TOP
|
特許
|
意匠
|
商標
特許ウォッチ
Twitter
他の特許を見る
10個以上の画像は省略されています。
公開番号
2025146170
公報種別
公開特許公報(A)
公開日
2025-10-03
出願番号
2024046809
出願日
2024-03-22
発明の名称
液体吐出装置、及びヘッドユニット
出願人
セイコーエプソン株式会社
代理人
個人
,
個人
,
個人
,
個人
主分類
B41J
2/14 20060101AFI20250926BHJP(印刷;線画機;タイプライター;スタンプ)
要約
【課題】小型化を実現できる液体吐出装置及びヘッドユニットを提供すること。
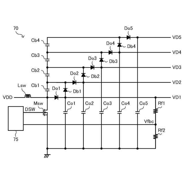
【解決手段】供給電圧信号を昇圧し、第1電圧信号及び第2電圧信号を出力する昇圧回路は、一端に供給電圧信号が供給されるインダクターと、一端がインダクターの他端と接続するスイッチと、アノード端子がスイッチの一端に接続される第1出力ダイオードと、一端が第1出力ダイオードのカソード端子に接続され、第1電圧信号を出力する第1出力コンデンサーと、一端がスイッチの一端に接続される第1充電コンデンサーと、アノード端子が第1出力ダイオードのカソード端子に接続される第1充電ダイオードと、アノード端子が第1充電ダイオードのカソード端子及び第1充電コンデンサーの他端に接続される第2出力ダイオードと、一端が第2出力ダイオードのカソード端子に接続され、第2電圧信号を出力する第2出力コンデンサーと、を有する液体吐出装置。
【選択図】図5
特許請求の範囲
【請求項1】
供給電圧信号を昇圧し、第1電圧値の第1電圧信号、及び前記第1電圧値と異なる第2電圧値の第2電圧信号を出力する昇圧回路と、
圧電素子を含み、前記圧電素子の駆動により媒体に液体を吐出する吐出部と、
前記第1電圧信号及び前記第2電圧信号の少なくとも一方が供給され、前記圧電素子を駆動する駆動信号を出力する駆動回路と、
前記媒体を搬送する搬送ユニットと、
を備え、
前記昇圧回路は、
一端に前記供給電圧信号が供給されるインダクター素子と、
一端が前記インダクター素子の他端と電気的に接続するスイッチ素子と、
アノード端子が前記スイッチ素子の一端と電気的に接続される第1出力ダイオード素子と、
一端が前記第1出力ダイオード素子のカソード端子と電気的に接続される第1出力コンデンサー素子と、
一端が前記スイッチ素子の一端と電気的に接続される第1充電コンデンサー素子と、
アノード端子が前記第1出力ダイオード素子のカソード端子と電気的に接続される第1充電ダイオード素子と、
アノード端子が前記第1充電ダイオード素子のカソード端子、及び前記第1充電コンデンサー素子の他端と電気的に接続される第2出力ダイオード素子と、
一端が前記第2出力ダイオード素子のカソード端子と電気的に接続される第2出力コンデンサー素子と、
を有し、
前記昇圧回路は、
前記第1出力コンデンサー素子の一端の電圧値を前記第1電圧信号として出力し、
前記第2出力コンデンサー素子の一端の電圧値を前記第2電圧信号として出力する、
ことを特徴とする液体吐出装置。
続きを表示(約 1,800 文字)
【請求項2】
前記駆動回路には、前記第1電圧信号及び前記第2電圧信号が供給される、
ことを特徴とする請求項1に記載の液体吐出装置。
【請求項3】
前記第2電圧値は、前記第1電圧値の略2倍である、
ことを特徴とする請求項1に記載の液体吐出装置。
【請求項4】
nは3以上の整数、iは3以上n以下の整数であって、
前記昇圧回路は、第3~第n出力ダイオード素子、第3~第n出力コンデンサー素子、第2~第n-1充電ダイオード素子、及び第2~第n-1充電コンデンサー素子を有し、第3~第n電圧信号を出力し、
前記第i-1充電コンデンサー素子は、一端が前記第i-1出力ダイオード素子のアノード端子と電気的に接続し、他端が前記第i出力ダイオード素子のアノード端子と電気的に接続し、
前記第i-1充電ダイオード素子は、アノード端子が前記第i-1出力ダイオード素子のカソード端子と電気的に接続し、カソード端子が前記第i出力ダイオード素子のアノード端子と電気的に接続し、
