TOP
|
特許
|
意匠
|
商標
特許ウォッチ
Twitter
他の特許を見る
10個以上の画像は省略されています。
公開番号
2025154250
公報種別
公開特許公報(A)
公開日
2025-10-10
出願番号
2024057151
出願日
2024-03-29
発明の名称
エポキシ樹脂組成物、エポキシ樹脂硬化物、プリプレグ、繊維強化複合材料、エポキシ樹脂硬化物の修復方法、繊維強化複合材料の修復方法、エポキシ樹脂硬化物の再成形方法、繊維強化複合材料の再成形方法、エポキシ樹脂硬化物の分解方法、及び繊維強化複合材料の強化繊維回収方法
出願人
帝人株式会社
代理人
弁理士法人太陽国際特許事務所
主分類
C08G
59/06 20060101AFI20251002BHJP(有機高分子化合物;その製造または化学的加工;それに基づく組成物)
要約
【課題】高い弾性率を有し、かつ再成形性又は自己修復性に優れる硬化物を与えるエポキシ樹脂組成物、前記エポキシ樹脂組成物を硬化させたエポキシ樹脂硬化物、プリプレグ、繊維強化複合材料を提供する。
【解決手段】下記一般式(1)で表される構成単位を少なくとも含む多官能エポキシ樹脂[A]を含むエポキシ樹脂組成物。一般式(1)中、Yはそれぞれ独立して動的共有結合部位であり、R
1a
、R
1b
、R
1c
、R
1d
のうち少なくとも1つは隣接する他の構成単位中のYとの結合手であり、前記少なくとも1つ以外はそれぞれ独立して水素原子、脂肪族炭化水素基、芳香族基、アルコキシ基、アミノ基、又はハロゲン原子のいずれか1つを表し、nは2~500の整数を表す。
<com:Image com:imageContentCategory="Drawing"> <com:ImageFormatCategory>JPEG</com:ImageFormatCategory> <com:FileName>2025154250000030.jpg</com:FileName> <com:HeightMeasure com:measureUnitCode="Mm">36</com:HeightMeasure> <com:WidthMeasure com:measureUnitCode="Mm">45</com:WidthMeasure> </com:Image>
【選択図】なし
特許請求の範囲
【請求項1】
下記一般式(1)で表される構成単位を少なくとも含む多官能エポキシ樹脂[A]を含むエポキシ樹脂組成物。
JPEG
2025154250000026.jpg
36
45
(一般式(1)中、Yはそれぞれ独立して動的共有結合部位であり、R
1a
、R
1b
、R
1c
、及びR
1d
のうち少なくとも1つは隣接する他の構成単位中のYとの結合手であり、前記少なくとも1つ以外はそれぞれ独立して水素原子、脂肪族炭化水素基、芳香族基、アルコキシ基、アミノ基、又はハロゲン原子のいずれか1つを表し、nは2~500の整数を表す。)
続きを表示(約 1,300 文字)
【請求項2】
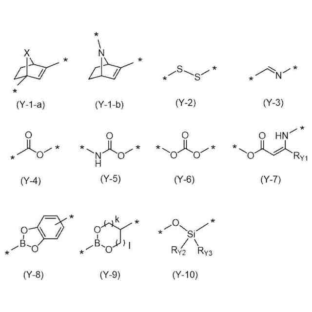
前記動的共有結合部位がジスルフィド結合を含む基である、請求項1に記載のエポキシ樹脂組成物。
【請求項3】
前記多官能エポキシ樹脂[A]として、下記一般式(2)で表される構成単位を含む多官能エポキシ樹脂を含む、請求項1又は請求項2に記載のエポキシ樹脂組成物。
JPEG
2025154250000027.jpg
37
46
(一般式(2)中、R
2a
、R
2b
、及びR
2c
は、それぞれ独立して水素原子、脂肪族炭化水素基、芳香族基、アルコキシ基、アミノ基、又はハロゲン原子のいずれか1つを表し、nは2~500の整数を表す。)
【請求項4】
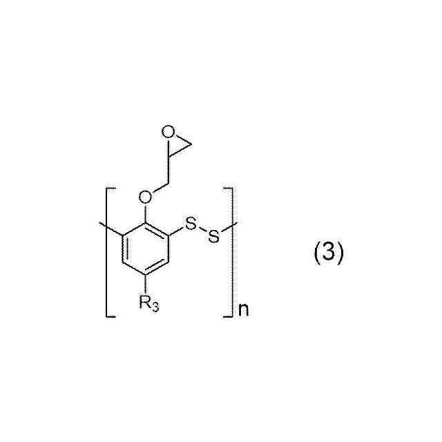
前記多官能エポキシ樹脂[A]として、下記一般式(3)で表される構成単位を含む多官能エポキシ樹脂を含む、請求項1又は請求項2に記載のエポキシ樹脂組成物。
JPEG
2025154250000028.jpg
36
46
(一般式(3)中、R
3
は、それぞれ独立して水素原子、脂肪族炭化水素基、芳香族基、アルコキシ基、アミノ基、又はハロゲン原子のいずれか1つを表し、nは2~500の整数を表す。)
【請求項5】
請求項1に記載のエポキシ樹脂組成物を硬化してなるエポキシ樹脂硬化物。
【請求項6】
還元剤を含む分解剤を接触させて100℃で48時間加熱した場合に、硬化物中の80質量%以上が溶解する、エポキシ樹脂硬化物。
