TOP
|
特許
|
意匠
|
商標
特許ウォッチ
Twitter
他の特許を見る
10個以上の画像は省略されています。
公開番号
2025155355
公報種別
公開特許公報(A)
公開日
2025-10-14
出願番号
2024059156
出願日
2024-04-01
発明の名称
加硫ゴムの物性値の予測方法
出願人
住友ゴム工業株式会社
代理人
個人
,
個人
,
個人
,
個人
主分類
G01N
33/44 20060101AFI20251006BHJP(測定;試験)
要約
【課題】加硫ゴムの物性値を精度よく予測することが可能な方法を提供する。
【解決手段】加硫ゴムの物性値を予測するための方法である。この方法は、複数のゴム材料をそれぞれ異なる加硫条件で加硫したときのゴム温度と加硫時間との関係を示す温度履歴を複数取得する第1工程と、複数の温度履歴で加硫された加硫ゴムのそれぞれから第1物性値を取得する第2工程と、任意の温度履歴で加硫されたゴム材料の加硫後の第1物性値を、下記式(1)で計算される換算式に基づいた特徴量Fから推定する近似式を得るために、近似式の誤差を小さくする下記式(1)の温度依存性係数Eを決定する第3工程とを含む。
<com:Image com:imageContentCategory="Drawing"> <com:ImageFormatCategory>TIFF</com:ImageFormatCategory> <com:FileName>2025155355000006.tif</com:FileName> <com:HeightMeasure com:measureUnitCode="Mm">16</com:HeightMeasure> <com:WidthMeasure com:measureUnitCode="Mm">139</com:WidthMeasure> </com:Image>
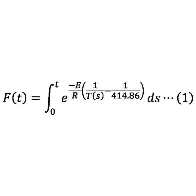
ここで、F:特徴量___t:加硫時間(分)E:温度依存性係数__R:気体定数T(s):加硫中の測定温度(K)
【選択図】図7
特許請求の範囲
【請求項1】
加硫ゴムの物性値を予測するための方法であって、
複数のゴム材料をそれぞれ異なる加硫条件で加硫したときのゴム温度と加硫時間との関係を示す温度履歴を複数取得する第1工程と、
前記複数の温度履歴で加硫された加硫ゴムのそれぞれから第1物性値を取得する第2工程と、
任意の温度履歴で加硫された前記ゴム材料の加硫後の前記第1物性値を、下記式(1)で計算される換算式に基づいた特徴量Fから推定する近似式を得るために、前記近似式の誤差を小さくする下記式(1)の温度依存性係数Eを決定する第3工程とを含む、
加硫ゴムの物性値の予測方法。
TIFF
2025155355000005.tif
16
139
ここで、
F:特徴量
t:加硫時間(分)
E:温度依存性係数
R:気体定数
T(s):加硫中の測定温度(K)
続きを表示(約 700 文字)
【請求項2】
決定された前記温度依存性係数Eに基づいて、前記近似式を決定する第4工程をさらに含む、請求項1に記載の加硫ゴムの物性値の予測方法。
【請求項3】
前記第1工程よりも少ない種類数の温度履歴を複数取得する第5工程と、
前記第5工程で取得された前記複数の温度履歴で加硫された前記加硫ゴムのそれぞれから、前記第1物性値とは異なる第2物性値を取得する第6工程と、
