TOP
|
特許
|
意匠
|
商標
特許ウォッチ
Twitter
他の特許を見る
10個以上の画像は省略されています。
公開番号
2025156528
公報種別
公開特許公報(A)
公開日
2025-10-14
出願番号
2025130658,2024085291
出願日
2025-08-05,2015-03-24
発明の名称
ナビゲーション装置
出願人
パイオニア株式会社
代理人
個人
,
個人
,
個人
主分類
G01C
21/34 20060101AFI20251002BHJP(測定;試験)
要約
【課題】低コストとなるように経路案内することができるナビゲーション装置を提供する。
【解決手段】ナビゲーション装置1の通信部8が、通過時の条件を示す通過パラメータに関連付けられた通過成否情報rを取得し、制御部2が、通過成否情報rと、通過しようとする際の通過パラメータと、に基づいて環状交差点の通過に成功するか否かを予測する通過成功率を算出し、通過成功率に基づいて通過コストを算出する。現在位置から目的地までの経路のうち、コストが最も低くなる経路を選択し、この経路を含むように目的地までの経路を作成して車両を案内することで、低コストとなるように経路案内することができる。
【選択図】図4
特許請求の範囲
【請求項1】
対象移動体の目的地への複数の経路を探索する経路探索部と、
前記複数の経路のうち第1経路が第1の環状交差点を通過する場合に、前記第1の環状交差点の通過成功率を、前記第1の環状交差点の構造的特徴、および通過時の環境的特徴を示す通過条件情報と、係数情報とに基づいて算出する成功率算出部と、
前記第1の環状交差点の通過コストを、前記第1の環状交差点における前記第1経路の経路部分、および前記通過成功率に基づいて算出するコスト算出部と、を備え、
前記係数情報は、過去において、複数の移動体が複数の環状交差点を通過した際のそれぞれの過去の通過成否情報、および、各環状交差点の構造的特徴と各移動体が各環状交差点を通過した時の過去の環境的特徴を示す過去の通過条件情報を含む事例データに基づいて生成されたものであることを特徴とするナビゲーション装置。
続きを表示(約 1,200 文字)
【請求項2】
前記過去の通過成否情報は、前記複数の移動体が前記複数の環状交差点を通過した際のそれぞれにおいて、環状交差点を一周以上周回していた場合には、当該環状交差点の通過の失敗を示すことを特徴とする請求項1に記載のナビゲーション装置。
【請求項3】
前記過去の通過成否情報は、前記複数の移動体が前記複数の環状交差点を通過した際のそれぞれにおいて、経路案内されている移動体については、該移動体が環状交差点を一周せずに案内された出口を通過した際に成功とされ、経路案内されていない移動体については、該移動体が環状交差点を一周せずに出口を通過した際に成功とされることを特徴とする請求項1に記載のナビゲーション装置。
【請求項4】
前記過去の通過条件情報は、前記複数の移動体が前記複数の環状交差点を通過した際の各環状交差点における、周回路からの出口の数と、前記周回路の直径と、前記周回路の内周側の中央島の有無と、前記周回路における車線の数と、前記周回路の少なくとも一部が上下に重なった階層構造を有する場合の階層の数と、のうち少なくとも1つを前記構造的特徴として含むことを特徴とする請求項1に記載のナビゲーション装置。
【請求項5】
前記コスト算出部は、前記対象移動体が前記第1経路に従って案内される場合の、前記第1の環状交差点に進入する入口から案内された出口までの距離と、該入口が延びる方向と該出口が延びる方向とのなす角度と、のうち少なくとも一方に基づいて、前記通過コストを算出することを特徴とする請求項1に記載のナビゲーション装置。