【請求項7】
還元剤を含む分解剤を接触させて加熱した場合に、少なくとも下記一般式(4)に示す構造を含む化合物が生成する、エポキシ樹脂硬化物。
JPEG
2025154250000029.jpg
33
40
(一般式(4)中、*は結合手を示す。R
4a
、R
4b
、及びR
4c
は、それぞれ独立して水素原子、脂肪族炭化水素基、芳香族基、アルコキシ基、アミノ基、又はハロゲン原子のいずれか1つを表す。)
【請求項8】
請求項1又は請求項2に記載のエポキシ樹脂組成物を、強化繊維を有する繊維強化基材に含浸してなるプリプレグであり、前記強化繊維の含有率が、プリプレグの全体積に対して25体積%~75体積%であるプリプレグ。
【請求項9】
請求項5~請求項7のいずれか1項に記載のエポキシ樹脂硬化物と、強化繊維を有する繊維強化基材とを含む繊維強化複合材料であり、前記強化繊維の含有率が、繊維強化複合材料の全体積に対して25体積%~75体積%である繊維強化複合材料。
【請求項10】
亀裂又は剥離を内部に有する請求項5~請求項7のいずれか1項に記載のエポキシ樹脂硬化物を、前記エポキシ樹脂硬化物のガラス転移温度以上の温度にて加熱することにより、前記亀裂又は剥離を修復することを含む、エポキシ樹脂硬化物の修復方法。
(【請求項11】以降は省略されています)
発明の詳細な説明
【技術分野】
【0001】
本開示は、エポキシ樹脂組成物、エポキシ樹脂硬化物、プリプレグ、繊維強化複合材料、エポキシ樹脂硬化物の修復方法、繊維強化複合材料の修復方法、エポキシ樹脂硬化物の再成形方法、繊維強化複合材料の再成形方法、エポキシ樹脂硬化物の分解方法、及び繊維強化複合材料の強化繊維回収方法に関する。
続きを表示(約 1,700 文字)
【背景技術】
【0002】
炭素繊維、ガラス繊維、又はアラミド繊維等の強化繊維材料と、各種のマトリクス樹脂とを複合化して得られる繊維強化複合材料は、種々の分野及び用途に広く利用されている。従来、高度な機械的特性及び耐熱性等が要求される航空・宇宙分野及び産業分野等では、マトリクス樹脂として、不飽和ポリエステル樹脂、エポキシ樹脂、又はポリイミド樹脂等の熱硬化性樹脂が主に使用されている。
【0003】
しかし、これらの熱硬化性樹脂は、一度硬化物となった後には加熱しても流動性を有さないため、再度成形又は変形することができないことから、製造工程において生じた硬化物の端材及び成形不良品等は廃棄されていた。硬化物の廃棄量を低減するために、製造工程の面から様々な改良が為されているものの、製造工程の改良だけで硬化物の廃棄量を低減させることは困難であった。
【0004】
したがって、上記背景から、樹脂組成物の面からの改良が検討されている。なかでも、開裂の後に再結合する、又は結合の成分が直接組み換わることで、交換可能な化学結合部位(動的共有結合部位ともいう)を樹脂組成物中に導入することで、硬化物の端材及び成形不良品等を再利用する手法が注目されている。本手法では、交換可能な化学結合部位が加熱により開裂又は連続的に交換することで、硬化物内部のネットワーク構造による拘束が解消され、樹脂は流動性を有するようになり再度成形することができる。
例えば、特許文献1には、結合の成分が直接組み換わることで交換可能な化学結合部位として、ジスルフィド結合を含む化合物を硬化剤として用いたエポキシ樹脂組成物が開示されている。
【先行技術文献】
【特許文献】
【0005】
国際公開第2015/181054号
【発明の概要】
【発明が解決しようとする課題】
【0006】
しかし、特許文献1に記載のエポキシ樹脂組成物では、硬化物が十分な流動性を有するには、高価であるジスルフィド結合を含む化合物を過剰に用いなければならなかった。一方で、エポキシ樹脂に対して硬化剤を理論当量以上用いると、硬化物の耐熱性及び機械特性、特に弾性率が大きく損なわれるという欠点もあった。
【0007】
本開示は上記に鑑みてなされたものであり、本開示は、高い弾性率を有し、かつ再成形性又は自己修復性に優れる硬化物を与えるエポキシ樹脂組成物、前記エポキシ樹脂組成物を硬化させたエポキシ樹脂硬化物、プリプレグ、繊維強化複合材料、エポキシ樹脂硬化物の修復方法、繊維強化複合材料の修復方法、エポキシ樹脂硬化物の再成形方法、繊維強化複合材料の再成形方法、エポキシ樹脂硬化物の分解方法、及び繊維強化複合材料の強化繊維回収方法の提供に関する。
【課題を解決するための手段】
【0008】
