TOP
|
特許
|
意匠
|
商標
特許ウォッチ
Twitter
他の特許を見る
10個以上の画像は省略されています。
公開番号
2025158964
公報種別
公開特許公報(A)
公開日
2025-10-17
出願番号
2025062443
出願日
2025-04-04
発明の名称
機械部品の離散幾何学的表現からのCADフィーチャーツリーの生成
出願人
ダッソー システムズ
,
DASSAULT SYSTEMES
代理人
弁理士法人谷・阿部特許事務所
主分類
G06F
30/10 20200101AFI20251009BHJP(計算;計数)
要約
【課題】一部の離散幾何学的表現からCADフィーチャーツリーを生成する方法を開示する。
【解決手段】方法は表現を提供することを含み、CADフィーチャーのセットを提供することを含む。方法はCADフィーチャーの候補シーケンスによる離散幾何学的表現のフィッティングに報酬を与え、候補シーケンスのコンプレキシティにペナルティを与える目的関数を最適化することを含む。候補シーケンスのコンプレキシティは、候補シーケンスにフィーチャーを加えるとき増加する候補シーケンスの関数である。方法は候補シーケンスによる離散幾何学的表現のフィッティングに報酬を与え、候補シーケンスのコンプレキシティにペナルティを与えることに基づいてCADフィーチャーの候補シーケンスのツリーにおいて深さ優先探索を行うことを含む、CADフィーチャーのセットからCADフィーチャーの1つまたは複数のシーケンスを決定することを含む。
【選択図】図1
特許請求の範囲
【請求項1】
機械部品の離散幾何学的表現からCADフィーチャーツリーを生成するためのコンピュータに実装される方法であって、
-
○ 前記離散幾何学的表現、および
○ CADフィーチャーのセット
を提供することと、
-
○ CADフィーチャーの候補シーケンスによる前記離散幾何学的表現のフィッティングに報酬を与え、
○ 前記候補シーケンスのコンプレキシティにペナルティを与え、前記候補シーケンスの前記コンプレキシティは、前記候補シーケンスにフィーチャーを加えると増加する前記候補シーケンスの関数である
目的関数を最適化することと
を備え、
前記最適化は、CADフィーチャーの前記セットからCADフィーチャーの1つまたは複数のシーケンスを決定することを含み、CADフィーチャーの前記1つまたは複数のシーケンスについて前記決定することは、
○ CADフィーチャーの候補シーケンスのツリーにおいて深さ優先探索を行うことであって、前記深さ優先探索は、候補シーケンスによる前記離散幾何学的表現のフィッティングに報酬を与えることと、候補シーケンスのコンプレキシティにペナルティを与えることとに基づく、こと
を含むことを特徴とする方法。
続きを表示(約 3,100 文字)
【請求項2】
前記深さ優先探索について前記行うことは、
- 先行するイテレーションに起因する前記ツリーの部分的な候補シーケンスの中から、最良の選択スコアを有する部分的な候補シーケンスを選択することであって、部分シーケンスの前記選択スコアは、
○ 前記部分シーケンスによる前記離散幾何学的表現の前記フィッティングに報酬を与え、
○ 前記部分シーケンスの前記コンプレキシティにペナルティを与え、
○ 前記部分シーケンスの親についての予期される極大のフィッティングに報酬を与え、前記部分シーケンスの親についての前記予期される極大のフィッティングは、前記部分シーケンスの子についての既知の極大のフィッティングに基づく
スコアである、ことと、
- グリーディスコアに基づいて、前記選択された部分的な候補シーケンスにCADフィーチャーを反復して加えることであって、部分シーケンスの前記グリーディスコアは、
○ 前記部分シーケンスによる前記離散幾何学的表現の前記フィッティングに報酬を与え、
○ 前記部分シーケンスの前記コンプレキシティにペナルティを与え、
○ 前記部分シーケンスによる前記離散幾何学的表現のフィッティング上界に報酬を与える
スコアである、ことによって、CADフィーチャーの候補シーケンスを取得することと、
- 前記ツリーの前記部分的な候補シーケンスに、前記CADフィーチャーについて前記反復して加えることにおいて考慮に入れられ、CADフィーチャーの前記取得された候補シーケンスをもたらさなかった、すべての部分的な候補シーケンスを加えることと、
- 前記取得された候補シーケンスの各部分シーケンスに対して、前記部分シーケンスの子についての前記極大のフィッティングを更新し、前記部分シーケンスの子が前記選択スコアに基づいて選択された回数を増加させることと、
