TOP
|
特許
|
意匠
|
商標
特許ウォッチ
Twitter
他の特許を見る
10個以上の画像は省略されています。
公開番号
2025157840
公報種別
公開特許公報(A)
公開日
2025-10-16
出願番号
2024060119
出願日
2024-04-03
発明の名称
情報処理プログラム、情報処理方法および情報処理装置
出願人
富士通株式会社
代理人
弁理士法人扶桑国際特許事務所
主分類
G06N
3/0455 20230101AFI20251008BHJP(計算;計数)
要約
【課題】特定の確率分布に従うサンプルデータを効率的に抽出する。
【解決手段】コンピュータは、第1の確率分布に従うデータ空間に含まれる第1のサンプルデータを取得する。コンピュータは、データ空間と第2の確率分布に従う潜在空間とを対応付ける機械学習モデルを用いて、潜在空間における第1のサンプルデータに対応する第1の潜在表現を基準にして、潜在空間における第2の潜在表現を選択する。コンピュータは、機械学習モデルを用いて、データ空間に含まれるサンプルデータのうち第2の潜在表現に対応する第2のサンプルデータを出力する。
【選択図】図11
特許請求の範囲
【請求項1】
第1の確率分布に従うデータ空間に含まれる第1のサンプルデータを取得し、
前記データ空間と第2の確率分布に従う潜在空間とを対応付ける機械学習モデルを用いて、前記潜在空間における前記第1のサンプルデータに対応する第1の潜在表現を基準にして、前記潜在空間における第2の潜在表現を選択し、
前記機械学習モデルを用いて、前記データ空間に含まれるサンプルデータのうち前記第2の潜在表現に対応する第2のサンプルデータを出力する、
処理をコンピュータに実行させる情報処理プログラム。
続きを表示(約 1,000 文字)
【請求項2】
前記機械学習モデルは、変分オートエンコーダであり、
前記選択は、前記変分オートエンコーダに含まれるエンコーダを用いて、前記第1のサンプルデータを前記第1の潜在表現に変換する処理を含み、
前記出力は、前記変分オートエンコーダに含まれるデコーダを用いて、前記第2の潜在表現を前記第2のサンプルデータに変換する処理を含む、
請求項1記載の情報処理プログラム。
【請求項3】
前記選択は、前記第1の潜在表現における前記第2の確率分布の勾配を用いて、前記第1の潜在表現を確率的に遷移させることで、前記第2の潜在表現を選択する処理を含む、
請求項1記載の情報処理プログラム。
【請求項4】
前記出力は、前記第1の潜在表現から前記第2の潜在表現への遷移確率と、前記第1の確率分布が示す前記第1のサンプルデータの抽出確率と、前記第1の確率分布が示す前記第2のサンプルデータの抽出確率とを用いて、前記第2のサンプルデータを採択するか否かを示す採択確率を算出する処理を含む、
請求項1記載の情報処理プログラム。
【請求項5】
第1の確率分布に従うデータ空間に含まれる第1のサンプルデータを取得し、
前記データ空間と第2の確率分布に従う潜在空間とを対応付ける機械学習モデルを用いて、前記潜在空間における前記第1のサンプルデータに対応する第1の潜在表現を基準にして、前記潜在空間における第2の潜在表現を選択し、
前記機械学習モデルを用いて、前記データ空間に含まれるサンプルデータのうち前記第2の潜在表現に対応する第2のサンプルデータを出力する、
処理をコンピュータが実行する情報処理方法。
【請求項6】
第1の確率分布に従うデータ空間と第2の確率分布に従う潜在空間とを対応付ける機械学習モデルを記憶する記憶部と、
前記データ空間に含まれる第1のサンプルデータを取得し、前記機械学習モデルを用いて、前記潜在空間における前記第1のサンプルデータに対応する第1の潜在表現を基準にして、前記潜在空間における第2の潜在表現を選択し、前記機械学習モデルを用いて、前記データ空間に含まれるサンプルデータのうち前記第2の潜在表現に対応する第2のサンプルデータを出力する処理部と、
を有する情報処理装置。
発明の詳細な説明
【技術分野】
【0001】
