子、シアノ基、炭素数
1~16のアルキル基(該アルキル基に含まれる-CH
2
-は、-O-又は-CO-で置
き換わっていてもよい。)、炭素数1~12のフッ化アルキル基(該フッ化アルキル基に
含まれる-CH
2
-は、-O-又は-CO-で置き換わっていてもよい。)、炭素数3~
12の脂環式炭化水素基、炭素数6~10の芳香族炭化水素基又はこれらを組み合わせた
基などが挙げられる。
ハロゲン原子としては、フッ素原子、塩素原子、臭素原子及びヨウ素原子が挙げられる
。
炭素数1~16のアルキル基としては、メチル基、エチル基、プロピル基、ブチル基、
ペンチル基、ヘキシル基、ヘプチル基、オクチル基、ノニル基、デシル基、ウンデシル基
、ドデシル基等が挙げられる。アルキル基の炭素数は、好ましくは1~12であり、より
好ましくは1~9であり、さらに好ましくは1~6であり、さらにより好ましくは1~4
である。
アルキル基に含まれる-CH
2
-は、-O-又は-CO-に置き換わっている場合、置
き換わる前の炭素数を該アルキル基の総炭素数とする。アルキル基に含まれる-CH
2
-
が、-O-又は-CO-に置き換わった基としては、ヒドロキシ基(メチル基中に含まれ
る-CH
2
-が、-O-に置き換わった基)、カルボキシ基(エチル基中に含まれる-C
H
2
-CH
2
-が、-O-CO-に置き換わった基)、アルコキシ基(アルキル基中に含ま
れる任意の位置の-CH
2
-が、-O-に置き換わった基)、アルコキシカルボニル基(
アルキル基中に含まれる任意の位置の-CH
2
-CH
2
-が、-O-CO-に置き換わった
基)、アルキルカルボニル基(アルキル基中に含まれる任意の位置の-CH
2
-が、-C
O-に置き換わった基)、アルキルカルボニルオキシ基(アルキル基中に含まれる任意の
位置の-CH
2
-CH
2
-が、-CO-O-に置き換わった基)等が挙げられる。
アルコキシ基としては、炭素数1~15のアルコキシ基が挙げられ、例えば、メトキシ
基、エトキシ基、プロポキシ基、ブトキシ基、ペンチルオキシ基、ヘキシルオキシ基、オ
クチルオキシ基、2-エチルヘキシルオキシ基、ノニルオキシ基、デシルオキシ基、ウン
(【0011】以降は省略されています)
この特許をJ-PlatPat(特許庁公式サイト)で参照する
関連特許
住友化学株式会社
熱分解装置
9日前
住友化学株式会社
熱分解装置
23日前
住友化学株式会社
組成物及び発光素子
21日前
住友化学株式会社
ポリオレフィン樹脂組成物
23日前
住友化学株式会社
組成物、硬化物および成形体
15日前
住友化学株式会社
位相差層積層体及び光学積層体
28日前
株式会社ユタックス
冷感生地
7日前
住友化学株式会社
組成物、硬化物、および成形体
15日前
住友化学株式会社
組成物、発光素子、高分子化合物及び低分子化合物
21日前
住友化学株式会社
ポリオレフィン系樹脂組成物、フィルム、および、包装袋
28日前
住友化学株式会社
レジスト組成物及びレジストパターンの製造方法並びに樹脂
15日前
住友化学株式会社
レジスト組成物及びレジストパターンの製造方法並びに化合物
2日前
住友化学株式会社
レジスト組成物及びレジストパターンの製造方法並びに化合物
15日前
住友化学株式会社
レジスト組成物及びレジストパターンの製造方法並びに化合物
15日前
住友化学株式会社
レジスト組成物及びレジストパターンの製造方法並びに化合物
1日前
ZSエラストマー株式会社
エラストマーペレットの製造方法
8日前
ZSエラストマー株式会社
エラストマーペレットの製造方法
8日前
住友化学株式会社
塩、酸発生剤、レジスト組成物及びレジストパターンの製造方法
7日前
住友化学株式会社
塩、酸発生剤、レジスト組成物及びレジストパターンの製造方法
7日前
住友化学株式会社
酸発生剤、塩、レジスト組成物及びレジストパターンの製造方法
23日前
住友化学株式会社
酸発生剤、塩、レジスト組成物及びレジストパターンの製造方法
23日前
住友化学株式会社
化合物及び樹脂
23日前
住友化学株式会社
化合物及び樹脂
17日前
住友化学株式会社
メタクリル酸メチルの製造方法、組成物、重合体、硬化物及び成形体
15日前
住友化学株式会社
組成物、重合体、硬化物、成形体及びポリメタクリル酸メチルの製造方法
9日前
住友化学株式会社
組成物、重合体、硬化物、成形体及びポリメタクリル酸メチルの製造方法
15日前
住友化学株式会社
組成物、重合体、硬化物、成形体及びポリメタクリル酸メチルの製造方法
15日前
住友化学株式会社
組成物、重合体、硬化物、成形体及びポリメタクリル酸メチルの製造方法
15日前
住友化学株式会社
組成物、重合体、硬化物、成形体及びポリメタクリル酸メチルの製造方法
9日前
住友化学株式会社
組成物、重合体、硬化物、成形体及びポリメタクリル酸メチルの製造方法
9日前
住友化学株式会社
スパッタリングターゲット
28日前
住友化学株式会社
光学積層体および画像表示装置
28日前
住友化学株式会社
光学積層体および画像表示装置
9日前
住友化学株式会社
光学積層体および画像表示装置
21日前
住友化学株式会社
光学積層体および画像表示装置
15日前
住友化学株式会社
カルボン酸発生剤、カルボン酸塩、レジスト組成物及びレジストパターンの製造方法
23日前
続きを見る
他の特許を見る