- すべての取得された候補シーケンスの中で、前記目的関数の最良値よりも小さいプルーニングスコアを有する前記ツリーの各候補シーケンスをプルーニングすることであって、候補シーケンスの前記プルーニングスコアは、
○ 前記候補シーケンスによる前記離散幾何学的表現の前記フィッティング上界に報酬を与え、
○ 前記候補シーケンスの前記コンプレキシティにペナルティを与える
スコアである、ことと
のうちの1つまたは複数のイテレーションを含むことを特徴とする請求項1に記載の方法。
【請求項3】
シーケンスsの前記選択スコアは、
u(s)=decay(s)*(A
M
(T(s))
+(1-A
M
(T(s)))*A
M
expected
(s)-αC
M
(s))
であり、ただし、
○ decay(s)=θ
n(s)
,θは定数であり、n(s)は回数であり、ただし、sの前記親の子が前記選択スコアに基づいて選択され、
○ A
M
(T(s))は、前記シーケンスsによる前記離散幾何学的表現の前記フィッティングであり、T(s)は、前記候補シーケンスsに起因するCADフィーチャーツリーであり、
○ A
M
expected
(s)は、前記シーケンスsの前記親の前記予期される極大のフィッティングであり、
○ C
M
(s)は、前記シーケンスsの前記コンプレキシティであり、
○ αは定数である
というタイプのスコアであることを特徴とする請求項2に記載の方法。
【請求項4】
TIFF
2025158964000032.tif
6
150
であり、ただし、
○ γは定数であり、
○
TIFF
2025158964000033.tif
6
150
は、sの前記フィッティング上界であり、
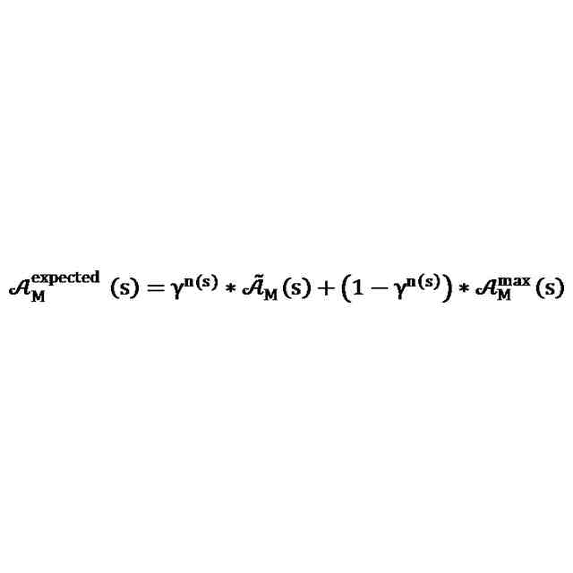
○ A
M
max
(s)は、sの親の子の前記極大のフィッティングである
ことを特徴とする請求項3に記載の方法。
【請求項5】
シーケンスsの前記グリーディスコアは、
TIFF
2025158964000034.tif
6
150
であり、ただし、
○
TIFF
2025158964000035.tif
6
150
は、sの前記フィッティング上界であり、
○ A
M
(T(s))は、前記シーケンスsによる前記離散幾何学的表現の前記フィッティングであり、T(s)は、前記候補シーケンスsに起因するCADフィーチャーツリーであり、
○ C
M
(s)は、前記シーケンスsの前記コンプレキシティであり、
○ αおよびβは定数である
というタイプのスコアであることを特徴とする請求項2ないし4のいずれか一項に記載の方法。
【請求項6】
シーケンスsの前記プルーニングスコアは、
TIFF
2025158964000036.tif
6
150
であり、ただし、
○
TIFF
2025158964000037.tif
6
150
は、sの前記フィッティング上界であり、
○ C
M
(s)は、前記シーケンスsの前記コンプレキシティであり、
○ αは定数である
というタイプのスコアであることを特徴とする請求項2ないし5のいずれか一項に記載の方法。
【請求項7】
前記目的関数は、候補シーケンスによる前記離散幾何学的表現のフィッティングに報酬を与える項による前記候補シーケンスの前記コンプレキシティの減算を含むことを特徴とする請求項1ないし6のいずれか一項に記載の方法。
【請求項8】
フィッティングに報酬を与える前記項は、重み付けパラメータによって重み付けされることを特徴とする請求項7に記載の方法。
【請求項9】
前記目的関数は、
J(s)=αC
M
(s)-A
M
(T(s))
であり、ただし、sは前記候補シーケンスであり、J(s)は前記目的関数であり、C
M
は前記候補シーケンスの前記コンプレキシティであり、A
M
(T(s))は前記フィッティングに報酬を与える前記項であり、αは重み付けパラメータであり、T(s)は前記候補シーケンスsに起因するCADフィーチャーツリーである
というタイプの関数であることを特徴とする請求項7または8に記載の方法。
【請求項10】
前記目的関数の前記最適化は、前記決定された1つまたは複数のシーケンスの各々が、フィッティングしきい値よりも大きい前記離散幾何学的表現のフィッティングを有するという制約の下にあることを特徴とする請求項1ないし9のいずれか一項に記載の方法。
(【請求項11】以降は省略されています)
発明の詳細な説明
【技術分野】