前記第i出力ダイオード素子は、カソード端子が前記第i出力コンデンサー素子の一端と電気的に接続し、
前記昇圧回路は、前記第i出力コンデンサー素子の一端の電圧値を前記第i電圧信号として出力する、
ことを特徴とする請求項1に記載の液体吐出装置。
【請求項5】
前記駆動回路には、前記昇圧回路が出力する前記第1~第n電圧信号の内、少なくとも前記第1電圧信号と前記第n電圧信号とが供給される、
ことを特徴とする請求項4に記載の液体吐出装置。
【請求項6】
前記圧電素子に前記駆動信号を供給するか否かを切り替える切替回路を備え、
前記駆動回路は、トランジスター対を含む増幅回路と、前記トランジスター対を駆動するゲート駆動回路と、を有し、
前記第1電圧信号は、前記ゲート駆動回路に供給され、
前記第n電圧信号は、前記切替回路及び前記増幅回路に供給される、
ことを特徴とする請求項4に記載の液体吐出装置。
【請求項7】
前記駆動回路は、D級増幅回路を含む、
ことを特徴とする請求項6に記載の液体吐出装置。
【請求項8】
前記駆動回路は、
前記駆動信号の基となる基駆動信号を変調し、変調信号を出力する変調回路と、
前記変調信号に応じたゲート駆動信号を出力するゲート駆動回路を含み、前記ゲート駆動信号に応じた第1増幅変調信号を出力する増幅回路と、
第1電位と第2電位とで変化するレベル切替信号を出力するレベル切替信号出力回路と、
前記レベル切替信号が前記第1電位のときに前記第1増幅変調信号を第2増幅変調信号として出力し、前記レベル切替信号が前記第2電位のときに前記第1増幅変調信号の基準電位をレベルシフトした信号を前記第2増幅変調信号として出力するレベルシフト回路と、
前記第2増幅変調信号を復調し、前記駆動信号を出力する復調回路と、
を有し、
前記第1電圧信号は、前記ゲート駆動回路に供給され、
前記第i電圧信号は、前記増幅回路に供給され、
前記第1~第i電圧信号のいずれかが、前記レベルシフト回路に供給される、
ことを特徴とする請求項4に記載の液体吐出装置。
【請求項9】
前記昇圧回路は、
アノード端子が前記第1出力コンデンサー素子の一端と電気的に接続された安定化ダイード素子と、
一端が前記安定化ダイード素子のカソード端子と電気的に接続された安定化コンデンサー素子と、
を有し、
前記安定化コンデンサー素子の静電容量は、前記第1出力コンデンサー素子の静電容量よりも大きい、
ことを特徴とする請求項1に記載の液体吐出装置。
【請求項10】
前記昇圧回路は、
前記第1電圧信号を前記駆動回路に供給するか否か、及び前記第2電圧信号を前記駆動回路に供給するか否かを選択する電圧選択回路を有する、
ことを特徴とする請求項1に記載の液体吐出装置。
(【請求項11】以降は省略されています)
発明の詳細な説明
【技術分野】
【0001】
本発明は、液体吐出装置、及びヘッドユニットに関する。
続きを表示(約 3,000 文字)
【背景技術】
【0002】
液体を吐出して媒体に画像や文書を形成する液体吐出装置には、圧電素子を用いたものが知られている。このような液体吐出装置において、圧電素子は、液体を吐出する複数のノズルのそれぞれに対応して設けられ、それぞれが駆動信号に従って駆動される。そして、圧電素子が駆動することで、当該圧電素子に対応して設けられたノズルから液体が吐出される。
【0003】
特許文献1には、入力される電圧信号を昇圧し、昇圧した電圧信号を用いて記録ヘッドから液体を吐出させることで媒体に画像を形成する印刷装置が開示されている。
【先行技術文献】
【特許文献】
【0004】
特開2020-054219号公報
【発明の概要】
【発明が解決しようとする課題】
【0005】
しかしながら、複数の電圧値に基づいて動作する液体吐出装置にあっては、複数の昇圧回路が必要となり、液体吐出装置、及びヘッドユニットの大型化が懸念される。すなわち、特許文献1に記載の技術では、液体吐出装置及びヘッドユニットの小型化の観点において、改善の余地があった。
【課題を解決するための手段】