任意の温度履歴で加硫された前記ゴム材料の加硫後の前記第2物性値を、決定された前記温度依存性係数Eを代入した上記式(1)で計算される特徴量Fから推定するための近似式を決定する第7工程と、をさらに含む、請求項1に記載の加硫ゴムの物性値の予測方法。
【請求項4】
前記第1物性値は、加硫ゴムの物性値のうち、加硫量に応じて変化する物性値である、請求項1に記載の加硫ゴムの物性値の予測方法。
【請求項5】
前記第1物性値は、加硫ゴムの膨潤度、損失正接及び複素弾性率の絶対値の少なくとも1つを含む、請求項4に記載の加硫ゴムの物性値の予測方法。
【請求項6】
前記第1工程は、前記温度履歴を計算により求める加硫シミュレーション工程を含む、請求項1に記載の加硫ゴムの物性値の予測方法。
【請求項7】
前記第1工程は、前記温度履歴を実測により求める加硫工程を含む、請求項1に記載の加硫ゴムの物性値の予測方法。
【請求項8】
前記温度依存性係数Eは、83720×A(Aは、1.0~3.0)である、請求項1に記載の加硫ゴムの物性値の予測方法。
発明の詳細な説明
【技術分野】
【0001】
本発明は、加硫ゴムの物性値の予測方法に関する。
続きを表示(約 1,900 文字)
【背景技術】
【0002】
下記特許文献1には、タイヤの性能の予測方法が記載されている。この方法には、未加硫のゴム部材を含む未加硫のタイヤを加硫成形したときのゴム部材の時系列の温度データを入力する第1工程と、ゴム部材の温度データに基づいて、加硫後のゴム部材の物性を予測する第2工程と、ゴム部材の物性に基づいて、加硫後のタイヤの性能を予測する第3工程とが含まれる。
【先行技術文献】
【特許文献】
【0003】
特開2023-073083号公報
【発明の概要】
【発明が解決しようとする課題】
【0004】
上記特許文献1の技術では、ゴム部材の物性値の予測に、等価加硫量(ECU)が用いられている。このような等価加硫量は、加硫時の温度が反映されていることから、物性値の予測に役立つが、予測精度については、さらなる改善の余地があった。
【0005】
本発明は、以上のような実状に鑑み案出されたもので、加硫ゴムの物性値を精度よく予測することが可能な方法を提供することを主たる目的としている。
【課題を解決するための手段】
【0006】
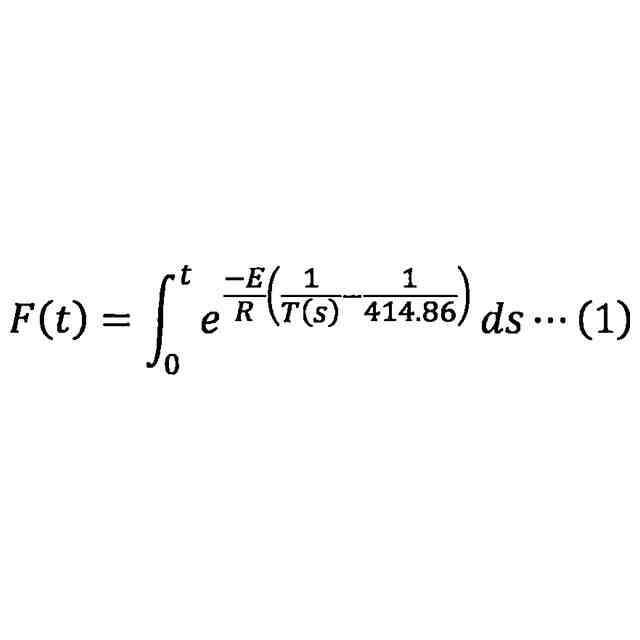
本発明は、 加硫ゴムの物性値を予測するための方法であって、複数のゴム材料をそれぞれ異なる加硫条件で加硫したときのゴム温度と加硫時間との関係を示す温度履歴を複数取得する第1工程と、前記複数の温度履歴で加硫された加硫ゴムのそれぞれから第1物性値を取得する第2工程と、任意の温度履歴で加硫された前記ゴム材料の加硫後の前記第1物性値を、下記式(1)で計算される換算式に基づいた特徴量Fから推定する近似式を得るために、前記近似式の誤差を小さくする下記式(1)の温度依存性係数Eを決定する第3工程とを含む、加硫ゴムの物性値の予測方法である。
TIFF
2025155355000002.tif
16
139
ここで、F:特徴量
t:加硫時間(分)
E:温度依存性係数
R:気体定数
T(s):加硫中の測定温度(K)
【発明の効果】
【0007】
本発明の加硫ゴムの物性値の予測方法は、上記の工程を採用することにより、加硫ゴムの物性値を精度よく予測することが可能となる。
【図面の簡単な説明】
【0008】
加硫ゴムの物性値の予測方法を実行するためのコンピュータの一例を示す斜視図である。
ゴム製品の一例を示す断面図である。
加硫ゴムの物性値の予測方法の処理手順の一例を示すフローチャートである。
複数の温度履歴の一例を示すグラフである。