上記課題を解決するための具体的な手段には、以下の態様が含まれる。
<1> 下記一般式(1)で表される構成単位を少なくとも含む多官能エポキシ樹脂[A]を含むエポキシ樹脂組成物。
【0009】
JPEG
2025154250000001.jpg
35
45
【0010】
(一般式(1)中、Yはそれぞれ独立して動的共有結合部位であり、R
1a
、R
1b
、R
1c
、及びR
1d
のうち少なくとも1つは隣接する他の構成単位中のYとの結合手であり、前記少なくとも1つ以外はそれぞれ独立して水素原子、脂肪族炭化水素基、芳香族基、アルコキシ基、アミノ基、又はハロゲン原子のいずれか1つを表し、nは2~500の整数を表す。)
<2> 前記動的共有結合部位がジスルフィド結合を含む基である、<1>に記載のエポキシ樹脂組成物。
<3> 前記多官能エポキシ樹脂[A]として、下記一般式(2)で表される構成単位を含む多官能エポキシ樹脂を含む、<1>又は<2>に記載のエポキシ樹脂組成物。
(【0011】以降は省略されています)
この特許をJ-PlatPat(特許庁公式サイト)で参照する
関連特許
帝人株式会社
衝撃吸収構造体
2か月前
帝人株式会社
複数の孔を有する成形品
1か月前
帝人株式会社
ゲル組成物及びその製造方法
1か月前
帝人株式会社
高視認性難燃布帛および繊維製品
1か月前
帝人株式会社
ポリカーボネート樹脂および光学部材
1か月前
帝人株式会社
ポリオレフィン微多孔膜及びエアフィルタ
1か月前
学校法人大阪医科薬科大学
耐久性試験装置
11日前
帝人株式会社
ポリエチレン微多孔膜、及び、医療用デバイス
28日前
帝人株式会社
非水系二次電池用セパレータ及び非水系二次電池
1か月前
帝人株式会社
非水系二次電池用セパレータ及び非水系二次電池
1か月前
帝人株式会社
ポリカーボネート樹脂およびそれからなる成形品
1か月前
帝人株式会社
非水系二次電池用セパレータ及び非水系二次電池
2か月前
帝人株式会社
ポリエチレン微多孔膜、巻回体及び巻回体の製造方法
28日前
帝人株式会社
変形検出機構、移動体および変形検出機構の製造方法
28日前
帝人株式会社
ポリカーボネート樹脂組成物およびそれよりなる成形品
2か月前
帝人株式会社
ポリカーボネート樹脂組成物およびそれからなる成形品
1か月前
帝人株式会社
ポリカーボネート樹脂組成物およびそれよりなる成形品
1か月前
帝人株式会社
ポリカーボネート樹脂組成物およびそれからなる成形品
1か月前
帝人株式会社
熱可塑性樹脂組成物の製造方法およびそれからなる成形品
21日前
帝人株式会社
エポキシ樹脂組成物、プリプレグ、及び繊維強化複合材料
28日前
帝人株式会社
蒸着成形品用ポリカーボネート樹脂組成物および蒸着成形品
1か月前
帝人株式会社
難燃性ポリカーボネート樹脂組成物およびそれよりなる成形品
2か月前
帝人株式会社
ポリカーボネート樹脂組成物およびそれを成形してなる成形品
2日前
帝人株式会社
ポリカーボネート樹脂組成物およびそれを成形してなる成形品
1か月前
帝人株式会社
多孔膜捲回体、フィルター用基材、及びカートリッジフィルター
28日前
帝人株式会社
多孔膜捲回体、フィルター用基材、及びカートリッジフィルター
28日前
帝人株式会社
リチウム二次電池、リチウム二次電池用セパレータ、及び負極の多孔質化の抑制方法
今日
帝人株式会社
熱硬化性プリプレグ及びその製造方法
1か月前
東京電力ホールディングス株式会社
足場装置
28日前
帝人株式会社
ポリカーボネート-ポリシロキサン樹脂
1か月前
帝人株式会社
熱成形用シート、加飾シートおよびこれらを用いた成形体
1か月前
帝人株式会社
熱成形用シート、加飾シートおよびこれらを用いた成形体
1か月前
帝人株式会社
エポキシ樹脂組成物、エポキシ樹脂硬化物、プリプレグ、繊維強化複合材料、エポキシ樹脂硬化物の修復方法、繊維強化複合材料の修復方法、エポキシ樹脂硬化物の再成形方法、繊維強化複合材料の再成形方法、エポキシ樹脂硬化物の分解方法、及び繊維強化複合材料の強化繊維回収方法
28日前
帝人株式会社
エポキシ樹脂組成物、エポキシ樹脂硬化物、プリプレグ、繊維強化複合材料、エポキシ樹脂硬化物の修復方法、繊維強化複合材料の修復方法、エポキシ樹脂硬化物の再成形方法、繊維強化複合材料の再成形方法、エポキシ樹脂硬化物の分解方法、及び繊維強化複合材料の強化繊維回収方法
28日前
株式会社カネカ
断熱材
今日
東ソー株式会社
ペレット
23日前
続きを見る
他の特許を見る