【0006】
本発明に係る液体吐出装置の一態様は、
供給電圧信号を昇圧し、第1電圧値の第1電圧信号、及び前記第1電圧値と異なる第2電圧値の第2電圧信号を出力する昇圧回路と、
圧電素子を含み、前記圧電素子の駆動により媒体に液体を吐出する吐出部と、
前記第1電圧信号及び前記第2電圧信号の少なくとも一方が供給され、前記圧電素子を駆動する駆動信号を出力する駆動回路と、
前記媒体を搬送する搬送ユニットと、
を備え、
前記昇圧回路は、
一端に前記供給電圧信号が供給されるインダクター素子と、
一端が前記インダクター素子の他端と電気的に接続するスイッチ素子と、
アノード端子が前記スイッチ素子の一端と電気的に接続される第1出力ダイオード素子と、
一端が前記第1出力ダイオード素子のカソード端子と電気的に接続される第1出力コンデンサー素子と、
一端が前記スイッチ素子の一端と電気的に接続される第1充電コンデンサー素子と、
アノード端子が前記第1出力ダイオード素子のカソード端子と電気的に接続される第1充電ダイオード素子と、
アノード端子が前記第1充電ダイオード素子のカソード端子、及び前記第1充電コンデンサー素子の他端と電気的に接続される第2出力ダイオード素子と、
一端が前記第2出力ダイオード素子のカソード端子と電気的に接続される第2出力コンデンサー素子と、
を有し、
前記昇圧回路は、
前記第1出力コンデンサー素子の一端の電圧値を前記第1電圧信号として出力し、
前記第2出力コンデンサー素子の一端の電圧値を前記第2電圧信号として出力する。
【0007】
本発明に係るヘッドユニットの一態様は、
供給電圧信号を昇圧し、第1電圧値の第1電圧信号、及び前記第1電圧値と異なる第2電圧値の第2電圧信号を出力する昇圧回路と、
圧電素子を含み、前記圧電素子の駆動により液体を吐出する吐出部と、
前記第1電圧信号及び前記第2電圧信号の少なくとも一方が供給され、前記圧電素子を駆動する駆動信号を出力する駆動回路と、
を備え、
前記昇圧回路は、
一端に前記供給電圧信号が供給されるインダクター素子と、
一端が前記インダクター素子の他端と電気的に接続するスイッチ素子と、
アノード端子が前記スイッチ素子の一端と電気的に接続される第1出力ダイオード素子と、
一端が前記第1出力ダイオード素子のカソード端子と電気的に接続される第1出力コンデンサー素子と、
一端が前記スイッチ素子の一端と電気的に接続される第1充電コンデンサー素子と、
アノード端子が前記第1出力ダイオード素子のカソード端子と電気的に接続される第1充電ダイオード素子と、
アノード端子が前記第1充電ダイオード素子のカソード端子、及び前記第1充電コンデンサー素子の他端と電気的に接続される第2出力ダイオード素子と、
一端が前記第2出力ダイオード素子のカソード端子と電気的に接続される第2出力コンデンサー素子と、
を有し、
前記昇圧回路は、
前記第1出力コンデンサー素子の一端の電圧値を前記第1電圧信号として出力し、
前記第2出力コンデンサー素子の一端の電圧値を前記第2電圧信号として出力する。
【図面の簡単な説明】
【0008】
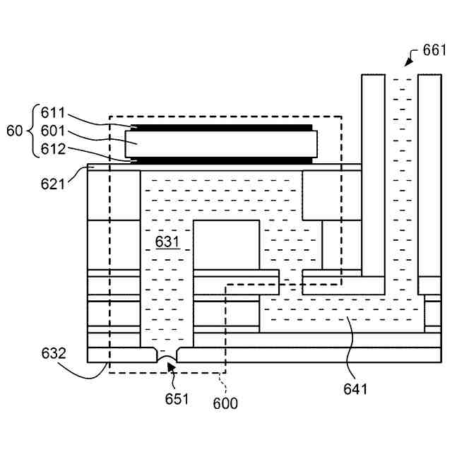
液体吐出装置の構造の一例を示す図である。
液体吐出装置の機能構成を示す図である。
ヘッドユニットにおける複数の吐出部の配置の一例を示す図である。
吐出部の構成の一例を示す図である。
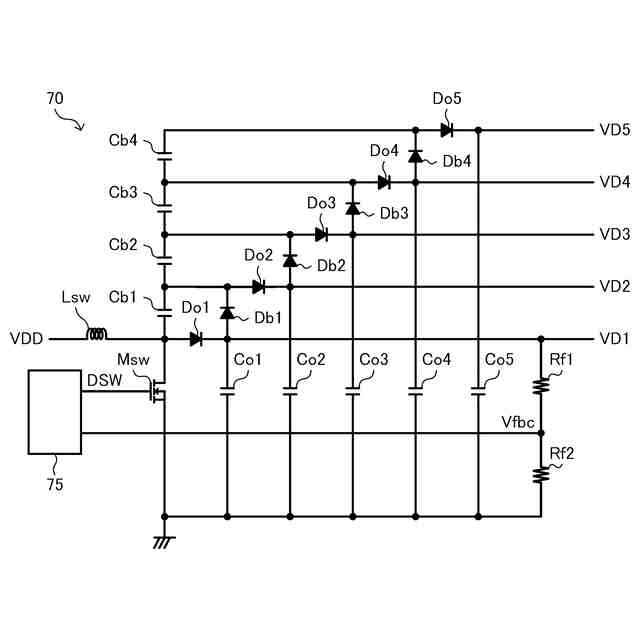
電圧変換回路の構成の一例を示す図である。
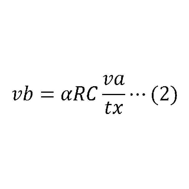
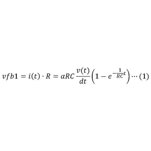
電圧変換回路の動作を説明するための図である。
駆動信号COMの信号波形の一例を示す図である。
駆動回路の機能構成の一例を示す図である。
駆動回路の動作を説明するための図である。
レベル切替信号出力回路の構成の一例を示す図である。
帰還回路に含まれるハイパスフィルターの構成の一例を示す図である。
レベル切替信号出力回路の動作を説明するための図である。