【請求項6】
対象移動体の目的地への複数の経路を探索する経路探索工程と、
前記複数の経路のうち第1経路が第1の環状交差点を通過する場合に、前記第1の環状交差点の通過成功率を、前記第1の環状交差点の構造的特徴、および通過時の環境的特徴を示す通過条件情報と、係数情報とに基づいて算出する成功率算出工程と、
前記第1の環状交差点の通過コストを、前記第1の環状交差点における前記第1経路の経路部分、および前記通過成功率に基づいて算出するコスト算出工程と、を備え、
前記係数情報は、過去において、複数の移動体が複数の環状交差点を通過した際のそれぞれの過去の通過成否情報、および、各環状交差点の構造的特徴と各移動体が各環状交差点を通過した時の過去の環境的特徴を示す過去の通過条件情報を含む事例データに基づいて生成されたものであることを特徴とするナビゲーション方法。
【請求項7】
請求項6に記載のナビゲーション方法を、コンピュータにより実行させることを特徴とするナビゲーションプログラム。
【請求項8】
請求項7に記載のナビゲーションプログラムを格納したことを特徴とするコンピュータ読み取り可能な記録媒体。
発明の詳細な説明
【技術分野】
【0001】
本発明は、車両が環状交差点を通過する際の通過コストを算出するナビゲーション装置に関する。
続きを表示(約 2,700 文字)
【背景技術】
【0002】
従来、環状交差点にバイパス路が付設されている場合に、環状交差点を避けるように車両をバイパス路に案内するナビゲーション装置が提案されている(例えば、特許文献1参照)。特許文献1に記載された従来のナビゲーション装置は、車両をバイパス路に案内することにより、ユーザにとっての利便性を向上させるように構成されている。
【先行技術文献】
【特許文献】
【0003】
特開2008-101919号公報
【発明の概要】
【発明が解決しようとする課題】
【0004】
しかしながら、特許文献1のナビゲーション装置では、環状交差点が単純な構成を有している場合や、バイパス路が目的地まで大きく迂回している場合等には、車両をバイパス路に案内することによってコストが上昇してしまうことがある。即ち、環状交差点を通過する経路のコストが高い場合と、環状交差点を避ける経路のコストが高い場合と、があり、従来のナビゲーション装置では、低コストとなる経路を案内することができることができなかった。
【0005】
したがって、本発明の課題は、低コストとなるように経路案内することができるナビゲーション装置を提供することが一例として挙げられる。
【課題を解決するための手段】
【0006】
前述した課題を解決し目的を達成するために、請求項1に記載の本発明のナビゲーション装置は、対象移動体の目的地への複数の経路を探索する経路探索部と、前記複数の経路のうち第1経路が第1の環状交差点を通過する場合に、前記第1の環状交差点の通過成功率を、前記第1の環状交差点の構造的特徴、および通過時の環境的特徴を示す通過条件情報と、係数情報とに基づいて算出する成功率算出部と、前記第1の環状交差点の通過コストを、前記第1の環状交差点における前記第1経路の経路部分、および前記通過成功率に基づいて算出するコスト算出部と、を備え、前記係数情報は、過去において、複数の移動体が複数の環状交差点を通過した際のそれぞれの過去の通過成否情報、および、各環状交差点の構造的特徴と各移動体が各環状交差点を通過した時の過去の環境的特徴を示す過去の通過条件情報を含む事例データに基づいて生成されたものであることを特徴とする。