【0001】
本開示は、コンピュータプログラムおよびシステムの分野に関し、より具体的には、機械部品の離散幾何学的表現(discrete geometrical representation)からCADフィーチャーツリー(CAD feature tree)生成するための方法、システム、およびプログラムに関する。
続きを表示(約 3,100 文字)
【背景技術】
【0002】
複数のソリューション、ハードウェア、およびソフトウェアが、物体の設計、エンジニアリング、および製造の市場に出ている。CADは、Computer-Aided Designの頭字語であり、例えば、物体を設計するためのソフトウェアソリューションに関する。CAEは、Computer-Aided Engineeringの頭字語であり、例えば、将来の製品の物理的挙動を分析しシミュレーションするためのソフトウェアソリューションに関する。CAMは、Computer-Aided Manufacturingの頭字語であり、例えば、製品製造のプロセスおよびリソースを定義するためのソフトウェアソリューションに関する。上記のコンピュータ支援設計ソリューションでは、グラフィカルユーザーインターフェースが、技法の効率に関して、重要な役割を果たす。今述べた技法は、製品ライフサイクル管理(PLM)ソリューション内に埋め込まれることがある。PLMは、拡張された企業体(extended enterprise)の概念にわたって、会社が、製品の開発に対して着想から耐用期間の終わりまで、製品のデータを共有し、共通のプロセスを適用し、企業の知識をレバレッジするのに役に立つエンジニアリング戦略に言及する。ダッソー・システムズによって提供されるPLMソリューション(商標CATIA、SIMULIA、DELMIA、およびENOVIAのもとに)は、製品エンジニアリングの知識を体系づける「エンジニアリングハブ」、製造エンジニアリングの知識を管理する「マニュファクチャリングハブ」、およびエンジニアリングハブとマニュファクチャリングハブとの両方への企業の統合および連結を可能にする「エンタープライズハブ」を提供する。すべて合わせてソリューションは、製品、プロセス、リソースを結びつける共通のモデルを届けて、ダイナミックなナレッジベースの製品作成と、最適化された製品定義、製造準備、生産、およびサービスを促進する決断支援とを可能にする。
【0003】
機械部品の離散幾何学的表現からCADフィーチャーツリーを生成するために改良されたソリューションの必要性が依然としてある。
【発明の概要】
【0004】
それゆえ、機械部品の離散幾何学的表現からCADフィーチャーツリーを生成するためのコンピュータに実装される方法が提供される。方法は、離散幾何学的表現を提供することを含む。方法は、CADフィーチャーのセットを提供することをさらに含む。方法は、目的関数を最適化することをさらに含む。目的関数は、CADフィーチャーの候補シーケンスによる離散幾何学的表現のフィッティングに報酬を与える。目的関数は、候補シーケンスのコンプレキシティにペナルティを与える。候補シーケンスのコンプレキシティは、候補シーケンスにフィーチャーを加えるとき増加する候補シーケンスの関数である。最適化は、CADフィーチャーのセットからCADフィーチャーの1つまたは複数のシーケンスを決定することを含む。CADフィーチャーの1つまたは複数のシーケンスについて決定することは、CADフィーチャーの候補シーケンスのツリーにおいて深さ優先探索(depth-first search)を行うことを含む。深さ優先探索は、候補シーケンスによる離散幾何学的表現のフィッティングに報酬を与えることに基づく。深さ優先探索は、候補シーケンスのコンプレキシティにペナルティを与えることにさらに基づく。
方法は、下記のうちの1つまたは複数を含むことがある。
【0005】
- 深さ優先探索(depth-first search)について行うことは、次の1つまたは複数のイテレーションを含む。
【0006】
○ 先行するイテレーションに起因するツリーの部分的な候補シーケンスの中から、最良の選択スコアを有する部分的な候補シーケンスを選択し、部分シーケンス(partial sequence)の選択スコアは、次のようなスコアである。
【0007】
● 部分シーケンスによる離散幾何学的表現のフィッティングに報酬を与える、
● 部分シーケンスのコンプレキシティにペナルティを与える、