本発明は情報処理プログラム、情報処理方法および情報処理装置に関する。
続きを表示(約 2,200 文字)
【背景技術】
【0002】
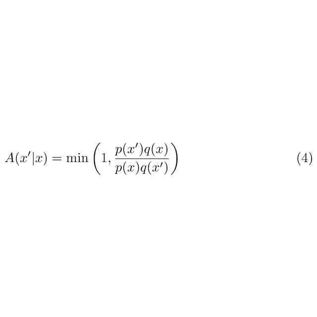
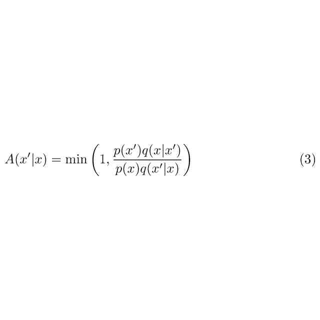
コンピュータは、特定の確率分布に従うデータ空間から、複数のサンプルデータをランダムに抽出することがある。各サンプルデータが抽出される確率は、データ空間の確率分布と整合することが好ましい。例えば、物体の挙動や特性を分析する物理シミュレーションでは、方程式を解析的に解くことが難しいことがある。その場合、コンピュータは、物体の状態をサンプリングすることで、方程式の近似解を求めることがある。データ空間からのサンプルデータの抽出や、抽出されたサンプルデータを用いたシミュレーションの1つとして、モンテカルロ法と呼ばれる手法がある。
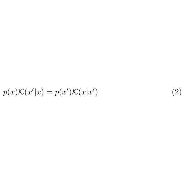
【0003】
データ空間の確率分布が複雑である場合、純粋なモンテカルロ法では、その確率分布に従うサンプルデータを直接的に抽出することが難しいことがある。これに対して、マルコフ連鎖モンテカルロ法(MCMC:Markov Chain Monte Carlo)は、抽出されたサンプルデータの集合が特定の確率分布に近づくように、連続的にサンプルデータを抽出する。
【0004】
マルコフ連鎖モンテカルロ法に関する技術の一つとして、変分オートエンコーダ(VAE:Variational Autoencoder)を用いた自己学習モンテカルロ法(SLMC:Self-Learning Monte Carlo)が提案されている。この関連技術は、訓練済みの変分オートエンコーダが示す潜在空間の全体から、正規分布に従ってランダムに特徴量を選択し、変分オートエンコーダに含まれるデコーダを用いて、選択した特徴量をサンプルデータ候補に変換する。関連技術は、前に抽出されたサンプルデータとサンプルデータ候補との関係から、そのサンプルデータ候補を次のサンプルデータとして採択するか否か決定する。
【先行技術文献】
【非特許文献】
【0005】
Yuma Ichikawa, Akira Nakagawa, Hiromoto Masayuki and Yuhei Umeda, "Toward Unlimited Self-Learning Monte Carlo with Annealing Process Using VAE's Implicit Isometricity", arXiv:2211.14024, November 2022
【発明の概要】
【発明が解決しようとする課題】
【0006】
しかし、潜在空間の全体からランダムに特徴量を選択する方法では、前のサンプルデータとの関係で、採択確率が低いサンプルデータ候補が多く生成されることがある。このため、棄却されるサンプルデータ候補が増加することがあり、十分な量のサンプルデータを抽出するまでの所要時間が長くなるおそれがある。そこで、1つの側面では、本発明は、特定の確率分布に従うサンプルデータを効率的に抽出することを目的とする。
【課題を解決するための手段】
【0007】
1つの態様では、以下の処理をコンピュータに実行させる情報処理プログラムが提供される。第1の確率分布に従うデータ空間に含まれる第1のサンプルデータを取得する。データ空間と第2の確率分布に従う潜在空間とを対応付ける機械学習モデルを用いて、潜在空間における第1のサンプルデータに対応する第1の潜在表現を基準にして、潜在空間における第2の潜在表現を選択する。機械学習モデルを用いて、データ空間に含まれるサンプルデータのうち第2の潜在表現に対応する第2のサンプルデータを出力する。また、1つの態様では、コンピュータが実行する情報処理方法が提供される。また、1つの態様では、記憶部と処理部とを有する情報処理装置が提供される。
【発明の効果】
【0008】
1つの側面では、特定の確率分布に従うサンプルデータを効率的に抽出できる。