また、他のナビゲーション装置は、移動体が環状交差点の通過に成功したか否かを示す通過成否情報と該移動体が該環状交差点を通過した際の条件を示す通過パラメータとを取得する取得部と、移動体が環状交差点の通過に成功するか否かを予測する通過成功率を、前記通過成否情報、及び、前記通過パラメータに基づいて算出する成功率算出部と、移動体を案内する経路を探索する経路探索部と、移動体が通過しようとする環状交差点において発生する通過コストを、前記経路及び前記通過成功率に基づいて算出するコスト算出部と、を備えることを特徴としている。
【0007】
請求項6に記載の本発明のナビゲーション方法は、対象移動体の目的地への複数の経路を探索する経路探索工程と、前記複数の経路のうち第1経路が第1の環状交差点を通過する場合に、前記第1の環状交差点の通過成功率を、前記第1の環状交差点の構造的特徴、および通過時の環境的特徴を示す通過条件情報と、係数情報とに基づいて算出する成功率算出工程と、前記第1の環状交差点の通過コストを、前記第1の環状交差点における前記第1経路の経路部分、および前記通過成功率に基づいて算出するコスト算出工程と、を備え、前記係数情報は、過去において、複数の移動体が複数の環状交差点を通過した際のそれぞれの過去の通過成否情報、および、各環状交差点の構造的特徴と各移動体が各環状交差点を通過した時の過去の環境的特徴を示す過去の通過条件情報を含む事例データに基づいて生成されたものであることを特徴とする。
また、他のナビゲーション方法は、移動体が環状交差点の通過に成功したか否かを示す通過成否情報と該移動体が該環状交差点を通過した際の条件を示す通過パラメータとを取得する取得工程と、移動体が環状交差点の通過に成功するか否かを予測する通過成功率を、前記通過成否情報、及び、前記通過パラメータに基づいて算出する成功率算出工程と、移動体を案内する経路を探索する経路探索工程と、移動体が通過しようとする環状交差点において発生する通過コストを、前記経路及び前記通過成功率に基づいて算出するコスト算出工程と、を含むことを特徴としている。
【図面の簡単な説明】
【0008】
本発明の実施例に係るナビゲーション装置の概略を示すブロック図である。
前記ナビゲーション装置が搭載された車両が環状交差点を通過する様子を示す模式図である。
前記ナビゲーション装置に接続されたサーバが実行する情報取得処理の手順の一例を示すフローチャートである。
前記ナビゲーション装置が実行する経路作成処理の手順の一例を示すフローチャートである。
前記ナビゲーション装置が搭載された車両が案内される経路を示す模式図である。
【発明を実施するための形態】
【0009】
以下、本発明の実施形態を説明する。本発明の実施形態に係るナビゲーション装置は、移動体が環状交差点の通過に成功したか否かを示す通過成否情報と移動体が環状交差点を通過した際の条件を示す通過パラメータとを取得する取得部と、移動体が環状交差点の通過に成功するか否かを予測する通過成功率を、通過成否情報、及び、通過パラメータに基づいて算出する成功率算出部と、移動体を案内する経路を探索する経路探索部と、移動体が通過しようとする環状交差点において発生する通過コストを、経路及び通過成功率に基づいて算出するコスト算出部と、を備える。
【0010】
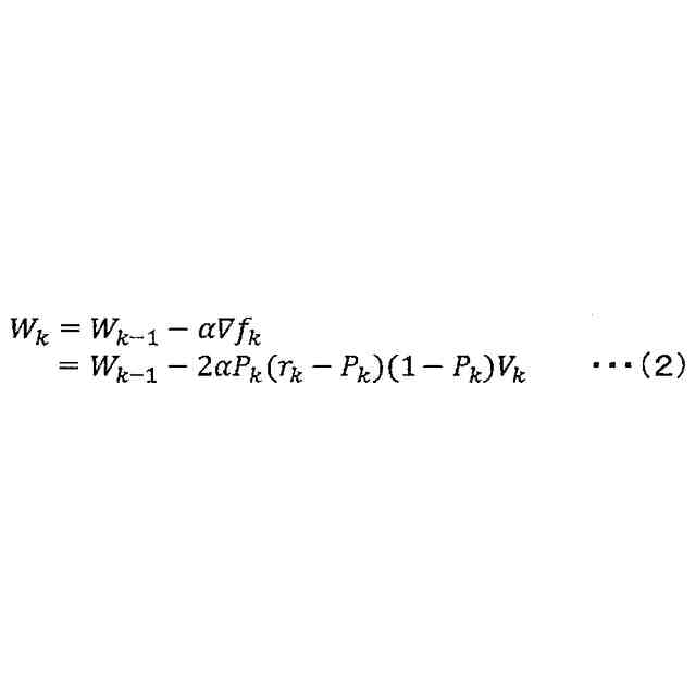