変形例1の電圧変換回路の構成の一例を示す図である。
変形例2の電圧変換回路の構成の一例を示す図である。
変形例3の液体吐出装置が有する駆動回路の構成を示す図である。
【発明を実施するための形態】
【0009】
以下、本発明の好適な実施形態について図面を用いて説明する。用いる図面は説明の便
宜上のものである。なお、以下に説明する実施形態は、特許請求の範囲に記載された本発明の内容を不当に限定するものではない。また、以下で説明される構成の全てが本発明の必須構成要件であるとは限らない。
【0010】
以下の説明では、本発明に係る液体吐出装置の一例として、シリアル印刷方式のコンシューマー用インクジェットプリンターを用いる。しかしながら、液体吐出装置は、シリアル印刷方式に限るものではなく、ライン印刷方式であってもよい。また、液体吐出装置は、コンシューマー用インクジェットプリンターに限るものではなく、オフィス向けのビジネス用インクジェットプリンターであってもよく、バッテリーなどで駆動し、持ち運びが可能なポーターブルインクジェットプリンターであってもよい。また、液体吐出装置は、インクジェットプリンターに限るものではなく、例えば、液晶ディスプレイ等のカラーフィルターの製造に用いられる色材吐出装置、有機ELディスプレイ、面発光ディスプレイ等の電極形成に用いられる電極材料吐出装置、バイオチップ製造に用いられる生体有機物吐出装置等であってもよい。
(【0011】以降は省略されています)
この特許をJ-PlatPat(特許庁公式サイト)で参照する
関連特許
セイコーエプソン株式会社
ロボット
3日前
セイコーエプソン株式会社
印刷装置
4日前
セイコーエプソン株式会社
印刷装置
3日前
セイコーエプソン株式会社
印刷装置
3日前
セイコーエプソン株式会社
印刷装置
4日前
セイコーエプソン株式会社
印刷装置
3日前
セイコーエプソン株式会社
印刷装置
3日前
セイコーエプソン株式会社
微細化装置
4日前
セイコーエプソン株式会社
液体収容容器
3日前
セイコーエプソン株式会社
権限管理装置
3日前
セイコーエプソン株式会社
プロジェクター
3日前
セイコーエプソン株式会社
プロジェクター
3日前
セイコーエプソン株式会社
プロジェクター
3日前
セイコーエプソン株式会社
プロジェクター
3日前
セイコーエプソン株式会社
垂直多関節ロボット
3日前
セイコーエプソン株式会社
栽培用培地の製造方法
4日前
セイコーエプソン株式会社
回路装置及び電子機器
3日前
セイコーエプソン株式会社
電気光学装置および電子機器
4日前
セイコーエプソン株式会社
液体回収装置及び液体回収容器
4日前
セイコーエプソン株式会社
レーザー干渉計および分光装置
4日前
セイコーエプソン株式会社
偏心揺動装置及び射出成形装置
3日前
セイコーエプソン株式会社
ヘッドユニット及び液体吐出装置
3日前
セイコーエプソン株式会社
液体噴射ヘッド及び液体噴射装置
3日前
セイコーエプソン株式会社
情報管理システム、及びサーバー
4日前
セイコーエプソン株式会社
液体回収システム及び液体回収容器
4日前
セイコーエプソン株式会社
表示装置および表示装置の制御方法
3日前
セイコーエプソン株式会社
位相補間回路、回路装置及び発振器
4日前
セイコーエプソン株式会社
液体吐出装置、及びヘッドユニット
3日前
セイコーエプソン株式会社
液体容器、印刷装置、印刷システム
3日前
セイコーエプソン株式会社
スクリーン装置及び空間演出システム
4日前
セイコーエプソン株式会社
射出成形システム、及び成形品押出方法
3日前
セイコーエプソン株式会社
電気光学装置、表示モジュールおよび電子機器
4日前
セイコーエプソン株式会社
捺染インクジェットインク組成物及び記録方法
4日前
セイコーエプソン株式会社
分光装置、分光装置の校正方法および分光方法
3日前
セイコーエプソン株式会社
流路接続構造、液体吐出装置、及び流路形成方法
4日前
セイコーエプソン株式会社
情報処理方法、サーバー装置、及び情報処理装置
3日前
続きを見る
他の特許を見る