【図面の簡単な説明】
【0009】
第1の実施の形態の情報処理装置を説明するための図である。
第2の実施の形態の情報処理装置のハードウェア例を示す図である。
マルコフ連鎖モンテカルロ法の例を示す図である。
局所遷移による次サンプルの提案例を示す図である。
多峰分布からのサンプリング例を示す図である。
変分オートエンコーダの構造例を示す図である。
潜在空間上の局所遷移による次サンプルの提案例を示す図である。
実行結果テーブルの例を示す図である。
独立提案によるサンプリング結果の例を示す図である。
局所遷移によるサンプリング結果の例を示す図である。
情報処理装置の機能例を示すブロック図である。
サンプル生成の手順例を示すフローチャートである。
【発明を実施するための形態】
【0010】
以下、本実施の形態について図面を参照して説明する。なお、複数の実施の形態が組み合わされて実施されてもよい。なお、本実施の形態においては、データ空間において特定の確率分布に従う複数のサンプルデータ(乱数)を生成する処理を、サンプリングと記載することがある。
(【0011】以降は省略されています)
この特許をJ-PlatPat(特許庁公式サイト)で参照する
関連特許
富士通株式会社
半導体装置
10日前
富士通株式会社
半導体デバイス
10日前
富士通株式会社
メッシュ微細化
11日前
富士通株式会社
演算器及び演算方法
11日前
富士通株式会社
ポイントクラウド分類
5日前
富士通株式会社
電子機器筐体及び電子機器
9日前
富士通株式会社
アレイアンテナモジュール
12日前
富士通株式会社
光送信器及び光トランシーバ
9日前
富士通株式会社
基板及びこれを備えた電子装置
12日前
富士通株式会社
通信制御装置及び移動中継装置
17日前
富士通株式会社
テキスト案内される画像エディタ
5日前
富士通株式会社
メモリ管理装置及びメモリ管理方法
4日前
富士通株式会社
管理装置、管理方法、および管理プログラム
18日前
富士通株式会社
プログラム、情報処理方法および情報処理装置
16日前
富士通株式会社
生成プログラム、生成方法および情報処理装置
3日前
富士通株式会社
制御プログラム、制御方法、および情報処理装置
18日前
富士通株式会社
プログラム、データ処理装置及びデータ処理方法
10日前
富士通株式会社
キャッシュ装置およびキャッシュ装置の制御方法
10日前
富士通株式会社
探索プログラム、探索方法、および情報処理装置
9日前
富士通株式会社
出張情報受付方法および出張情報受付プログラム
9日前
富士通株式会社
プログラム、データ処理方法およびデータ処理装置
3日前
富士通株式会社
並列コンピューティング・カテゴリー分けプロセス
5日前
富士通株式会社
チェックプログラム、チェック方法及び情報処理装置
9日前
富士通株式会社
情報出力プログラム、情報出力方法及び情報処理装置
9日前
富士通株式会社
光ネットワーク管理装置及び光ネットワーク管理方法
10日前
富士通株式会社
凝縮グラフ分布(CGD)に基づいたグラフ連続学習
5日前
富士通株式会社
表示制御プログラム、表示制御方法および情報処理装置
12日前
富士通株式会社
勤怠管理プログラム、勤怠管理方法および情報処理装置
9日前
富士通株式会社
施策特定プログラム、施策特定方法および情報処理装置
16日前
富士通株式会社
機械学習プログラム、機械学習方法および情報処理装置
16日前
富士通株式会社
情報処理プログラム、情報処理方法および情報処理装置
9日前
富士通株式会社
勤怠管理プログラム、勤怠管理方法および情報処理装置
9日前
富士通株式会社
情報処理プログラム、情報処理方法および情報処理装置
3日前
富士通株式会社
情報処理プログラム、情報処理方法、および情報処理装置
11日前
富士通株式会社
情報処理プログラム、情報処理方法、および情報処理装置
11日前
富士通株式会社
情報処理プログラム、情報処理方法、および情報処理装置
16日前
続きを見る
他の特許を見る