● 部分シーケンスの親についての予期される極大のフィッティングに報酬を与え、部分シーケンスの親についての予期される極大のフィッティングは、部分シーケンスの子についての既知の極大のフィッティングに基づく、
○ 選択された部分的な候補シーケンスに、グリーディスコア(greedy score)に基づいてCADフィーチャーを反復して加え、部分シーケンスのグリーディスコアは、次のようなスコアである。
【0008】
● 部分シーケンスによる離散幾何学的表現のフィッティングに報酬を与える、
● 部分シーケンスのコンプレキシティにペナルティを与える、および
● 部分シーケンスによる離散幾何学的表現のフィッティング上界に報酬を与えることによって、CADフィーチャーの候補シーケンスを取得する、
〇 ツリーの部分的な候補シーケンスに、CADフィーチャーについて反復して加えることにおいて考慮され、CADフィーチャーの取得された候補シーケンスをもたらさなかったすべての部分的な候補シーケンスを加える、
○ 取得された候補シーケンスの各部分シーケンスに対して、部分シーケンスの子についての極大のフィッティングを更新し、部分シーケンスの子が選択スコアに基づいて選択された回数を増加させる、および
○ すべての取得された候補シーケンスの中で、目的関数の最良値よりも小さいプルーニングスコア(pruning score)を有するツリーの各候補シーケンスをプルーニングし、候補シーケンスのプルーニングスコアは、次のようなスコアである。
【0009】
● 候補シーケンスによる離散幾何学的表現のフィッティング上界に報酬を与える、
● 候補シーケンスのコンプレキシティにペナルティを与える、
- シーケンスsの選択スコアは、次のタイプのスコアである。
u(s)=decay(s)*(A
M
(T(s))
+(1-A
M
(T(s)))*A
M
expected
(s)-αC
M
(s))
ただし、
○ decay(s)=θ
n(s)
,θは定数であり、n(s)は回数であり、ただし、sの親の子が選択スコアに基づいて選択され、
○ A
M
(T(s))は、シーケンスsによる離散幾何学的表現のフィッティングであり、T(s)は、候補シーケンスsに起因するCADフィーチャーツリーであり、
○ A
M
expected
(s)は、シーケンスsの親の予期される極大のフィッティングであり、
○ C
M
(s)は、シーケンスsのコンプレキシティであり、
○ αは定数である、
-
【0010】
TIFF
2025158964000002.tif
6
150
(【0011】以降は省略されています)
この特許をJ-PlatPat(特許庁公式サイト)で参照する
関連特許
ダッソー システムズ
3Dシーン理解
9日前
ダッソー システムズ
構造最適化における機械学習
15日前
ダッソー システムズ
B-repモデルにおける局所的な位相幾何学的類似性の検索
5日前
ダッソー システムズ アメリカス コーポレイション
計算コストが高い構成応答パラメータの数値較正をサロゲートモデルを用いて高速化する方法
4日前
個人
詐欺保険
18日前
個人
縁伊達ポイン
18日前
個人
RFタグシート
5日前
個人
ペルソナ認証方式
2日前
個人
地球保全システム
1か月前
個人
QRコードの彩色
22日前
個人
自動調理装置
4日前
個人
冷凍食品輸出支援構造
1か月前
個人
為替ポイント伊達夢貯
1か月前
個人
農作物用途分配システム
17日前
個人
表変換編集支援システム
1か月前
個人
残土処理システム
24日前
個人
知的財産出願支援システム
25日前
個人
インターネットの利用構造
1日前
個人
タッチパネル操作指代替具
11日前
個人
知財出願支援AIシステム
1か月前
個人
行動時間管理システム
1か月前
個人
スケジュール調整プログラム
10日前
個人
パスワード管理支援システム
1か月前
個人
AIによる情報の売買の仲介
2か月前
個人
携帯端末障害問合せシステム
10日前
個人
食品レシピ生成システム
1か月前
個人
AIキャラクター制御システム
1か月前
個人
エリアガイドナビAIシステム
2日前
個人
海外支援型農作物活用システム
1か月前
株式会社キーエンス
受発注システム
1か月前
個人
システム及びプログラム
1か月前
株式会社キーエンス
受発注システム
1か月前
株式会社キーエンス
受発注システム
1か月前
個人
パスポートレス入出国システム
2か月前
日本精機株式会社
施工管理システム
2か月前
株式会社アジラ
進入判定装置
2か月前
続きを見る
他の特許を見る