このような本実施形態のナビゲーション装置によれば、通過成否情報と通過パラメータとに基づいて環状交差点における通過成功率を算出し、通過成功率に基づいて通過コストを算出することにより、低コストとなるように経路案内することができる。このとき、過去の通過成否情報とそのときの通過パラメータとが関連付けて記憶され、過去の通過成否情報及び通過パラメータと、通過しようとする際の通過パラメータと、に基づいて通過成功率を算出することが好ましい。
(【0011】以降は省略されています)
この特許をJ-PlatPat(特許庁公式サイト)で参照する
関連特許
パイオニア株式会社
センサ装置
1か月前
パイオニア株式会社
光制御装置
16日前
パイオニア株式会社
光制御装置
16日前
パイオニア株式会社
情報処理装置
24日前
パイオニア株式会社
情報処理装置
23日前
パイオニア株式会社
情報処理装置
23日前
パイオニア株式会社
情報処理装置
1か月前
パイオニア株式会社
情報出力装置
1か月前
パイオニア株式会社
音声出力装置
1か月前
パイオニア株式会社
情報表示装置
4日前
パイオニア株式会社
効果音出力装置
1か月前
パイオニア株式会社
情報処理装置、端末装置
23日前
パイオニア株式会社
認識装置、認識方法及び認識プログラム
12日前
パイオニア株式会社
制御装置、制御方法及び制御用プログラム
23日前
パイオニア株式会社
撮影装置、制御方法、プログラム及び記憶媒体
23日前
パイオニア株式会社
決定装置、決定方法、決定プログラム及び記録媒体
1か月前
パイオニア株式会社
情報処理装置、制御方法、プログラム及び記憶媒体
1か月前
パイオニア株式会社
推定装置、システム、推定方法、およびプログラム
1か月前
パイオニア株式会社
情報処理装置、制御方法、プログラム及び記憶媒体
25日前
パイオニア株式会社
表示装置、表示方法、プログラム、及び、記憶媒体
25日前
パイオニア株式会社
情報処理装置、判定方法、プログラム及び記憶媒体
2日前
パイオニア株式会社
情報処理装置、情報処理方法及び情報処理プログラム
1か月前
パイオニア株式会社
制御装置、制御方法、および、制御装置用プログラム
1か月前
パイオニア株式会社
通信制御端末、通信制御方法及び通信制御プログラム
1か月前
パイオニア株式会社
料金算出装置、料金算出方法及び料金算出用プログラム
1か月前
パイオニア株式会社
情報記録装置、情報記録方法及び情報記録用プログラム
16日前
パイオニア株式会社
車載装置、情報処理方法、情報管理装置及び情報管理方法
2日前
パイオニア株式会社
携帯端末装置、情報処理装置、連携システム及び表示制御方法
9日前
パイオニア株式会社
音出力制御装置、音出力制御方法および音出力制御プログラム
1か月前
パイオニア株式会社
情報処理装置、情報処理方法、情報処理プログラム及び記録媒体
25日前
パイオニア株式会社
情報処理装置、情報処理方法、情報処理プログラム、及び記憶媒体
1か月前
パイオニア株式会社
地点検索方法、地点検索プログラム、地点検索記憶媒体および地点検索装置
1か月前
パイオニア株式会社
情報処理装置、広告情報提示装置及びこれらの装置によって実行される方法
1か月前
パイオニア株式会社
通信端末、通信方法、通信プログラム、通信プログラムを格納した記録媒体および情報処理装置
2日前
パイオニア株式会社
情報処理装置、情報処理方法、情報処理プログラム及び情報処理プログラムを記録したコンピュータ読み取り可能な記録媒体
4日前
日本精機株式会社
検出装置
25日前
続きを見る
他の特許を見る