特徴量と、ゴム材料の加硫後の第1物性値との関係の一例を示すグラフである。
ゴム製品モデル及び金型モデルの一例を示す図である。
特徴量と第1物性値との関係の一例を示すグラフである。
本発明の他の実施形態の予測方法の処理手順の一例を示すフローチャートである。
特徴量と第2物性値との関係の一例を示すグラフである。
(a)は、実施例1の特徴量と損失正接との関係を示すグラフ、(b)は、比較例の等価加硫量と損失正接との関係を示すグラフである。
実施例1の近似式で推定された損失正接の推定値と、損失正接の測定値との関係を示すグラフである。
(a)は、特徴量と膨潤度との関係を示すグラフ、(b)は、特徴量と複素弾性率の絶対値との関係を示すグラフ、(c)は、特徴量と損失正接との関係を示すグラフである。
【発明を実施するための形態】
【0009】
以下、本発明の実施形態が図面に基づき説明される。図面は、発明の内容の理解を助けるために、誇張表現や、実際の構造の寸法比とは異なる表現が含まれることが理解されなければならない。また、各実施形態を通して、同一又は共通する要素については同一の符号が付されており、重複する説明が省略される。さらに、実施形態及び図面に表された具体的な構成は、本発明の内容理解のためのものであって、本発明は、図示されている具体的な構成に限定されるものではない。
【0010】
本実施形態の加硫ゴムの物性値の予測方法(以下、「予測方法」ということがある。)では、任意の温度履歴で加硫されたゴム材料(すなわち、加硫ゴム)の物性値が予測される。本実施形態の予測方法には、コンピュータが用いられる。
(【0011】以降は省略されています)
この特許をJ-PlatPat(特許庁公式サイト)で参照する
関連特許
住友ゴム工業株式会社
タイヤ
1か月前
住友ゴム工業株式会社
タイヤ
8日前
住友ゴム工業株式会社
タイヤ
1か月前
住友ゴム工業株式会社
タイヤ
14日前
住友ゴム工業株式会社
タイヤ
22日前
住友ゴム工業株式会社
タイヤ
10日前
住友ゴム工業株式会社
タイヤ
23日前
住友ゴム工業株式会社
タイヤ
16日前
住友ゴム工業株式会社
タイヤ
27日前
住友ゴム工業株式会社
タイヤ
7日前
住友ゴム工業株式会社
タイヤ
8日前
住友ゴム工業株式会社
タイヤ
7日前
住友ゴム工業株式会社
タイヤ
28日前
住友ゴム工業株式会社
タイヤ
1か月前
住友ゴム工業株式会社
タイヤ
16日前
住友ゴム工業株式会社
三次元構造体
1か月前
住友ゴム工業株式会社
ゴルフボール
7日前
住友ゴム工業株式会社
ゴルフボール
23日前
住友ゴム工業株式会社
モデリング方法
28日前
住友ゴム工業株式会社
モデリング方法
28日前
住友ゴム工業株式会社
重荷重用タイヤ
23日前
住友ゴム工業株式会社
光硬化性組成物
1か月前
住友ゴム工業株式会社
空気入りタイヤ
1か月前
住友ゴム工業株式会社
空気入りタイヤ
20日前
住友ゴム工業株式会社
空気入りタイヤ
1か月前
住友ゴム工業株式会社
空気入りタイヤ
16日前
住友ゴム工業株式会社
空気入りタイヤ
16日前
住友ゴム工業株式会社
重荷重用タイヤ
1か月前
住友ゴム工業株式会社
重荷重用タイヤ
13日前
住友ゴム工業株式会社
バイアスタイヤ
13日前
住友ゴム工業株式会社
空気入りタイヤ
10日前
住友ゴム工業株式会社
空気入りタイヤ
10日前
住友ゴム工業株式会社
空気入りタイヤ
10日前
住友ゴム工業株式会社
空気入りタイヤ
9日前
住友ゴム工業株式会社
重荷重用タイヤ
1か月前
住友ゴム工業株式会社
空気入りタイヤ
7日前
続きを見る
他の特許を見る